Submitted:
02 July 2025
Posted:
03 July 2025
You are already at the latest version
Abstract
Keywords:
1. Introduction
2. Materials and Methods
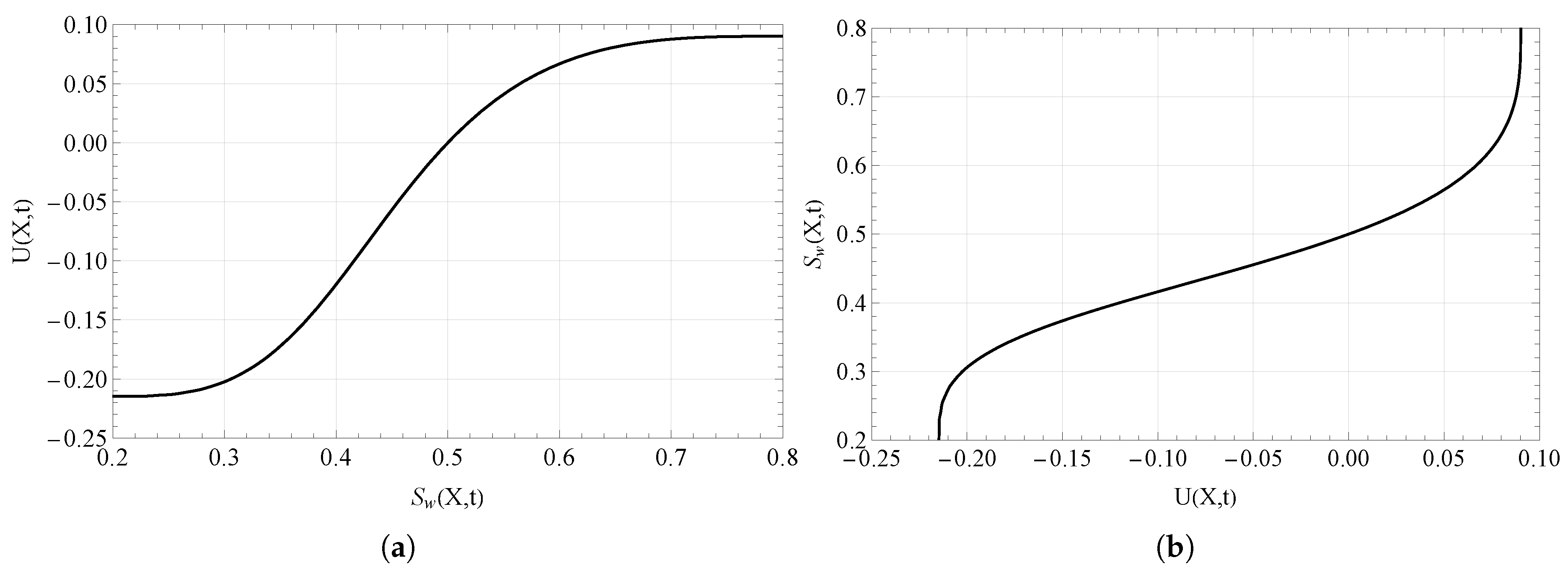
2.1. Problem Formulation
2.2. Formal Solution
2.3. Test-Case
2.4. Shanks Transformation
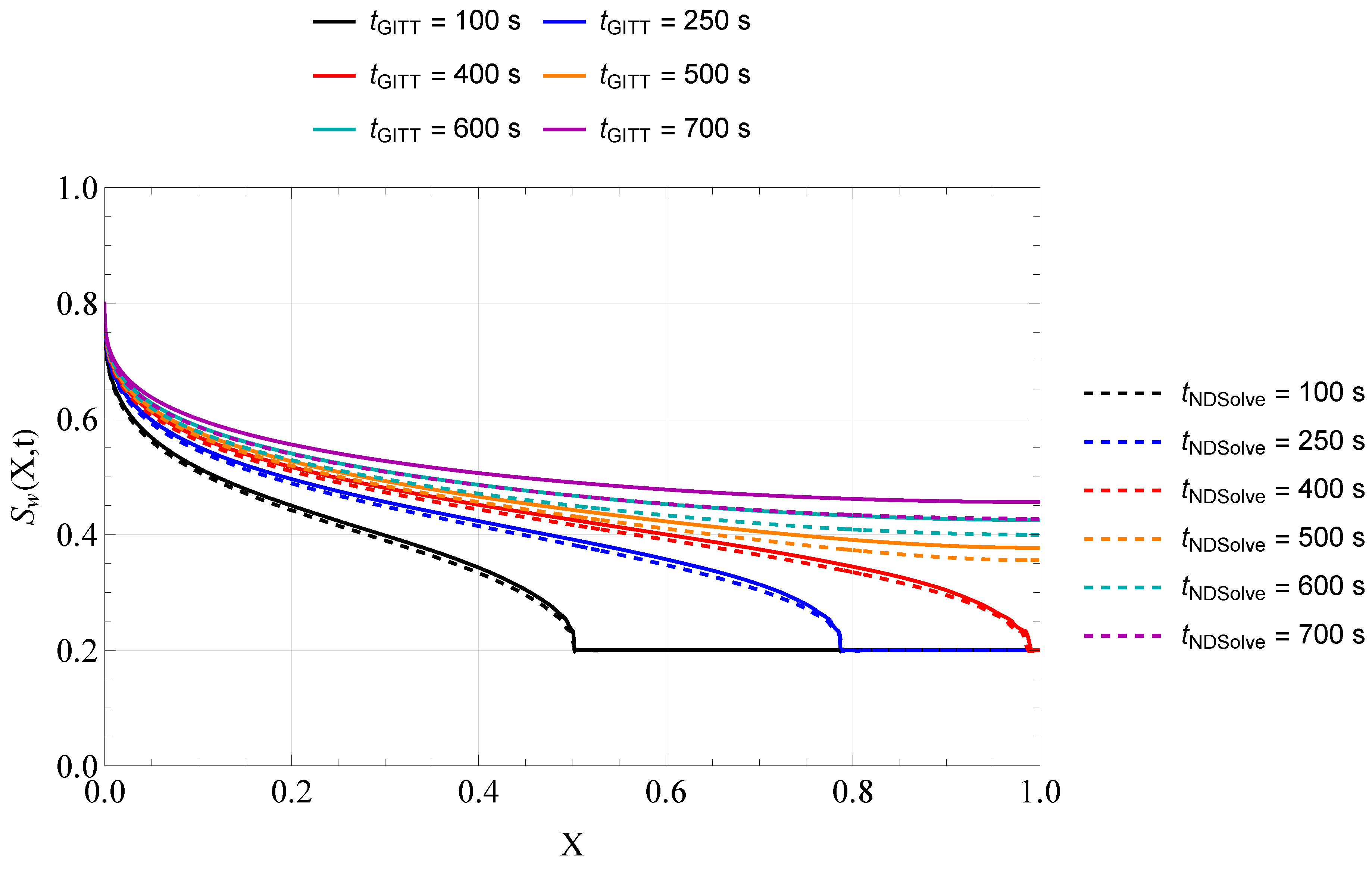
3. Results
3.1. Convergence Analysis
| N | |||||
|---|---|---|---|---|---|
| 2 | 0.5608 | 0.4669 | 0.4043 | 0.3421 | 0.2 |
| 4 | 0.5578 | 0.4665 | 0.4056 | 0.3414 | 0.2 |
| 6 | 0.5579 | 0.4665 | 0.4056 | 0.3413 | 0.2 |
| 8 | 0.5584 | 0.4660 | 0.4055 | 0.3431 | 0.2 |
| 10 | 0.5586 | 0.4662 | 0.4056 | 0.3426 | 0.2 |
| 12 | 0.5586 | 0.4662 | 0.4055 | 0.3424 | 0.2 |
| Shanks | 0.5586 | 0.4662 | 0.4055 | 0.3424 | 0.2 |
| N | |||||
|---|---|---|---|---|---|
| 2 | 0.5888 | 0.5096 | 0.4670 | 0.4405 | 0.4271 |
| 4 | 0.5876 | 0.5092 | 0.4674 | 0.4407 | 0.4269 |
| 6 | 0.5874 | 0.5093 | 0.4673 | 0.4408 | 0.4269 |
| 8 | 0.5873 | 0.5092 | 0.4673 | 0.4408 | 0.4269 |
| 10 | 0.5873 | 0.5092 | 0.4673 | 0.4408 | 0.4269 |
| 12 | 0.5873 | 0.5092 | 0.4673 | 0.4408 | 0.4269 |
| Shanks | 0.5873 | 0.5092 | 0.4673 | 0.4408 | 0.4269 |
| N | |||||
|---|---|---|---|---|---|
| 2 | 0.6318 | 0.5687 | 0.5380 | 0.5213 | 0.5139 |
| 4 | 0.6304 | 0.5683 | 0.5384 | 0.5215 | 0.5137 |
| 6 | 0.6302 | 0.5684 | 0.5383 | 0.5215 | 0.5137 |
| 8 | 0.6301 | 0.5684 | 0.5384 | 0.5215 | 0.5137 |
| 10 | 0.6301 | 0.5684 | 0.5384 | 0.5215 | 0.5137 |
| 12 | 0.6301 | 0.5684 | 0.5384 | 0.5215 | 0.5137 |
| Shanks | 0.6301 | 0.5684 | 0.5384 | 0.5215 | 0.5137 |
3.2. Verification Analysis
