Submitted:
29 December 2025
Posted:
29 December 2025
You are already at the latest version
Abstract
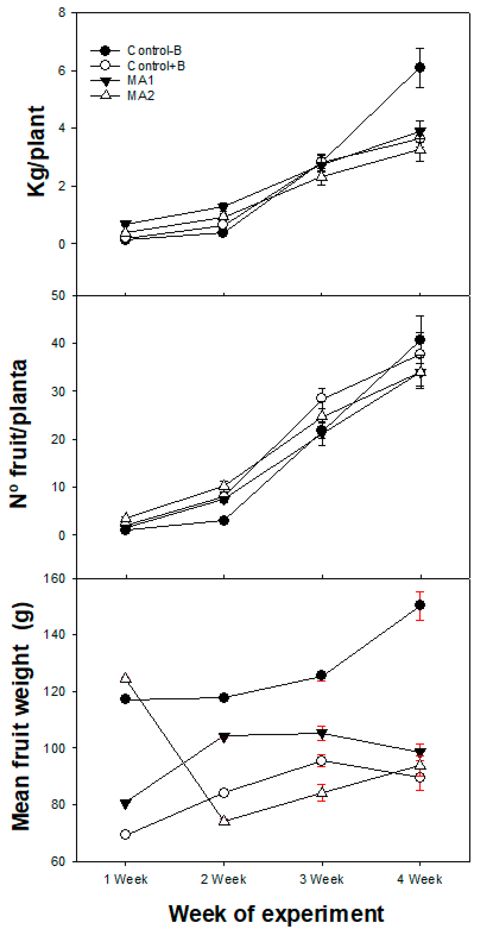
The use of unconventional water sources, such as those from marine desalination plants, is challenging for agriculture due to boron concentrations exceeding 0.5 mg L-1, which can impact crop yield and quality. To ensure sustainability, it is crucial to understand crop responses to high boron levels and to develop strategies to mitigate its toxic effects. This study evaluated the impact of irrigation with a nutrient solution containing 15 mg L-1 of boron on tomato plants (‘Optima’ variety). To alleviate boron toxicity, two biostimulant products based on an extract from the brown alga Laminaria digitata and other active ingredients were applied foliarly. Agronomic, nutritional, and metabolic parameters were analyzed, including total yield, number of fruits per plant, and fruit quality. Additionally, mineral analysis and metabolomic profiling of leaves and fruits were performed, focusing on amino acids, organic acids, sugars, and other metabolites. A control treatment was irrigated with a nutrient solution containing 0.25 mg L-1 of boron. The results showed that a boron concentration of 15 mg L-1 significantly reduced yield by 45% and degraded fruit quality. Mineral and metabolomic analyses revealed reduced Mg and Ca concentrations, increased P and Zn levels, excessive boron accumulation, and alterations in nitrogen Krebs cycle metabolism. Biostimulants did not significantly improve agronomic performance, likely due to high boron accumulation in the leaves, though its application affected the nutritional and metabolic profiles.
