1. Introduction
The tennis serve is among tennis's most technically and physically demanding strokes, requiring both refined technical proficiency and substantial physical strength and coordination across multiple body segments [
1,
2]. Serving effectively relies on the coordinated movement of multiple body segments (feet, lower limbs, trunk, shoulder, elbow, wrist, and hand), all contributing to an optimized energy transfer from the ground through the kinetic chain [
3,
4,
5,
6,
7,
8]. At the professional level, high-velocity serves are essential for competitive success, as they place opponents in defensive positions, thereby reducing their ability to return effectively [
6,
9,
10,
11]. Accordingly, understanding the key biomechanical and physical factors contributing to serve speed is crucial for performance improvement [
12,
13,
14,
15].
Among these physical factors, shoulder strength is pivotal for serve speed, particularly involving the internal rotators. Research consistently demonstrates that both isometric and isokinetic strength of the shoulder’s internal and external rotators significantly influence racquet head speed, a primary factor underlying powerful serves [
4,
5]. During the acceleration phase, the internal rotators contribute substantially to upper-arm angular velocity, thereby affecting ball speed [
5]. In addition, both concentric and eccentric shoulder muscle actions are critical during both the acceleration and deceleration phases, facilitating racquet control and supporting injury prevention [
16,
17].
The relationship between shoulder strength and serve speed is well-documented among elite players, with studies indicating that higher isometric and isokinetic strength correlates with faster serve speeds (2). However, studies on nationally ranked players and junior athletes have produced mixed results. For example, one study found no significant correlation between maximum isokinetic shoulder strength and serve speed among nationally ranked players [
3], while another identified muscular strength, power, and stiffness as crucial predictors of stroke velocity in junior players [
9]. Additionally, some research on junior athletes has reported no significant relationship between maximum isokinetic strength of internal and external shoulder rotations and serve velocity [
4]. This variation in findings suggests that junior players, who are still developing physically, may be influenced by factors different from those of professional players when it comes to achieving high serve velocities. Consequently, the literature on the impact of isokinetic shoulder strength, particularly concentric and eccentric strength of rotators, on serve speed in younger players remains limited and warrants further exploration.
Furthermore, grip strength has also been identified as an important contributor to serve mechanics, influencing racquet control and force application during the serve [
18,
19]. Additionally, longer participation in tennis has been correlated with increased grip strength, highlighting the impact of sustained training on this attribute [
20], and studies examining the effects of resistance training on grip strength in tennis players aged 15–25 have shown significant improvements in grip strength following a three-week intervention using hand grippers and therapeutic putty, supporting the efficacy of targeted grip training for enhancing tennis performance [
21]. Given these findings, further examination of the relationship between grip strength and serve speed in junior players is particularly relevant, as it may provide insights into their development and inform targeted strength training programs to optimize performance.
Given the established benefits of such training for elite players, understanding its potential effects on developing athletes could provide key insights for refining coaching and training methodologies tailored to junior athletes' needs [
3]. Regarding biomechanical factors, the analyses of the serve have identified key phases (loading, cocking, acceleration, contact, deceleration, and finish) in which strength and coordination play a critical role [
6]. For instance, lower body techniques during the loading phase (e.g., foot-back or foot-up styles) affect the vertical force initiation of the kinetic chain [
4]. In the acceleration phase, the shoulder’s internal and trunk rotation primarily contribute to racquet head speed and serve velocity. The pronounced internal shoulder rotation at this stage underscores the importance of shoulder strength, especially in the rotator cuff and related muscles, for generating serve speed [
5,
22]. These biomechanical insights can provide a broader understanding of how strength is important for higher serve speed, particularly emphasizing the role of internal shoulder rotation during the acceleration phase, which is vital for optimizing racquet head speed. Furthermore, the role of body segment masses, such as arm, leg, and trunk masses, has garnered attention in biomechanical analyses. These segments contribute to the kinetic chain by influencing the generation and transfer of force throughout the serve. Segmental mass affects momentum, with greater mass potentially offering biomechanical advantages in power generation during the acceleration phase, particularly by enhancing energy transfer through the trunk and generating additional force through the arm and leg during racquet acceleration [
23,
24]. Therefore, we included selected segmental masses in our analysis to better understand their relationship with serve speed in junior tennis players.
Despite the well-established role of shoulder strength in serving speed among elite players, the specific impact of isokinetic concentric and eccentric shoulder strength training on junior players remains underexplored. The methodology of this study, which includes isokinetic testing of shoulder rotators at 210°/s and 300°/s, represents a contribution to understanding how strength at high velocities correlates with serve speed in junior players. Additionally, grip strength, height and body segment masses may offer valuable insights into serve mechanics, given their potential contributions to force generation and control. Addressing this gap could enable the development of more effective, appropriate strength programs for junior players. Therefore, this study investigates the relationship between serve speed and isokinetic concentric and eccentric shoulder strength, as well as body mass, segmental masses, height, and grip strength in junior tennis players. We hypothesize that serve speed in junior tennis players is significantly influenced by the maximum isokinetic concentric strength of the shoulder's internal and external rotators, with this relationship mediated by arm and trunk lean mass. Additionally, we hypothesize that height moderates this relationship, such that taller players exhibit a stronger correlation between shoulder strength and serve speed.
