Submitted:
20 June 2025
Posted:
23 June 2025
You are already at the latest version
Abstract
Keywords:
1. Introduction
- (1)
- Does C. japonica successfully infect D. trifoliata and have significant negative effects?
- (2)
- Will C. japonica also infect the mangrove covered by D. trifoliata and cause significant negative effects?
2. Materials and Methods
2.1. Plant Material Preparation
2.2. Experimental Design
2.3. Sampling and Analysis
2.4. Statistical Analysis
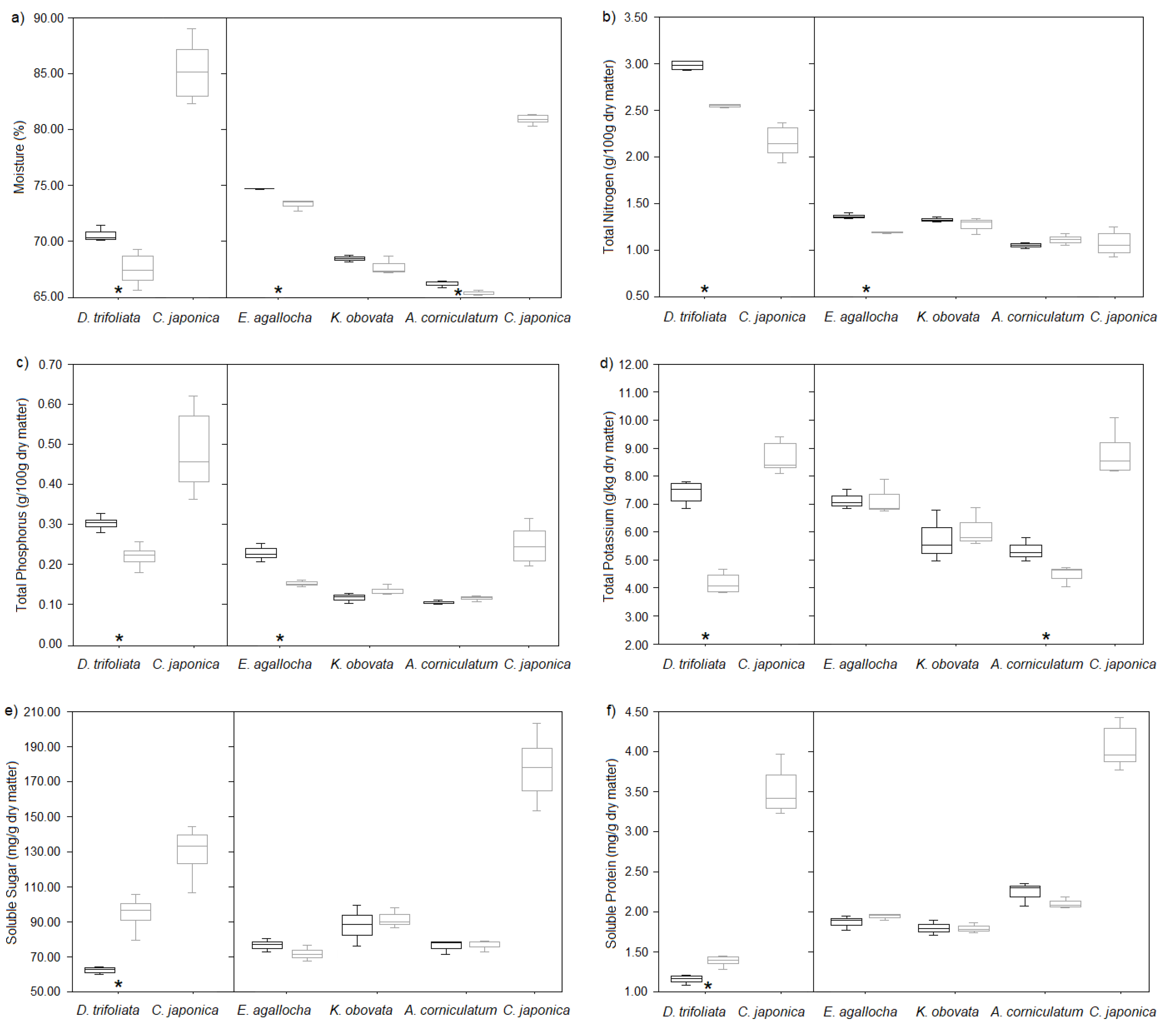
3. Results
3.1. Survival Rates of Cuscuta japonica and Hosts
3.2. Haustoria on Different Host Species
3.3. Infection Responses of Host Species
3.4. Other Special Features in Chemical Analysis
4. Discussion
4.1. Infection and Effects of Cuscuta to Different Host Species
4.2. Risk Assessment and Control of Cuscuta japonica in Mangroves
4.3. The Potential of Proposed Method and Further Research
Supplementary Materials
Author Contributions
Funding
Data Availability Statement
Acknowledgments
Conflicts of Interest
References
- DeWalt, S.J.; Schnitzer, S.A.; Chave, J.; Bongers, F.; Burnham, R.J.; Cai, Z.; Chuyong, G.; Clark, D.B.; Ewango, C.E.N.; Gerwing, J.J.; et al. Annual rainfall and seasonality predict pan-tropical patterns of liana density and basal area. Biotropica 2010, 42, 309–317. [Google Scholar] [CrossRef]
- Parolari, A.J.; Paul, K.; Griffing, A.; Condit, R.; Perez, R.; Aguilar, S.; Schnitzer, S.A. Liana abundance and diversity increase with rainfall seasonality along a precipitation gradient in Panama. Ecography 2020, 43, 25–33. [Google Scholar] [CrossRef]
- Prayudha, B.; Siregar, V.; Ulumuddin, Y.I.; Prasetyo, L.B.; Agus, S.B.; Suyadi; Suyarso; Salatalohi, A. ; Anggraini, K. Mangrove forest encroachment by Nypa frutican, Derris trifoliata, and Acanthus spp. in Segara Anakan Lagoon. IOP Conference Series: Earth and Environmental Science 2023, 1251, 012017. [Google Scholar] [CrossRef]
- Matthews, E.R.; Schmit, J.P.; Campbell, J.P. Climbing vines and forest edges affect tree growth and mortality in temperate forests of the U.S. Mid-Atlantic States. For. Ecol. Manag 2016, 374, 166–173. [Google Scholar] [CrossRef]
- Schnitzer, S.A.; DeFilippis, D.M.; Visser, M.; Estrada-Villegas, S.; Rivera-Camaña, R.; Bernal, B.; Peréz, S.; Valdéz, A.; Valdéz, S.; Aguilar, A.; et al. Local canopy disturbance as an explanation for long-term increases in liana abundance. Ecol. Lett. 2021, 24, 2635–2647. [Google Scholar] [CrossRef]
- Campbell, M.J.; Edwards, W.; Magrach, A.; Alamgir, M.; Porolak, G.; Mohandass, D.; Laurance, W.F. Edge disturbance drives liana abundance increase and alteration of liana-host tree interactions in tropical forest fragments. Ecol. Evol. 2018, 8, 4237–4251. [Google Scholar] [CrossRef]