Keywords:
1. Introduction
2. Materials and Methods
2.1. Plant Material and Cultivation Conditions
2.2. Treatment with Boron and Application of Products with an Extract from the Brown Alga Laminaria digitata
2.3. Agronomic and Chemical Evaluation of Tomato Plant Fruits
2.4. Sampling of Leaves and Fruits from Tomato Plants
2.5. Mineral Analysis of Leaves and Fruits from Tomato Plants
2.6. Metabolomic Analysis of Tomato Plants Leaves and Fruits
2.7. Statistical Analysis
2.8. Generative artificial intelligence statement
3. Results
3.1. Agronomic and Chemical Evaluation of Tomato Plant Fuits
3.2. Mineral Analysis in Leaves and Fruits of Tomato Plants
3.3. Metabolomic Study of Tomato Plant in Leaves and Fruits
4. Discussion
4.1. Effects of Boron Excess on Tomato Yield and Productivity
4.2. Impact of Boron Toxicity on Fruit Quality Attributes
4.3. Boron-Induced Nutritional Imbalances and Their Physiological Implications
4.4. Boron Accumulation and Mechanistic Basis of Toxicity
4.5. Metabolic Disturbances Associated with Boron Toxicity
4.6. Role of Laminaria digitata–Based Biostimulants Under Boron Stress
5. Conclusions
Author Contributions
Data Availability Statement
Acknowledgments
References
- Raiola, A.; Rigano, M.M.; Calafiore, R.; Frusciante, L.; Barone, A. Enhancing the health-promoting effects of tomato fruit for biofortified food. Mediators Inflamm. 2014, 2014, 1–16. [CrossRef]
- Krishna, R.; Karkute, S.G.; Ansari, W.A.; Jaiswal, D.K.; Verma, J.P.; Singh, M. Transgenic tomatoes for abiotic stress tolerance: status and way ahead. 3 Biotech 2019, 9, 143. [CrossRef]
- Nable, R.O.; Bañuelos, G.S.; Paull, J.G. Boron toxicity. Plant Soil 1997, 193, 181–198. [CrossRef]
- Cervilla, L.M.; Blasco, B.; Ríos, J.J.; Romero, L.; Ruiz, J.M. Oxidative stress and antioxidants in tomato (Solanum lycopersicum) plants subjected to boron toxicity. Ann. Bot. 2007, 100, 747–756. [CrossRef]
- Kaya, C.; Sarıoğlu, A.; Ashraf, M.; Alyemeni, M.N.; Ahmad, P. Gibberellic acid-induced generation of hydrogen sulfide alleviates boron toxicity in tomato (Solanum lycopersicum L.) plants. Plant Physiol. Biochem. 2020, 153, 53–63. [CrossRef]
- Chen, C.-Y.; Wang, S.-W.; Kim, H.; Pan, S.-Y.; Fan, C.; Lin, Y.J. Non-conventional water reuse in agriculture: A circular water economy. Water Res. 2021, 199, 117193. [CrossRef]
- Du Jardin, P. Plant biostimulants: Definition, concept, main categories and regulation. Sci. Hortic. 2015, 196, 3–14. [CrossRef]
- Rouphael, Y.; Colla, G. Synergistic biostimulatory action: designing the next generation of plant biostimulants for sustainable agriculture. Front. Plant Sci. 2018, 9, 1655. [CrossRef]
- Khan, W.; Rayirath, U.P.; Subramanian, S.; Jithesh, M.N.; Rayorath, P.; Hodges, D.M.; Critchley, A.T.; Craigie, J.S.; Norrie, J.; Prithiviraj, B. Seaweed extracts as biostimulants of plant growth and development. J. Plant Growth Regul. 2009, 28, 386–399. [CrossRef]
- Stengel, D.B.; Connan, S.; Popper, Z.A. Algal chemodiversity and bioactivity: Sources of natural variability and implications for commercial application. Biotechnol. Adv. 2011, 29, 483–501. [CrossRef]
- Schiener, P.; Black, K.D.; Stanley, M.S.; Green, D.H. The seasonal variation in the chemical composition of the kelp species Laminaria digitata, Laminaria hyperborea, Saccharina latissima and Alaria esculenta. J. Appl. Phycol. 2015, 27, 363–373. [CrossRef]
- Nelson, N. A photometric adaptation of the Somogyi method for the determination of glucose. J. Biol. Chem. 1944, 153, 375–380. [CrossRef]
- Somogyi, M. Notes on sugar determination. J. Biol. Chem. 1952, 195, 19–23. [CrossRef]
- Singleton, V.L.; Orthofer, R.; Lamuela-Raventós, R.M. Analysis of total phenols and other oxidation substrates and antioxidants by means of Folin–Ciocalteu reagent. Methods Enzymol. 1999, 299, 152–178.