3. Results
Table 1 presents the descriptive statistics for the performance metrics of isokinetic net moment, tennis serve speed, grip strength, and segment masses. The results indicate a range of means and variability, with internal shoulder rotation eccentrically at 210°/s showing the highest standard deviation (SD = 8.2 Nm) and arm mass the lowest (SD = 0.4 kg). Confidence intervals for the means are relatively narrow across variables, indicating consistent measurements among participants. The Shapiro-Wilk test results demonstrate that most variables do not significantly deviate from normality (
p > 0.05), except for external shoulder rotation eccentrically at 210°/s (
p = 0.01), which indicates a non-normal distribution. This result and a small number of participants suggests that non-parametric methods may be more appropriate.
3.1. Correlation Analysis Between Serve Speed and Performance Metrics or Segment Mass
Spearman’s correlation coefficient was used to determine the associations between serve speed and selected variables (
Table 2). Moderate positive correlations were revealed between serve speed and internal concentric shoulder rotation at 210°/s, external concentric shoulder rotation at 210°/s, external concentric shoulder rotation at 300°/s, arm mass, trunk mass, leg mass and height. Additionally, the lean mass of the arm and body mass showed strong positive associations, highlighting the role of muscle mass in serve performance. Spearman’s correlation for internal eccentric shoulder rotation at 210°/s and external eccentric shoulder rotation at 210°/s revealed weak positive but non-significant relationships. Weak correlations were also observed for grip strength.
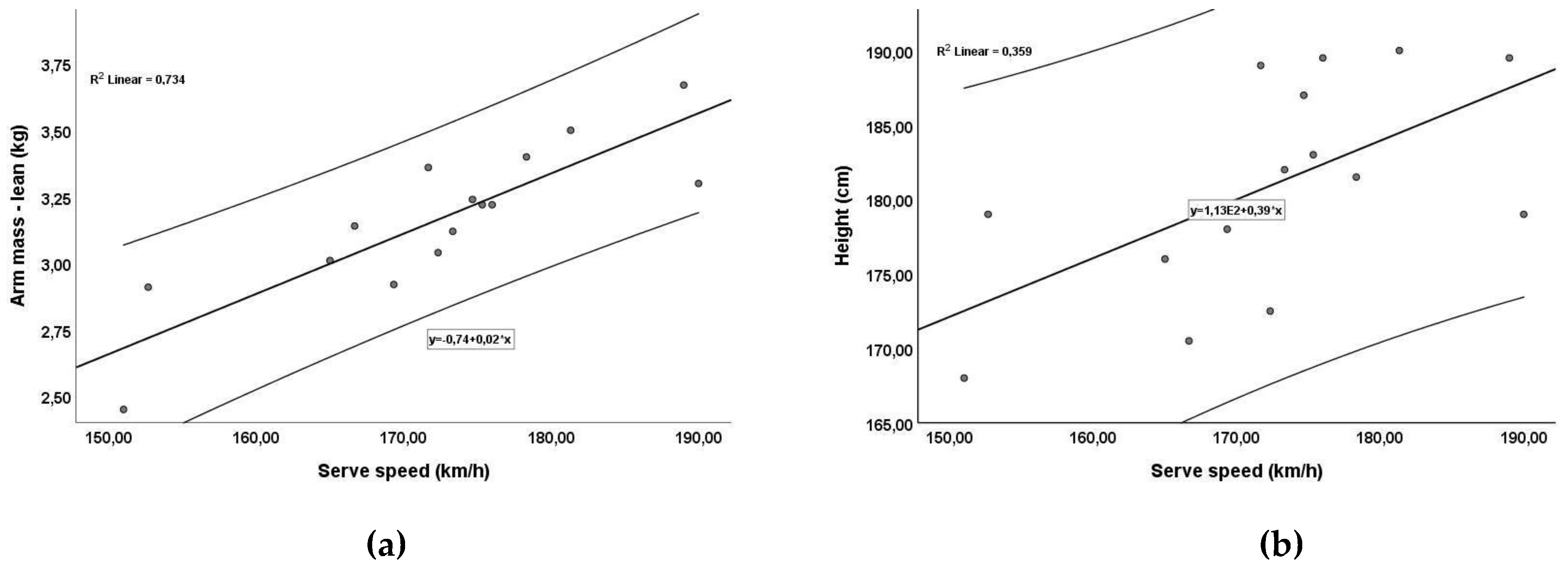
3.2. Graphical Representation of Findings
Several key findings emerged from the correlation analysis.