- Paul, G.S.; Yavitt, J.B. Tropical vine growth and the effects on forest succession: a review of the ecology and management of tropical climbing plants. Bot. Rev. 2011, 77, 11–30. [Google Scholar] [CrossRef]
- Becknell, J.; Vargas G, G.; Wright, L.; Woods, N.-F.; Medvigy, D.; Powers, J. Increasing liana abundance and associated reductions in tree growth in secondary seasonally dry tropical forest. Front. For. Glob. Change 2022, 5, 838357. [Google Scholar] [CrossRef]
- Biswas, S.R.; Choudhury, J.K.; Nishat, A.; Rahman, M.M. Do invasive plants threaten the Sundarbans mangrove forest of Bangladesh? For. Ecol. Manag 2007, 245, 1–9. [Google Scholar] [CrossRef]
- Polyium, U.; Thaisong, P.N. Phytochemical and nutritional values of local plants in the Phraek Nam Daeng Community Samut Songkhram Province Thailand. AMM 2018, 879, 101–107. [Google Scholar] [CrossRef]
- Raju, A.J.S.; Kumar, R. Pollination ecology of Derris trifoliata (Fabaceae), a mangrove associate in Coringa Mangrove Forest, Andhra Pradesh, India. J. Threat. Taxa 2016, 8, 8788–8796. [Google Scholar] [CrossRef]
- Zhang, Y.; Xin, K.; Liao, B.; Ai, X.; Sheng, N. The genetic and environmental adaptation of the associated liana species Derris trifoliata Lour. (Leguminosae) in mangroves. Forests 2021, 12, 1375. [Google Scholar] [CrossRef]
- Zhu, Y.; Liu, K.; Liu, L.; Myint, S.W.; Wang, S.; Cao, J.; Wu, Z. Estimating and mapping mangrove biomass dynamic change using WorldView-2 images and digital surface models. IEEE J. Sel. Top. Appl. Earth Obs. Remote Sens. 2020, 13, 2123–2134. [Google Scholar] [CrossRef]
- Sheng, N.; Xin, K.; Zhang, C.; Hua, G. Dispersal pattern of Derris trifoliata in mangroves. Journal of Hainan Normal University(Natural Science) 2021, 34. [Google Scholar] [CrossRef]
- Aluri, J.S.R.; Kumar, R.; Chappidi, P. Reproductive biology of mangrove plants Clerodendrum inerme, Derris trifoliata, Suaeda maritima, Suaeda monoica, Suaeda nudiflora. Transylv. Rev. Syst. Ecol. Res. 2016, 18, 31–68. [Google Scholar] [CrossRef]
- Huang, X.; Zhong, C.; Chen, S.; Liu, Y.; Liang, S. Mangrove forest threatened by Derris trifoliata. Wetland Science & Management 2015, 11, 26–29. [Google Scholar] [CrossRef]
- Lyu, T.; Zhong, S.; Jiang, W.; Ling, Z.; Chu, A. Effects of Deris trfoliata on mangrove degradation in the Lianzhou Bay of Guangxi based on China’s high-resolution remote sensing data. Wetland Science 2025, 23, 11–21. [Google Scholar] [CrossRef]