- Brand-Williams, W.; Cuvelier, M.E.; Berset, C. Use of a free radical method to evaluate antioxidant activity. LWT–Food Sci. Technol. 1995, 28, 25–30. [CrossRef]
- Wolf, B. Improvements in the azomethine-H method for the determination of boron. Commun. Soil Sci. Plant Anal. 1974, 5, 39–44. [CrossRef]
- van der Sar, S.; Kim, H.K.; Meissner, A.; Verpoorte, R.; Choi, Y.H. Nuclear magnetic resonance spectroscopy for plant metabolite profiling. In: The Handbook of Plant Metabolomics; Wiley: New York, NY, USA, 2013; pp. 57–76.
- Alfosea-Simón, M.; Simón-Grao, S.; Zavala-Gonzalez, E.A.; Cámara-Zapata, J.M.; Simón, I.; Martínez-Nicolás, J.J.; Lidón, V.; García-Sánchez, F. Physiological, nutritional and metabolomic responses of tomato plants after the foliar application of amino acids aspartic acid, glutamic acid and alanine. Front. Plant Sci. 2021, 11, 581234. [CrossRef]
- Kaya, C.; Tuna, A.L.; Dikilitas, M.; Ashraf, M.; Koskeroglu, S.; Guneri, M. Supplementary phosphorus can alleviate boron toxicity in tomato. Sci. Hortic. 2009, 121, 284–288. [CrossRef]
- Yermiyahu, U.; Ben-Gal, A.; Sarig, P. Boron toxicity in grapevine. HortScience 2006, 41, 1698–1703. [CrossRef]
- Smit, J.N.; Combrink, N.J.J. The effect of boron levels in nutrient solutions on fruit production and quality of greenhouse tomatoes. South Afr. J. Plant Soil 2004, 21, 188–191. [CrossRef]
- Hernández-Pérez, O.I.; Valdez-Aguilar, L.A.; Alia-Tejacal, I.; Cartmill, A.D.; Cartmill, D.L. Tomato fruit yield, quality, and nutrient status in response to potassium: calcium balance and electrical conductivity in the nutrient solution. J. Soil Sci. Plant Nutr. 2020, 20, 484–492. [CrossRef]
- Karantzi, A.D.; Papadakis, I.E.; Psychoyou, M.; Ioannou, D. Nutrient status of the banana cultivar ‘FHIA-01’ as affected by boron excess. Acta Hortic. 2016, 1139, 399–404. [CrossRef]
- Luo, Z.; Zhang, L.; Hu, W.; Wang, Y.; Tao, J.; Jia, Y.; Miao, R.; Chen, L.-S.; Guo, J. Excessive boron fertilization-induced toxicity is related to boron transport in field-grown pomelo trees. Front. Plant Sci. 2024, 15, 1438664. [CrossRef]
- Markiewicz, B.; Muzolf-Panek, M.; Kaczmarek, A. Effect of deficit and over-standard boron content in nutrient solution on the biological value of tomato fruit. J. Elem. 2019, 24. [CrossRef]
- Brown, P.H.; Barker, A.V.; Pilbeam, D.J. Handbook of Plant Nutrition. CRC Press, Boca Raton, FL, USA, 2006.
