Submitted:
23 May 2025
Posted:
25 May 2025
You are already at the latest version
Abstract
Keywords:
1. Introduction
2. Materials and Methods
2.1. Study Overview
2.2. Datasets and Image Acquisition
2.2.1. Human Retinal Vessel Dataset
2.2.2. Cattle Retinal Image Dataset
2.3. Retinal Vessel Segmentation Model Development
2.3.1. Initial U-Net Training on Human Dataset
2.3.2. Initial Evaluation on Cattle Retinal Images
2.3.3. Manual Annotation and Model Fine-Tuning
2.4. Clinical Biomarker Extraction from Segmented Images
- Vessel Density: Calculated as the ratio of the area covered by vessel pixels to the total retinal image area.
- Bifurcation Angle: Measured as the average angle formed at vessel branching points, providing insight into vascular branching patterns.
- Tortuosity: Defined as the average ratio of each vessel’s curved path length to the straight-line distance between vessel endpoints, indicating abnormal vascular morphology.
- Branching Density: Quantified as the number of vessel branch points per unit vessel length, indicating vascular complexity.
- Fractal Dimension: Evaluated via the box-counting method, capturing the complexity and spatial pattern of the retinal vascular network.
2.5. Classification Framework Development
2.5.1. Initial Deep Learning Classification
2.5.2. Hybrid Multilayer Perceptron (MLP) Classifier Development
2.6. Model Evaluation and Validation
3. Results
3.1. Overview and Workflow Integration
3.2. Retinal Vessel Segmentation Performance
3.3. Clinical Biomarker Extraction and Analysis
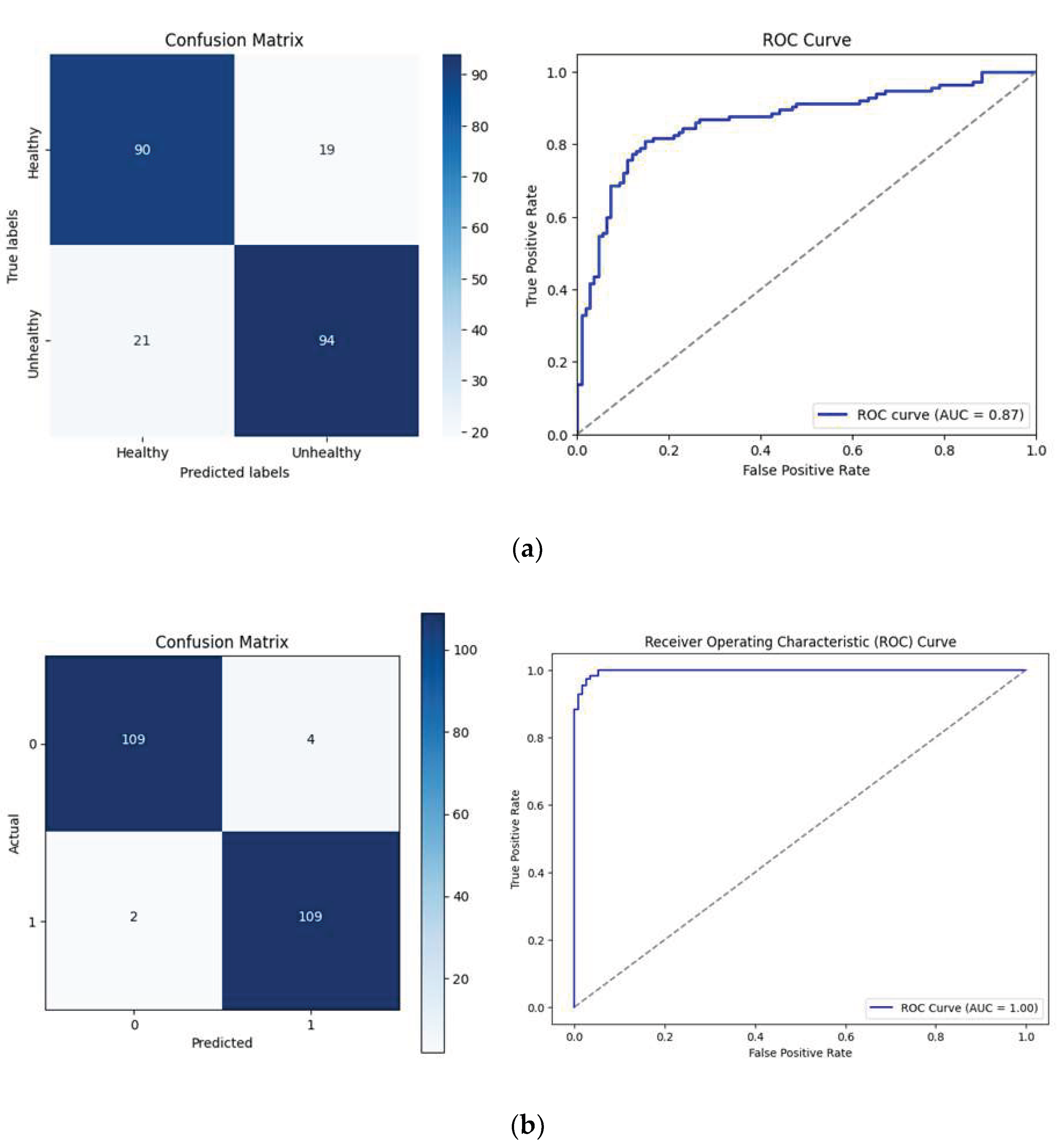
3.4. Direct Deep Learning Classification Performance
3.5. Enhanced Diagnostic Accuracy with Hybrid Classification
3.6. Clinical and Practical Veterinary Implications
4. Discussions
4.1. Limitations and Future Research Directions
4.2. Comparative Analysis of Veterinary Diagnostics
4.3. Broader Veterinary AI Applications