- Zhang, Y.; Liao, B.; Yang, L.; Jiang, Z.; Xin, K. Research summary on native associated liana species Derris trifoliata in mangrove forests. Wetland Science 2022, 20, 421–426. [Google Scholar] [CrossRef]
- Huang, D.; Sun, X.; Guo, X.; Gou, Z. Risk analysis of mangrove associate plant Derris trifoliate in Hainan. Tropical Forestry 2019, 47, 62–65. [Google Scholar] [CrossRef]
- Li, L.; Lin, J. The distribution and preventing strategy of Derris trifoliate in Hainan Dongzhaigang National Nature Reserve. Tropical Forestry 2019, 47, 36–38. [Google Scholar] [CrossRef]
- Těšitel, J.; Cirocco, R.M.; Facelli, J.M.; Watling, J.R. Native parasitic plants: Biological control for plant invasions? Appl. Veg. Sci. 2020, 23, 464–469. [Google Scholar] [CrossRef]
- Wang, Y.; Bu, H.; Gu, X.; Liu, W.; Wang, X. Integrated omic analysis provides insights into how Cuscuta australis inhibits the growth and reproduction of Xanthium spinosum. BMC Plant Biol. 2025, 25, 657. [Google Scholar] [CrossRef] [PubMed]
- Cirocco, R.M.; Facelli, J.M.; Watling, J.R. The impact of a native hemiparasite on a major invasive shrub is affected by host size at time of infection. J. Exp. Bot. 2020, 71, 3725–3734. [Google Scholar] [CrossRef] [PubMed]
- Zan, Q.; Wang, B.; Wang, Y.; Zhang, J.; Liao, W.; Li, M. The harm caused by Mikania micrantha and its control by Cuscuta campestris. Chinese Journal of Plant Ecology 2003, 27, 822–828. [Google Scholar] [CrossRef]
- Koch, A.M.; Binder, C.; Sanders, I.R. Does the generalist parasitic plant Cuscuta campestris selectively forage in heterogeneous plant communities? New Phytol. 2004, 162, 147–155. [Google Scholar] [CrossRef]
- Furuhashi, T.; Katsuhisa, F.; and Weckwerth, W. The parasitic mechanism of the holostemparasitic plant Cuscuta. J. Plant Interact 2011, 6, 207–219. [Google Scholar] [CrossRef]
- Yu, H.; Liu, J.; He, W.-M.; Miao, S.-L.; Dong, M. Cuscuta australis restrains three exotic invasive plants and benefits native species. Biol. Invasions 2011, 13, 747–756. [Google Scholar] [CrossRef]
- Li, J.; Yang, B.; Yan, Q.; Zhang, J.; Yan, M.; Li, M. Effects of a native parasitic plant on an exotic invader decrease with increasing host age. AoBP 2015, 7, plv031. [Google Scholar] [CrossRef]
- Wu, A.P.; Zhong, W.; Yuan, J.R.; Qi, L.Y.; Chen, F.L.; Liang, Y.S.; He, F.F.; Wang, Y.H. The factors affecting a native obligate parasite, Cuscuta australis, in selecting an exotic weed, Humulus scandens, as its host. Sci. Rep. 2019, 9, 511. [Google Scholar] [CrossRef]
- Li, J.; Jin, Z.; Song, W. Do native parasitic plants cause more damage to exotic invasive hosts than native non-invasive hosts? An implication for biocontrol. PloS One 2012, 7, e34577. [Google Scholar] [CrossRef]