- Reid, R. Can we really increase yields by making crop plants tolerant to boron toxicity? Plant Sci. 2010, 178, 9–11. [CrossRef]
- Cervilla, L.M.; Blasco, B.; Ríos, J.J.; Rosales, M.A.; Rubio-Wilhelmi, M.M.; Sánchez-Rodríguez, E.; Romero, L.; Ruiz, J.M. Response of nitrogen metabolism to boron toxicity in tomato plants. Plant Biol. 2009, 11, 671–677. [CrossRef]
- Eraslan, F.; Inal, A.; Gunes, A.; Alpaslan, M. Boron toxicity alters nitrate reductase activity, proline accumulation, membrane permeability, and mineral constituents of tomato and pepper plants. J. Plant Nutr. 2007, 30, 981–994. [CrossRef]
- Riaz, M.; Kamran, M.; El-Esawi, M.A.; Hussain, S.; Wang, X. Boron-toxicity induced changes in cell wall components, boron forms, and antioxidant defense system in rice seedlings. Ecotoxicol. Environ. Saf. 2021, 216, 112192. [CrossRef]
- Zhang, Q.; Ackah, M.; Wang, M.; Amoako, F.K.; Shi, Y.; Wang, L.; Dari, L.; Li, J.; Jin, X.; Jiang, Z.; Zhao, W. The impact of boron nutrient supply in mulberry (Morus alba) response to metabolomics, enzyme activities, and physiological parameters. Plant Physiol. Biochem. 2023, 200, 107649. [CrossRef]
- Sang, W.; Huang, Z.-R.; Qi, Y.-P.; Yang, L.-T.; Guo, P.; Chen, L.-S. An investigation of boron-toxicity in leaves of two citrus species differing in boron-tolerance using comparative proteomics. J. Proteomics 2015, 123, 128–146. [CrossRef]
- Chen, L.; Xia, F.; Wang, M.; Wang, W.; Mao, P. Metabolomic analyses of alfalfa (Medicago sativa L. cv. ‘Aohan’) reproductive organs under boron deficiency and surplus conditions. Ecotoxicol. Environ. Saf. 2020, 202, 111011. [CrossRef]
- Michailidis, M.; Bazakos, C.; Kollaros, M.; Adamakis, I.S.; Ganopoulos, I.; Molassiotis, A.; Tanou, G. Boron stimulates fruit formation and reprograms developmental metabolism in sweet cherry. Physiol. Plant. 2023, 175, e13946. [CrossRef]
- Thorsen, M.K.; Woodward, S.; McKenzie, B.M. Kelp (Laminaria digitata) increases germination and affects rooting and plant vigour in crops and native plants from an arable grassland in the Outer Hebrides, Scotland. J. Coast. Conserv. 2010, 14, 239–247. [CrossRef]
- Shenker, M.; Plessner, O.E.; Tel-Or, E. Manganese nutrition effects on tomato growth, chlorophyll concentration, and superoxide dismutase activity. J. Plant Physiol. 2004, 161, 197–202. [CrossRef]
- Alloway, B.J. Zinc in Soils and Crop Nutrition. IZA and IFA, Paris, France, 2008.
- Stengel, D.B.; Connan, S.; Popper, Z.A. Algal chemodiversity and bioactivity: Sources of natural variability and implications for commercial application. Biotechnol. Adv. 2011, 29, 483–501. [CrossRef]