4.4. Critical Insights and Future Prospects
5. Conclusions
Author Contributions
Funding
Data Availability Statement
Conflicts of Interest
Abbreviations
| CVD | Cardiovascular disease |
| AI | Artificial intelligence |
| BCHF | Bovine congestive heart failure |
| CNN | Convolutional neural network |
| MLP | Multilayer perceptron |
| AUC-ROC | Area under the receiver operating characteristic curve |
References
- Buchanan, J.W.; Flagel, L.E.; MacNeil, M.D.; Nilles, A.R.; Hoff, J.L.; Pickrell, J.K.; Raymond, R.C. Variance component estimates, phenotypic characterization, and genetic evaluation of bovine congestive heart failure in commercial feeder cattle. Frontiers in Genetics 2023, 14, 1148301. [Google Scholar] [CrossRef] [PubMed]
- Johnson, B.T.; Amrine, D.E.; Larson, R.L.; Weaber, R.L.; White, B.J. Retrospective analysis of cohort risk factors and feeding phase timing associated with noninfectious heart disease deaths in US feedlot cattle. Translational Animal Science 2021, 5, txab220. [Google Scholar] [CrossRef] [PubMed]
- Moxley, R.A.; Smith, D.R.; Grotelueschen, D.M.; Edwards, T.; Steffen, D.J. Investigation of congestive heart failure in beef cattle in a feedyard at a moderate altitude in western Nebraska. Journal of Veterinary Diagnostic Investigation 2019, 31, 509–522. [Google Scholar] [CrossRef]
- Kukor, I. (2022). Feedlot heart disease: Understanding heart score and its relationships to economically relevant traits. Colorado State University.
- US Meat Animal Research Center. (n.d.). BCHF - Bovine Congestive Heart Failure. U.S. Department of Agriculture. https://www.ars.usda.gov/plains-area/clay-center-ne/marc/bchf/bchf-main/.
- Stern, J. (Ed.). (2023). Advancements in Companion Animal Cardiology, An Issue of Veterinary Clinics of North America: Small Animal Practice (Vol. 53, No. 6). Elsevier Health Sciences. Stern, J. (Ed.).