- Yu, H.; Yu, F.H.; Miao, S.L.; Dong, M. Holoparasitic Cuscuta campestris suppresses invasive Mikania micrantha and contributes to native community recovery. Biol. Conserv. 2008, 141, 2653–2661. [Google Scholar] [CrossRef]
- Wang, W.B.; Gao, F.F.; Shao, M.N.; Liu, M.C.; Zhai, H.F.; Qu, B.; Feng, Y.L. First record of field dodder (Cuscuta campestris) parasitizing invasive buffalobur (Solanum rostratum). J. Plant Pathol. 2020, 102, 703–707. [Google Scholar] [CrossRef]
- Wang, H.; Ze, S.; Ji, M.; Zhao, N.; Hu, L.; Xie, S. Impacts of different fertilizer processing on Cuscuta Reflexa infecting Mikania micrantha. Jiangsu Agriculture Science 2020, 48, 98–101. [Google Scholar] [CrossRef]
- Wang, W.; Gao, F.; Feng, W.; Wu, Q.; Feng, Y. The native stem holoparasitic Cuscuta japonica suppresses the invasive plant Ambrosia trifida and related mechanisms in different light conditions in northeast China. Front. Plant Sci. 2022, 13. [Google Scholar] [CrossRef]
- Li, Q.; Xiao, H. Study on the allelochemicals of inhibiting Mikania micrantha growth from Cuscuta japonica. Ecology and Environmental Sciences 2012, 21, 434–439. [Google Scholar] [CrossRef]
- Jiang, H.; Fang, F.; Guo, S. Influences of parasitism by Cuscuta japonica plants on eco-physiological characteristics of Solidago canadensis. Acta Ecologica Sinica 2008, 28, 399–406. [Google Scholar] [CrossRef]
- Liu, W.; Li, L.; Xue, Y.; Liang, Q.; Tao, Y.; Wu, H.; Jiang, W. Phenomenon and mechanisms of Sonneratia apetala introduction and spread promoting excessive growth of Derris trifoliata. Forests 2024, 15, 525. [Google Scholar] [CrossRef]
- Facelli, E.; Wynn, N.; Tsang, H.T.; Watling, J.R.; Facelli, J.M. Defence responses of native and invasive plants to the native generalist vine parasite Cassytha pubescens – anatomical and functional studies. Aust. J. Bot. 2020, 68, 300–309. [Google Scholar] [CrossRef]
- Jeschke, W.D.; Räth, N.; Bäumel, P.; Czygan, F.-C.; Proksch, P. Modelling the flow and partitioning of carbon and nitrogen in the holoparasite Cuscuta reflexa Roxb. and its host Lupinus albus L.: I. Methods for estimating net flows. J. Exp. Bot. 1994, 45, 791–800. [Google Scholar] [CrossRef]
- Zagorchev, L.; Stöggl, W.; Teofanova, D.; Li, J.; Kranner, I. Plant parasites under pressure: effects of abiotic stress on the interactions between parasitic plants and their hosts. Int. J. Mol. Sci. 2021, 22, 7418. [Google Scholar] [CrossRef]
- Jhu, M.Y.; Sinha, N.R. Cuscuta species: Model organisms for haustorium development in stem holoparasitic plants. Front. Plant Sci. 2022, 13, 1086384. [Google Scholar] [CrossRef] [PubMed]