3.3. Low Order Truncation Solution
4. Discussion
Funding
Acknowledgments
Conflicts of Interest
Nomenclature
| Partial sum of the n-th term in the Shanks method | |
| Matrix coefficient related to transformed terms | |
| Matrix coefficient related to transformed terms | |
| D | Core diameter |
| Nonlinear capillary diffusion coefficient | |
| Fractional flow function | |
| Index | |
| K | Absolute permeability |
| Relative permeability of water |
| Maximum water relative permeability | |
| Relative permeability of oil | |
| Maximum oil relative permeability | |
| L | Core length |
| Eigenvalue | |
| Water viscosity | |
| Oil viscosity | |
| Exponent in water relative permeability in Brooks & Corey model | |
| Exponent in oil relative permeability in Brooks & Corey model | |
| N | Number of terms in expansion partial sums |
| Number of Gaussian quadrature points | |
| Normalization integral | |
| Truncation order in eigenfunction expansion | |
| Capillary pressure | |
| q | Injected water flow rate |
| Irreducible water saturation | |
| Irreducible oil saturation | |
| Water saturation | |
| t | Time |
| Injected flow velocity | |
| Kirchhoff-transformed variable | |
| Filtered Kirchhoff-transformed variable | |
| Filter function | |
| Transformed boundary condition value at inlet | |
| Transformed initial condition value | |
| X | Dimensionless spatial coordinate |
| x | Dimensional spatial coordinate |
| Porosity distribution function | |
| Eigenfunction of the i-th mode | |
| Normalized eigenfunction | |