- Borella, M.; Baghdadi, A.; Bertoldo, G.; Della Lucia, M.C.; Chiodi, C.; Celletti, S.; Deb, S.; Baglieri, A.; Zegada-Lizarazu, W.; Pagani, E.; Monti, A.; Mangione, F.; Magro, F.; Hermans, C.; Stevanato, P.; Nardi, S. Transcriptomic and physiological approaches to decipher cold stress mitigation exerted by brown-seaweed extract application in tomato. Front. Plant Sci. 2023, 14, 1232421. [CrossRef]
- Di Stasio, E.; Van Oosten, M.J.; Silletti, S.; Raimondi, G.; dell’Aversana, E.; Carillo, P.; Maggio, A. Ascophyllum nodosum-based algal extracts act as enhancers of growth, fruit quality, and adaptation to stress in salinized tomato plants. J. Appl. Phycol. 2018, 30, 2675–2686. [CrossRef]


| Treatment |
Production (kg plant-1) |
Average fruit weight (g) |
Fruits (number plant-1) |
| Control -B | 6.12* | 152.7* | 41 |
| Control +B | 3.36 | 97.3 | 35 |
| MA1+B | 3.18 | 97.7 | 33 |
| MA2+B | 3.00 | 95.6 | 32 |
| ANOVA | ns | ns | ns |
| Treatment | Equatorial diameter (mm) | Longitudinal diameter (mm) | Firmness (kg) |
| Control -B | 66.7* | 55.1* | 79.9* |
| Control +B | 58.1 | 47.1 | 73.1 |
| MA1+B | 58.8 | 46.9 | 70.4 |
| MA2+B | 76.9 | 50.6 | 74.5 |
| ANOVA | ns | ns | ns |
| Treatment | pH | EC (mS cm-1) | TSS (ᵒBrix) | Acidity | |||
| Control -B | 4.29 | 4.58 | 5.40 | 5.12 | |||
| Control +B | 4.21 | 4.79 | 4.70 | 5.46 | |||
| MA1+B | 4.21 | 4.86 | 4.90 | 5.29 | |||
| MA2+B | 4.12 | 4.73 | 4.80 | 5.54 | |||
| ANOVA | ns | ns | ns | ns | |||
| Treatment | Reducing sugars (mg g-1 dw) | Total phenols (mg g-1 dw) | Antioxidant activity (% inhibition) |
Boron (mg L-1) |
|||
| Control -B | 41.6 | 0.24 | 2 | 3.23* | |||
| Control +B | 34.4 | 0.24 | 1 | 7.62 | |||
| MA1+B | 34.8 | 0.27 | 1 | 9.54 | |||
| MA2+B | 34.7 | 0.27 | 1 | 9.04 | |||
| ANOVA | ns | ns | ns | ns | |||
| Mg | K | Ca | P | ||
| Treatment | g 100g-1 dw | ||||
| Control -B | 1.24* | 2.31 | 4.46* | 0.29* | |
| Control +B | 0.72 | 2.48 b | 2.71 | 0.54 | |
| MA1+B | 0.64 | 2.42 b | 2.87 | 0.52 | |
| MA2+B | 0.64 | 3.09 a | 2.79 | 0.54 | |
| ANOVA | ns | ** | ns | ns | |
| Mn | Fe | Zn | |||
| Treatment | mg kg-1 dw | ||||
| Control -B | 142.7 | 137.6 | 11.7* | ||
| Control +B | 140.0 b | 149.2 | 20.8 b | ||
| MA1+B | 364.4 a | 145.1 | 387.7 a | ||
| MA2+B | 483.1 a | 160.2 | 551.4 a | ||
| ANOVA | *** | ns | *** | ||
| GABA | Ala | Asn | Asp | Glu | Gln | Ile | |
| Treatment | mg g-1 dw | ||||||
| Control -B | 0.75* | 0.33* | 12.5* | 0.85 | 1.55* | 7.14* | 0.40 |
| Control +B | 1.19 | 0.64 b | 4.06 a | 1.19 | 2.85 | 3.37 a | 0.22 |
| MA1+B | 0.97 | 0.77 b | 0.88 b | 1.11 | 3.18 | 2.06 b | 0.23 |
| MA2+B | 1.32 | 1.02 a | 0.92 b | 1.17 | 2.92 | 2.18 b | 0.20 |
| ANOVA | ns | ** | *** | ns | ns | * | ns |
| Leu | Phe | Pro | Thr | Trp | Tyr | Val | |
| Treatment | mg g-1 dw | ||||||
| Control -B | 0.25 | 0.40 | 0.61* | 0.35 | 0.44 | 1.06 | 0.27 |
| Control +B | 0.25 | 0.28 | 2.41 | 0.43 | 0.32 | 1.22 b | 0.22 |
| MA1+B | 0.24 | 0.28 | 2.99 | 0.37 | 0.29 | 1.44 b | 0.22 |