- Jeschke, W.D.; Bäumel, P.; Räth, N.; Czygan, F.-C.; Proksch, P. Modelling of the flows and partitioning of carbon and nitrogen in the holoparasite Cuscuta reflexa Roxb. and its host Lupinus albus L.: II. Flows between host and parasite and within the parasitized host. J. Exp. Bot. 1994, 45, 801–812. [Google Scholar] [CrossRef]
- Nikam, S.S.; Pawar, S.B.; Kanade, M.B. Study of Cuscuta reflexa Roxb. with reference to host diverstiy, anatomy and biochemistry. Central European Journal of Experimental Biology 2014, 3, 6–12. [Google Scholar]
- Taiz, L.; Zeiger, E. Plant Physiology, 5th Edition ed.; Sinauer Associates Inc.: Sunderland, 2010. [Google Scholar]
- Wingler, A.; Roitsch, T. Metabolic regulation of leaf senescence: interactions of sugar signalling with biotic and abiotic stress responses. Plant Biol. 2008, 10, 50–62. [Google Scholar] [CrossRef]
- Hock, S.M.; Wiecko, G.; Knezevic, S.Z. Glyphosate dose affected control of field dodder (Cuscuta campestris) in the tropics. Weed Technol. 2008, 22, 151–155. [Google Scholar] [CrossRef]
- Du, X.; Huang, M.; Ma, Y.; Guo, C.; Liang, H.; Tian, H.; Jiang, X.; Nong, G. Occurrence and Growth Dynamics of Semen cuscutae in Gardens of Guangxi and Evaluation of Herbicides for Its Control. Journal of Southern Agriculture 2012, 42, 748–751. [Google Scholar]
- Li, H.; Ouyang, M.; Zeng, T.; Wu, C.; Liu, J.; Liu, Y. The research on the mangrove resources in Dajiaoshan Seaside Park, Nansha, Guangzhou. Journal of Guangdong University of Education 2019, 39, 43–47. [Google Scholar] [CrossRef]
- Sheng, N. Spatial distribution characteristics of Derris trifoliata in mangroves and its influencing factors. Mater Degree, Hainan Normal University, Haikou, China, 21. 20 April.




| Moisture | Nitrogen | Phosphorous | Potassium | Soluble Sugar | Soluble Protein | |
|---|---|---|---|---|---|---|
| HS | 0.000 | 0.000 | 0.000 | 0.001 | 0.003 | 0.000 |
| IC | 0.000 | 0.000 | 0.000 | 0.001 | 0.006 | 0.191 |
| HS × IC | 0.078 | 0.000 | 0.000 | 0.000 | 0.000 | 0.001 |
Disclaimer/Publisher’s Note: The statements, opinions and data contained in all publications are solely those of the individual author(s) and contributor(s) and not of MDPI and/or the editor(s). MDPI and/or the editor(s) disclaim responsibility for any injury to people or property resulting from any ideas, methods, instructions or products referred to in the content. |
© 2025 by the authors. Licensee MDPI, Basel, Switzerland. This article is an open access article distributed under the terms and conditions of the Creative Commons Attribution (CC BY) license (http://creativecommons.org/licenses/by/4.0/).