| Integral transformed Kirchhoff-transformed variable | |
| Kronecker delta function |
References
- Radwan, A.E.; Nabawy, B.S.; Kassem, A.A.; Hussein, W.S. Implementation of rock typing on waterflooding process during secondary recovery in oil reservoirs: a case study, El Morgan Oil Field, Gulf of Suez, Egypt. Natural Resources Research 2021, 30, 1667–1696. [Google Scholar] [CrossRef]
- Kalam, S.; Abu-Khamsin, S.A.; Al-Yousef, H.Y.; Gajbhiye, R. A novel empirical correlation for waterflooding performance prediction in stratified reservoirs using artificial intelligence. Neural Computing and Applications 2021, 33, 2497–2514. [Google Scholar] [CrossRef]
- Radwan, A. New petrophysical approach and study of the pore pressure and formation damage in Badri, Morgan and Sidki fields, Gulf of Suez Region Egypt. PhD Thesis 2018. [Google Scholar]
- Feng, X.; Wen, X.H.; Li, B.; Liu, M.; Zhou, D.; Ye, Q.; Huo, D.; Yang, Q.; Lan, L. Water-injection optimization for a complex fluvial heavy-oil reservoir by integrating geological, seismic, and production data. SPE reservoir evaluation & engineering 2009, 12, 865–878. [Google Scholar]
- Gulick, K.E.; Mccain Jr, W.D. Waterflooding heterogeneous reservoirs: An overview of industry experiences and practices. In Proceedings of the SPE International Oil Conference and Exhibition in Mexico. SPE, 1998, pp. SPE–40044.
- Willhite, G.P. Waterflooding; Technology & Engineering, Society of Petroleum Engineers, 1986.
- Craig, F. The reservoir engineering aspects of waterflooding. Monograph Series, Society of Petroleum Engineers of AIME 1971.