| MA2+B | 0.27 | 0.31 | 3.30 | 0.37 | 0.31 | 1.98 a | 0.27 |
| ANOVA | ns | ns | ns | ns | ns | * | ns |
| Cit | Fer | For | Mal | ||
| Treatment | mg g-1 dw | ||||
| Control -B | 12.0* | 1.49* | 0.02* | 11.2 | |
| Control +B | 23.7 | 0.26 | 0.03 b | 16.2 | |
| MA1+B | 18.9 | 0.001 | 0.03 b | 12.5 | |
| MA2+B | 20.7 | 0.001 | 0.09 a | 15.7 | |
| ANOVA | ns | ns | *** | ns | |
| Fru | Glc | MI | Sac | UG | |
| Treatment | mg g-1 dw | ||||
| Control -B | 45.9* | 30.4* | 7.51 | 26.9 | 0.46* |
| Control +B | 14.1 | 13.3 | 7.29 | 22.7 | 0.93 a |
| MA1+B | 10.7 | 11.8 | 6.76 | 21.3 | 0.67 b |
| MA2+B | 11.5 | 17.5 | 7.29 | 21.3 | 0.74 b |
| ANOVA | ns | ns | ns | ns | ** |
| Chl | Cho | Tri | |||
| Treatment | mg g-1 dw | ||||
| Control -B | 0.76 | 0.49 | 0.85 | ||
| Control +B | 2.24 b | 1.47 | 1.54 | ||
| MA1+B | 2.84 b | 1.27 | 1.40 | ||
| MA2+B | 4.83 a | 1.11 | 1.75 | ||
| ANOVA | * | ns | ns | ||
| GABA | Ala | Asn | Asp | Glu | Gln | Ile | |
| Treatment | mg g-1 dw | ||||||
| Control -B | 9.10 | 0.72 | 6.59* | 9.21* | 18.0 | 30.5* | 0.54* |
| Control +B | 10.6 | 0.71 | 10.9 | 13.5 | 27.8 | 48.5 | 1.04 |
| MA1+B | 11.6 | 0.84 | 10.2 | 13.6 | 27.7 | 45.9 | 0.91 |
| MA2+B | 9.26 | 0.70 | 9.09 | 13.5 | 24.1 | 41.8 | 0.75 |
| ANOVA | ns | ns | ns | ns | ns | ns | ns |
| Leu | Phe | Pro | Thr | Trp | Tyr | Val | |
| Treatment | mg g-1 dw | ||||||
| Control -B | 0.46* | 1.44 | 0.36 | 1.30* | 0.26* | 0.18 | 0.41 |
| Control +B | 0.79 | 1.65 | 0.43 a | 1.94 | 0.47 | 0.20 | 0.48 |
| MA1+B | 0.70 | 1.66 | 0.24 b | 1.65 | 0.57 | 0.19 | 0.42 |
| MA2+B | 0.55 | 1.52 | 0.15 b | 1.56 | 0.37 | 0.18 | 0.32 |
| ANOVA | ns | ns | *** | ns | ns | ns | ns |
| Fru | Glc | Sac | Cit | Mal | |||
| Treatment | mg g-1 dw | ||||||
| Control -B | 383.9 | 293.9 | 9.32* | 87.1* | 10.2* | ||
| Control +B | 345.7 | 284.7 | 1.94 | 121.7 | 16.2 | ||
| MA1+B | 348.4 | 284.8 | 2.16 | 110.8 | 14.4 | ||
| MA2+B | 365.8 | 305.2 | 5.44 | 95.3 | 13.6 | ||
| ANOVA | ns | ns | ns | ns | ns | ||
| ADP | Chl | Cho | Tri | ||||
| Treatment | mg g-1 dw | ||||||
| Control -B | 1.39* | 0.60 | 1.22* | 0.35* | |||
| Control +B | 3.20 | 0.74 | 1.80 | 1.00 | |||
| MA1+B | 3.33 | 0.70 | 1.66 | 0.96 | |||
| MA2+B | 2.73 | 0.72 | 2.29 | 0.71 | |||
| ANOVA | ns | ns | ns | ns | |||
Disclaimer/Publisher’s Note: The statements, opinions and data contained in all publications are solely those of the individual author(s) and contributor(s) and not of MDPI and/or the editor(s). MDPI and/or the editor(s) disclaim responsibility for any injury to people or property resulting from any ideas, methods, instructions or products referred to in the content. |
© 2026 by the authors. Licensee MDPI, Basel, Switzerland. This article is an open access article distributed under the terms and conditions of the Creative Commons Attribution (CC BY) license.