- Varshney, J.P. (2020). Electrocardiography in veterinary medicine. Springer Singapore.
- Kaffas, A.E.; Vo-Phamhi, J.M.; Griffin, J.F.I.V.; Hoyt, K. Critical advances for democratizing ultrasound diagnostics in human and veterinary medicine. Annual Review of Biomedical Engineering 2024, 26. [Google Scholar] [CrossRef] [PubMed]
- Singh, C.K.; Kumar, A.; Singh, N. An overview on the diagnostic and therapeutic aspects of cardiac diseases in bovine. Journal of Entomology and Zoology Studies 2019, 7, 855–863. [Google Scholar]
- Feitoza, L.F.; White, B.J.; Larson, R.L. Thoracic ultrasound in cattle: Methods, diagnostics, and prognostics. Veterinary Sciences 2025, 12, 16. [Google Scholar] [CrossRef]
- Hennessey, E.; DiFazio, M.; Hennessey, R.; Cassel, N. Artificial intelligence in veterinary diagnostic imaging: A literature review. Veterinary Radiology & Ultrasound 2022, 63, 851–870. [Google Scholar]
- Heaton, M.P.; Harhay, G.P.; Bassett, A.S.; Clark, H.J.; Carlson, J.M.; Jobman, E.E.; Sadd, H.R.; Pelster, M.C.; Workman, A.M.; Kuehn, L.A.; Kalbfleisch, T.S. Association of ARRDC3 and NFIA variants with bovine congestive heart failure in feedlot cattle. F1000Research 2024, 11, 385. [Google Scholar] [CrossRef]
- Grandin, T. Problems with congestive heart failure and lameness that have increased in grain-fed steers and heifers. Animals 2024, 14, 2824. [Google Scholar] [CrossRef]
- Freebern, E. (2022). The genetic architecture of complex traits and diseases in dairy cattle (Doctoral dissertation, University of Maryland, College Park).
- Ghenciu, L.A.; Dima, M.; Stoicescu, E.R.; Iacob, R.; Boru, C.; Hațegan, O.A. Retinal imaging-based oculomics: Artificial intelligence as a tool in the diagnosis of cardiovascular and metabolic diseases. Biomedicines 2024, 12, 2150. [Google Scholar] [CrossRef]
- Arnould, L.; Meriaudeau, F.; Guenancia, C.; Germanese, C.; Delcourt, C.; Kawasaki, R.; Cheung, C.Y.; Creuzot-Garcher, C.; Grzybowski, A. Using artificial intelligence to analyse the retinal vascular network: The future of cardiovascular risk assessment based on oculomics? A narrative review. Ophthalmology and Therapy 2023, 12, 657–674. [Google Scholar] [CrossRef] [PubMed]
- Huang, Y.; Cheung, C.Y.; Li, D.; Tham, Y.C.; Sheng, B.; Cheng, C.Y.; Wang, Y.X.; Wong, T.Y. AI-integrated ocular imaging for predicting cardiovascular disease: Advancements and future outlook. Eye 2024, 38, 464–472. [Google Scholar] [CrossRef] [PubMed]
- Bagardi, M.; Locatelli, C.; Zanaboni, A.; Galizzi, A.; Malchiodi, D.; Brambilla, P.G. Multiple retrospective analysis of survival and evaluation of cardiac death predictors in a population of dogs affected by degenerative mitral valve disease in ACVIM class C treated with different therapeutic protocols. Polish Journal of Veterinary Sciences 2021. [Google Scholar] [CrossRef] [PubMed]
- Ranchod, T.M. Systemic retinal biomarkers. Current Opinion in Ophthalmology 2021, 32, 439–444. [Google Scholar] [CrossRef]
- Cihan, P.; Saygılı, A.; Ermutlu, C.Ş.; Aydın, U.; Aksoy, Ö. AI-aided cardiovascular disease diagnosis in cattle from retinal images: Machine learning vs. deep learning models. Computers and Electronics in Agriculture 2024, 226, 109391. [Google Scholar] [CrossRef]