- Radwan, A.E.; Abudeif, A.; Attia, M.; Mahmoud, M. Development of formation damage diagnosis workflow, application on Hammam Faraun reservoir: a case study, Gulf of Suez, Egypt. Journal of African Earth Sciences 2019, 153, 42–53. [Google Scholar] [CrossRef]
- Nabawy, B.S.; Barakat, M.K. Formation evaluation using conventional and special core analyses: Belayim Formation as a case study, Gulf of Suez, Egypt. Arabian Journal of Geosciences 2017, 10, 1–23. [Google Scholar] [CrossRef]
- Guo, K.; Li, H.; Yu, Z. In-situ heavy and extra-heavy oil recovery: A review. Fuel 2016, 185, 886–902. [Google Scholar] [CrossRef]
- An, S.; Wenck, N.; Manoorkar, S.; Berg, S.; Taberner, C.; Pini, R.; Krevor, S. Inverse modeling of core flood experiments for predictive models of sandstone and carbonate rocks. Water Resources Research 2023, 59, e2023WR035526. [Google Scholar] [CrossRef]
- Almajid, M.M.; Abu-Al-Saud, M.O. Prediction of porous media fluid flow using physics informed neural networks. Journal of Petroleum Science and Engineering 2022, 208, 109205. [Google Scholar] [CrossRef]
- Wenck, N.; Jackson, S.J.; Manoorkar, S.; Muggeridge, A.; Krevor, S. Simulating core floods in heterogeneous sandstone and carbonate rocks. Water Resources Research 2021, 57, e2021WR030581. [Google Scholar] [CrossRef]
- Berg, S.; Unsal, E.; Dijk, H. Non-uniqueness and uncertainty quantification of relative permeability measurements by inverse modelling. Computers and Geotechnics 2021, 132, 103964. [Google Scholar] [CrossRef]
- Litvin, A.T.; Terentiyev, A.A.; Gornov, D.A.; Kozhin, V.N.; Pchela, K.V.; Kireyev, I.I.; Demin, S.V.; Nikitin, A.V.; Roschin, P.V. Selection of Effective Solvents–Universal Modification of Presently Available Enhanced Oil Recovery Methods and Oil Production Stimulation Processes. In Proceedings of the SPE Russian Petroleum Technology Conference. SPE; 2020; p. 023. [Google Scholar]
- Liu, W.; Wang, S.; Chen, X.; Li, K.; Zhang, Y.; Zang, Y.; Liu, S. Mechanisms and application of viscosity reducer and CO2-assisted steam stimulation for a deep ultra-heavy oil reservoir. In Proceedings of the SPE Canada Heavy Oil Conference. SPE, 2016, p. D021S005R004.
- Jones, J. Thermal Recovery by Steam Injection. Petroleum Engineering handbook, Edited by LW Lake 2007, 5. [Google Scholar]
- Jaramillo, A.; Guiraldello, R.T.; Paz, S.; Ausas, R.F.; Sousa, F.S.; Pereira, F.; Buscaglia, G.C. Towards HPC simulations of billion-cell reservoirs by multiscale mixed methods. Computational Geosciences 2022, 26, 481–501. [Google Scholar] [CrossRef]
- Pinilla, A.; Ramirez, L.; Asuaje, M.; Ratkovich, N. Modelling of 3D viscous fingering: Influence of the mesh on coreflood experiments. Fuel 2021, 287, 119441. [Google Scholar] [CrossRef]
- Wang, D.; Zheng, Z.; Ma, Q.; Hu, P.; Huang, X.; Song, Y. Effects of the errors between core heterogeneity and the simplified models on numerical modeling of CO2/water core flooding. International Journal of Heat and Mass Transfer 2020, 149, 119223. [Google Scholar] [CrossRef]
- Berg, S.; Dijk, H.; Unsal, E.; Hofmann, R.; Zhao, B.; Ahuja, V.R. Simultaneous determination of relative permeability and capillary pressure from an unsteady-state core flooding experiment? Computers and Geotechnics 2024, 168, 106091. [Google Scholar] [CrossRef]
- Lozano, L.F.; Cedro, J.B.; Zavala, R.V.Q.; Chapiro, G. How simplifying capillary effects can affect the traveling wave solution profiles of the foam flow in porous media. International Journal of Non-Linear Mechanics 2022, 139, 103867. [Google Scholar] [CrossRef]
- Borazjani, S.; Hemmati, N.; Behr, A.; Genolet, L.; Mahani, H.; Zeinijahromi, A.; Bedrikovetsky, P. Determining water-oil relative permeability and capillary pressure from steady-state coreflood tests. Journal of Petroleum Science and Engineering 2021, 205, 108810. [Google Scholar] [CrossRef]
- Valdez, A.R.; Rocha, B.M.; Chapiro, G.; dos Santos, R.W. Uncertainty quantification and sensitivity analysis for relative permeability models of two-phase flow in porous media. Journal of Petroleum Science and Engineering 2020, 192, 107297. [Google Scholar] [CrossRef]
- Mu, L.; Liao, X.; Chen, Z.; Zou, J.; Chu, H.; Li, R. Analytical solution of Buckley-Leverett equation for gas flooding including the effect of miscibility with constant-pressure boundary. Energy Exploration & Exploitation 2019, 37, 960–991. [Google Scholar]
- Abreu, E.; Vieira, J. Computing numerical solutions of the pseudo-parabolic Buckley–Leverett equation with dynamic capillary pressure. Mathematics and Computers in Simulation 2017, 137, 29–48. [Google Scholar] [CrossRef]
- Kakaç, S.; Yener, Y.; Naveira-Cotta, C.P. Heat conduction; CRC press, 2018.
- Özışık, M.N. Heat conduction; John Wiley & Sons, 1993.
- Mikhailov, M.D.; Ozisik, M.N. Unified analysis and solutions of heat and mass diffusion; John Wiley and Sons Inc., New York, NY, 1984.
- Luikov, A.V. Analytical Heat Diffusion Theory; Academic Press: New York, NY, 1968. [Google Scholar]
- Baliga, B.R.; Lokhmanets, I.; Cimmino, M. Numerical methods for conduction-type phenomena. In Handbook of Thermal Science and Engineering; et al., F.K., Ed.; Springer, 2018; pp. 127–177.
- Özişik, M.N.; Orlande, H.R.; Colaço, M.J.; Cotta, R.M. Finite difference methods in heat transfer; CRC press, 2017.
- Minkowycz, W.J.; Sparrow, E.M.; Murthy, J.Y. (Eds.) Handbook of Numerical Heat Transfer, 2nd ed.; John Wiley & Sons: New York, 2006. [Google Scholar]
- Jaluria, Y.; Torrance, K.E. Computational Heat Transfer, 2nd ed.; CRC Press, 2003.
- Adomian, G. Solving Frontier Problems of Physics: The Decomposition Method; Kluwer Academic: Dordrecht, 1994. [Google Scholar]
- Hinch, E.J. Perturbation Methods; Cambridge University Press: Cambridge, 1991. [Google Scholar]
- Ames, W.F. Nonlinear Partial Differential Equations in Engineering; Academic Press, 1972.
- Hansen, A.G. Similarity Analyses of Boundary Value Problems in Engineering; Prentice-Hall, 1964.
- Cotta, R.M.; Quaresma, J.N.N.; Lima, J.A.; Lisboa, K.M. Integral Transforms in Nonlinear Convection. In Turbulência: Volume 11; França Meier, H., Utzig, J., Eds.; Edifurb: Blumenau, 2022; pp. 163–211. [Google Scholar]
- Cotta, R.M.; Ozisik, M. Laminar forced convection inside ducts with periodic variation of inlet temperature. International journal of heat and mass transfer 1986, 29, 1495–1501. [Google Scholar] [CrossRef]
- Cotta, R.M.; Lisboa, K.; Curi, M.; Balabani, S.; Quaresma, J.N.N.; Pérez Guerrero, J.; Macêdo, E.; Amorim, N. A review of hybrid integral transform solutions in fluid flow problems with heat or mass transfer and under Navier-Stokes equations formulations. Num. Heat Transfer, Part B 2019, 76, 60–87. [Google Scholar] [CrossRef]
- Cotta, R.M.; Knupp, D.; Quaresma, J.N.N. Analytical methods in heat transfer. In Handbook of Thermal Science and Engineering; et al., F.K., Ed.; Springer, 2018; Vol. 1, chapter 2, pp. 61–126.
- Cotta, R.M.; Naveira-Cotta, C.; Knupp, D.; Zotin, J.; Pontes, P.; Almeida, A. Recent advances in computational-analytical integral transforms for convection-diffusion problems. Heat & Mass Transfer 2018, 54, 2475–2496. [Google Scholar]
- Cotta, R.M.; Mikhailov, M. Hybrid methods and symbolic computations. In Handbook of Numerical Heat Transfer, 2 ed.; Minkowycz, W., Sparrow, E., Murthy, J., Eds.; John Wiley: New York, 2006. [Google Scholar]
- Pérez Guerrero, J.; Quaresma, J.N.N.; Cotta, R.M. Simulation of laminar flow inside ducts of irregular geometry using integral transforms. Computational Mechanics 2000, 25, 413–420. [Google Scholar] [CrossRef]
- Cotta, R.M. The integral transform method in thermal and fluids sciences and engineering; Begell House: New York, 1998. [Google Scholar]
- Cotta, R.M.; Mikhailov, M.D. Heat Conduction: Lumped Analysis, Integral Transforms, Symbolic Computation; Wiley, 1997.