- Cihan, P.; Saygılı, A.; Akyüzlü, M.; Özmen, N.E.; Ermutlu, C.Ş.; Aydın, U.; Yılmaz, A.; Aksoy, Ö. Performance of machine learning methods for cattle identification and recognition from retinal images. Applied Intelligence 2025, 55, 1–20. [Google Scholar] [CrossRef]
- Li, N.; Kondo, N.; Ogawa, Y.; Shiraga, K.; Shibasaki, M.; Pinna, D.; Fukushima, M.; Nagaoka, S.; Fujiura, T.; De, X.; Suzuki, T. Fundus camera-based precision monitoring of blood vitamin A level for Wagyu cattle using deep learning. Scientific Reports 2025, 15, 4125. [Google Scholar] [CrossRef]
- Ertaş, T.D.; Kahvecioğlu, K.O.; Erdoğan, S. Morphological aspects and microscopic analyses of fibrous tunic and uveal components in bovine eye. Microscopy and Microanalysis 2022, 28, 1794–1807. [Google Scholar] [CrossRef]
- Dubielzig, R.R.; Ketring, K.L.; McLellan, G.J.; Albert, D.M. (2010). Veterinary ocular pathology: A comparative review.
- Wong, D.Y.; Lam, M.C.; Ran, A.; Cheung, C.Y. Artificial intelligence in retinal imaging for cardiovascular disease prediction: Current trends and future directions. Current Opinion in Ophthalmology 2022, 33, 440–446. [Google Scholar] [CrossRef]
- Tseng, R.M.W.W.; Rim, T.H.; Cheung, C.Y.; Wong, T.Y. (2021). Artificial intelligence using the eye as a biomarker of systemic risk. In Artificial Intelligence in Ophthalmology (pp. 243–255).
- Rezk, N.G.; Alshathri, S.; Sayed, A.; El-Din Hemdan, E.; El-Behery, H. XAI-augmented voting ensemble models for heart disease prediction: A SHAP and LIME-based approach. Bioengineering 2024, 11, 1016. [Google Scholar] [CrossRef]
- Samaras, A.D.; Moustakidis, S.; Apostolopoulos, I.D.; Papageorgiou, E.; Papandrianos, N. Uncovering the black box of coronary artery disease diagnosis: The significance of explainability in predictive models. Applied Sciences 2023, 13, 8120. [Google Scholar] [CrossRef]
- Murray, O.N.; Liu, T.; Zhou, Y.; Williamson, D.; Struyven, R.; Wagner, S.; Balaskas, K.; Borja, M.C.; Petzold, A.; Rahi, J.; Denniston, A.K. Associations between COPD and retinal vessel density, fractal dimension, and tortuosity density. Investigative Ophthalmology & Visual Science 2023, 64, 249–249. [Google Scholar]
- Chew, E.Y.; Burns, S.A.; Abraham, A.G.; Bakhoum, M.F.; Beckman, J.A.; Chui, T.Y.; Finger, R.P.; Frangi, A.F.; Gottesman, R.F.; Grant, M.B.; Hanssen, H. Standardization and clinical applications of retinal imaging biomarkers for cardiovascular disease: A roadmap from an NHLBI workshop. Nature Reviews Cardiology 2025, 22, 47–63. [Google Scholar] [CrossRef] [PubMed]
- Ibrahim, A.W. (2022). Retina blood vessel dataset [Data set]. Kaggle. https://www.kaggle.com/datasets/abdallahwagih/retina-blood-vessel.








Disclaimer/Publisher’s Note: The statements, opinions and data contained in all publications are solely those of the individual author(s) and contributor(s) and not of MDPI and/or the editor(s). MDPI and/or the editor(s) disclaim responsibility for any injury to people or property resulting from any ideas, methods, instructions or products referred to in the content. |
© 2025 by the authors. Licensee MDPI, Basel, Switzerland. This article is an open access article distributed under the terms and conditions of the Creative Commons Attribution (CC BY) license (http://creativecommons.org/licenses/by/4.0/).