- Cotta, R.M.; Mikhailov, M. Integral transform method. Applied Mathematical Modelling 1993, 17, 156–161. [Google Scholar] [CrossRef]
- Cotta, R. Integral transforms in computational heat and fluid flow; CRC Press: Boca Raton, FL, 1993. [Google Scholar]
- Serfaty, R.; Cotta, R.M. Hybrid analysis of transient non-linear convection-diffusion problems. International Journal of Numerical Methods for Heat & Fluid Flow 1992, 2, 55–62. [Google Scholar]
- Serfaty, R.; Cotta, R.M. Integral transform solutions of diffusion problems with nonlinear equation coefficients. Int. Comm. Heat & Mass Transfer 1990, 17, 851–864. [Google Scholar]
- Cotta, R.M. Hybrid numerical/analytical approach to nonlinear diffusion problems. Numerical Heat Transfer 1990, 17, 217–226. [Google Scholar] [CrossRef]
- Kakaç, S.; Li, W.; Cotta, R.M. Unsteady laminar forced convection in ducts with periodic variation of inlet temperature. Journal of Heat Transfer 1990, 112, 913–920. [Google Scholar] [CrossRef]
- Cotta, R.M.; Knupp, D.; Lisboa, K.; Naveira-Cotta, C.; Quaresma, J.; Zotin, J.; Miyagawa, H. Integral transform benchmarks of diffusion, convection-diffusion, and conjugated problems in complex domains. In 50 Years of CFD in Engineering Sciences - A Commemorative Volume in Memory of D. Brian Spalding; Runchal, A., Ed.; Springer-Verlag, 2020; chapter 20, pp. 719–750.
- da Silva, E.M.; Quaresma, J.N.; Macêdo, E.N.; Cotta, R.M. Integral transforms for three-dimensional pumping in confined, leaky, and unconfined aquifers. Journal of Hydrology and Hydromechanics 2021, 69, 319–331. [Google Scholar] [CrossRef]
- Cotta, R.M. Integral Transforms in Computational Heat and Fluid Flow; CRC Press, 1993.
- Cotta, R.M.; Naveira-Cotta, C.P.; Genuchten, M.T.; Su, J.; Quaresma, J.N. Integral transform analysis of radionuclide transport in variably saturated media using a physical non-equilibrium model: application to solid waste leaching at a uranium mining installation. Anais da Academia Brasileira de Ciências 2020, 92, e20190427. [Google Scholar] [CrossRef]
- Pelisoli, L.O.; Cotta, R.M.; Naveira-Cotta, C.P.; Couto, P. Three-dimensional transient flow in heterogeneous reservoirs: Integral transform solution of a generalized point-source problem. Journal of Petroleum Science and Engineering 2022, 211, 109976. [Google Scholar] [CrossRef]
- Deucher, R.H.; Couto, P.; Bodstein, G.C.R. Transient solution for the energy balance in porous media considering viscous dissipation and expansion/compression effects using integral transforms. Transport in Porous Media 2017, 116, 753–775. [Google Scholar] [CrossRef]
- Cotta, R.M.; Couto, P.; Stieven, G.M.; Naveira-Cotta, C.P. Recent Progresses on Fundamentals and Applications of Computational-Analytical Integral Transforms. In Proceedings of the Proceedings of the 18th UK Heat Transfer Conference, 2024, Vol.
- Almeida, A.; Cotta, R.M. Analytical solution of the tracer equation for the homogeneous five-spot problem. SPE Journal 1996, 1, 31–38. [Google Scholar] [CrossRef]
- Almeida, A.R.; Cotta, R.M. Integral transform methodology for convection-diffusion problems in petroleum reservoir engineering. International journal of heat and mass transfer 1995, 38, 3359–3367. [Google Scholar] [CrossRef]
- Özışık, M.N. Boundary value problems of heat conduction; Dover Corporation, 1989.
- Cobble, H.H. Nonlinear Heat Transfer in Solids. Technical Report Technical Report No. 8, Mechanical Engineering Department, Eng. Expt. Station, New Mexico State University, University Park, N.M., 1963.
- Carslaw, H.; Jaeger, J. Conduction of Heat in Solids. Clarendon Press, Oxford 1959.
- Kirchhoff, G. Vorlesungen über die Theorie der Wärme; Barth: Leipzig, 1894. [Google Scholar]
- Lie, K.A. An introduction to reservoir simulation using MATLAB/GNU Octave: User guide for the MATLAB Reservoir Simulation Toolbox (MRST); Cambridge University Press, 2019.
- Lenormand, R.; Lorentzen, K.; Maas, J.G.; Ruth, D. Comparison of four numerical simulators for SCAL experiments. Petrophysics 2017, 58, 48–56. [Google Scholar]
- Ahuja, V. Core2Relperm. https://github.com/sede-open/Core2Relperm, 2024. Accessed: Nov. 25, 2024.
- Guérillot, D.; Kadiri, M.; Trabelsi, S. Buckley–Leverett Theory for Two-Phase Immiscible Fluids Flow Model with Explicit Phase-Coupling Terms. Water 2020, 12, 3041. [Google Scholar] [CrossRef]
- Mikhailov, M.D.; Cotta, R.M. Convergence acceleration of integral transform solutions. Hybrid Methods in Engineering 2001, 3, 89–94. [Google Scholar] [CrossRef]
- Shanks, D. Non-linear transformations of divergent and slowly convergent sequences. Journal of Mathematics and Physics 1955, 34, 1–42. [Google Scholar] [CrossRef]
- Pontes, P.; Costa Junior, J.; Naveira-Cotta, C.; Tiwari, M. Approximation error model (AEM) approach with hybrid methods in the forward-inverse analysis of the transesterification reaction in 3D-microreactors. Inverse Problems in Science and Engineering 2021, 29, 1586–1612. [Google Scholar] [CrossRef]
- Kaipio, J.; Somersalo, E. Statistical and computational inverse problems; Vol. 160, Springer Science & Business Media, 2006.







| Property | Symbol | Value | Unit |
|---|---|---|---|
| Maximum water relative permeability | - | ||
| Maximum oil relative permeability | - | ||
| Exponent in model | 3 | - | |
| Exponent in model | 3 | - | |
| Irreducible oil saturation | - | ||
| Irreducible water saturation | - | ||
| Porosity | - | ||
| Water viscosity | kg·m−1·s−1 | ||
| Oil viscosity | kg·m−1·s−1 | ||
| Core diameter | D | m | |
| Absolute permeability | K | 100 | mD |
| Injected water flow rate | q | 1 | cm3·h−1 |
| Core length | L | m |
| N | |||||
|---|---|---|---|---|---|
| 2 | 0.04847 | -0.03647 | -0.1162 | -0.1809 | -0.2178 |
| 4 | 0.04661 | -0.03696 | -0.1146 | -0.1815 | -0.2179 |
| 6 | 0.04667 | -0.03702 | -0.1146 | -0.1816 | -0.2179 |
| 8 | 0.04696 | -0.03764 | -0.1147 | -0.1802 | -0.2188 |
| 10 | 0.04712 | -0.03733 | -0.1146 | -0.1806 | -0.2195 |
| 12 | 0.04713 | -0.03731 | -0.1147 | -0.1807 | -0.2197 |
| Shanks | 0.04711 | -0.03736 | -0.1147 | -0.1807 | -0.2198 |
| N | |||||
|---|---|---|---|---|---|
| 2 | 0.06305 | 0.009250 | -0.03644 | -0.06956 | -0.08694 |
| 4 | 0.06252 | 0.008871 | -0.03593 | -0.06930 | -0.08727 |
| 6 | 0.06242 | 0.008964 | -0.03601 | -0.06925 | -0.08729 |
| 8 | 0.06239 | 0.008958 | -0.03598 | -0.06926 | -0.08729 |
| 10 | 0.06239 | 0.008949 | -0.03599 | -0.06926 | -0.08728 |
| 12 | 0.06239 | 0.008951 | -0.03599 | -0.06926 | -0.08728 |
| Shanks | 0.06239 | 0.008951 | -0.03599 | -0.06926 | -0.08728 |
| N | |||||
|---|---|---|---|---|---|
| 2 | 0.07796 | 0.05304 | 0.03312 | 0.01980 | 0.01328 |
| 4 | 0.07760 | 0.05280 | 0.03346 | 0.01994 | 0.01308 |
| 6 | 0.07752 | 0.05286 | 0.03340 | 0.01998 | 0.01306 |
| 8 | 0.07751 | 0.05286 | 0.03342 | 0.01997 | 0.01306 |
| 10 | 0.07750 | 0.05285 | 0.03341 | 0.01997 | 0.01307 |
| 12 | 0.07750 | 0.05286 | 0.03342 | 0.01997 | 0.01307 |
| Shanks | 0.07750 | 0.05285 | 0.03342 | 0.01997 | 0.01307 |
| N | |||||
|---|---|---|---|---|---|
| 1 | 0.5525 | 0.4573 | 0.3962 | 0.3396 | 0.2737 |
| 2 | 0.5595 | 0.4651 | 0.4018 | 0.3375 | 0.2000 |
| 3 | 0.5593 | 0.4650 | 0.4019 | 0.3377 | 0.2000 |
| 4 | 0.5569 | 0.4652 | 0.4029 | 0.3354 | 0.2000 |
| 5 | 0.5583 | 0.4645 | 0.4034 | 0.3348 | 0.2000 |
| 6 | 0.5573 | 0.4650 | 0.4030 | 0.3352 | 0.2000 |
| Shanks | 0.5577 | 0.4648 | 0.4032 | 0.3350 | 0.2000 |
| 6 (N=12) | 0.5579 | 0.4665 | 0.4056 | 0.3413 | 0.2000 |
| N | |||||
|---|---|---|---|---|---|
| 1 | 0.5846 | 0.5037 | 0.4598 | 0.4320 | 0.4176 |
| 2 | 0.5857 | 0.5048 | 0.4604 | 0.4318 | 0.4168 |
| 3 | 0.5848 | 0.5044 | 0.4608 | 0.4321 | 0.4165 |
| 4 | 0.5846 | 0.5044 | 0.4608 | 0.4321 | 0.4165 |
| 5 | 0.5845 | 0.5045 | 0.4608 | 0.4321 | 0.4165 |
| 6 | 0.5845 | 0.5045 | 0.4608 | 0.4321 | 0.4165 |
| Shanks | 0.5845 | 0.5045 | 0.4608 | 0.4321 | 0.4165 |
| 6 (N=12) | 0.5874 | 0.5093 | 0.4673 | 0.4408 | 0.4269 |
| N | |||||
|---|---|---|---|---|---|
| 1 | 0.6328 | 0.5690 | 0.5363 | 0.5174 | 0.5085 |
| 2 | 0.6297 | 0.5658 | 0.5347 | 0.5177 | 0.5102 |
| 3 | 0.6287 | 0.5654 | 0.5350 | 0.5180 | 0.5099 |
| 4 | 0.6283 | 0.5654 | 0.5351 | 0.5179 | 0.5100 |
| 5 | 0.6281 | 0.5655 | 0.5351 | 0.5179 | 0.5100 |
| 6 | 0.6281 | 0.5655 | 0.5350 | 0.5180 | 0.5100 |
| Shanks | 0.6281 | 0.5655 | 0.5350 | 0.5180 | 0.5100 |
| 6 (N=12) | 0.6302 | 0.5684 | 0.5383 | 0.5215 | 0.5137 |
| 20 | 0.5572 | 0.4649 | 0.4028 | 0.3344 | 0.2000 |
| 40 | 0.5573 | 0.4650 | 0.4030 | 0.3351 | 0.2000 |
| 60 | 0.5573 | 0.4650 | 0.4030 | 0.3351 | 0.2000 |
| 80 | 0.5573 | 0.4650 | 0.4030 | 0.3352 | 0.2000 |
| Shanks () | 0.5577 | 0.4648 | 0.4032 | 0.3350 | 0.2000 |
| 20 | 0.5843 | 0.5041 | 0.4603 | 0.4314 | 0.4156 |
| 40 | 0.5844 | 0.5044 | 0.4607 | 0.4320 | 0.4164 |
| 60 | 0.5844 | 0.5044 | 0.4607 | 0.4320 | 0.4164 |
| 80 | 0.5845 | 0.5045 | 0.4608 | 0.4321 | 0.4165 |
| Shanks () | 0.5845 | 0.5045 | 0.4608 | 0.4321 | 0.4165 |
| 20 | 0.6279 | 0.5653 | 0.5348 | 0.5177 | 0.5097 |
| 40 | 0.6280 | 0.5655 | 0.5350 | 0.5179 | 0.5099 |
| 60 | 0.6281 | 0.5655 | 0.5350 | 0.5179 | 0.5099 |
| 80 | 0.6281 | 0.5655 | 0.5350 | 0.5180 | 0.5100 |
| Shanks () | 0.6281 | 0.5655 | 0.5350 | 0.5180 | 0.5100 |
Disclaimer/Publisher’s Note: The statements, opinions and data contained in all publications are solely those of the individual author(s) and contributor(s) and not of MDPI and/or the editor(s). MDPI and/or the editor(s) disclaim responsibility for any injury to people or property resulting from any ideas, methods, instructions or products referred to in the content. |
© 2025 by the authors. Licensee MDPI, Basel, Switzerland. This article is an open access article distributed under the terms and conditions of the Creative Commons Attribution (CC BY) license (http://creativecommons.org/licenses/by/4.0/).