Figure 2 illustrates the correlation between serve speed and lean arm mass (
Figure 2a) and between serve speed and player height (
Figure 2b). The regression lines suggest positive relationships, indicating that greater arm mass and height are associated with faster serve speeds. The stronger relationship observed between serve speed and lean arm mass (R² = 0.734, R²
adjust = 0.713) compared to height (R² = 0.359, R²
adjust = 0.309) highlights the importance of arm mass for serve performance. However, this finding is closely tied to player height, as it is logical that taller players have longer arms, which naturally results in greater arm mass. Therefore, the combined effect of height and lean arm mass likely contributes to the observed increase in serve speed, as longer limbs provide a mechanical advantage for generating higher velocities.
Figure 3 illustrates the relationships between serve speed and isokinetic internal shoulder rotation (Figure 3a) and external shoulder rotation (Figure 3b), both measured concentrically at 210°/s. The regression lines in both graphs show positive relationships, suggesting that greater isokinetic strength in the shoulder rotators is associated with faster serve speeds. The relationship between serve speed and external rotation strength (R² = 0.507, R²adjust = 0.469) was similar to internal rotation strength (R² = 0.495, R²adjust = 0.456). This highlights the important role of external rotators in stabilizing and decelerating the arm during the serving motion, while internal rotators contribute to the acceleration phase.

3.3. Mediation Analysis
The mediation analysis assessed whether lean arm mass mediates the relationship between isokinetic concentric shoulder strength and serve speed. The first regression model showed that isokinetic internal shoulder strength concentrically at 210°/s positively predicted lean arm mass (β = 0.0197, p = 0.079), although the relationship was not statistically significant. The second regression confirmed that shoulder strength significantly predicted serve speed (β = 1.1192, p = 0.003). The third regression, which included both shoulder strength and lean arm mass, demonstrated that both predictors contributed significantly to serve speed, with shoulder strength (β = 0.6170, p = 0.010) and lean arm mass (β = 25.5472, p < 0.001). Bootstrap analysis (1000 iterations) estimated the indirect effect of lean arm mass as 0.502, with a 95% confidence interval ranging from -0.1564 to 1.1450. These results suggest partial mediation, but the indirect effect was not statistically significant, indicating that lean arm mass may contribute to the relationship between shoulder strength and serve speed, though this effect could not be confirmed with sufficient confidence.
3.4. Moderation Analysis
The moderation analysis tested whether height moderated the relationship between isokinetic concentric shoulder strength (210°/s) and serve speed. Interaction terms (height × shoulder strength) were included in regression models, but none of the terms were statistically significant (p > 0.05). Therefore, the results do not support height as a significant moderator in the relationship between shoulder strength and serve speed.
3.5. Summary of Findings
A moderate positive correlation was observed between serve speed and concentric external shoulder rotation strength at 210°/s (ρ = 0.71, p = 0.003). Concentric internal shoulder rotation strength at 210°/s also showed a significant positive correlation with serve speed, though to a slightly lesser extent (ρ = 0.61, p = 0.016). A strong positive correlation was found between height and body mass (ρ = 0.84, p = 0.0001), as well as between height and lean body mass components such as Arm mass lean (ρ = 0.85, p = 0.001). However, no significant correlation was found between height and concentric internal shoulder rotation strength (ρ = 0.01, p = 0.985) and the relationship between height and concentric external shoulder rotation strength was weak and not statistically significant (ρ = 0.21, p = 0.450).
The mediation analysis indicated that lean arm mass partially mediates the relationship between concentric internal shoulder rotation strength and serve speed. The indirect effect of lean arm mass on serve speed was estimated to be 0.502 (95% CI: -0.156 to 1.145), suggesting that lean arm mass contributes significantly to the relationship, although the mediation was not statistically significant. Additionally, the moderation analysis showed that height does not significantly moderate the relationship between shoulder strength and serve speed, as interaction terms were not statistically significant (p > 0.05).
These findings indicate that while height and related mass variables contribute to serve speed through structural advantages (longer levers and greater arm mass), isokinetic shoulder strength, particularly concentric external or internal rotation, remains an independent predictor of serve speed. Furthermore, lean arm mass may enhance the relationship between shoulder strength and serve speed, though the effect appears limited in this sample.
4. Discussion
The tennis serve is widely regarded as one of the sport’s most physically demanding skills, requiring precise coordination, technical mastery, and substantial muscular strength across multiple body segments [
1,
2]. Shoulder strength, particularly in the internal and external rotators, is pivotal in generating the high velocities needed for effective serves [
4,
5]. Previous studies have demonstrated that concentric and eccentric strength significantly impact racquet head speed among elite players, with stronger shoulders contributing to higher ball velocities and greater serve efficiency [
5,
12]. However, findings related to junior players have been less consistent, as physical development and training maturity vary significantly within this group [
3,
9].
Our findings highlight the importance of concentric internal and external shoulder rotation strength in junior tennis players, demonstrating their significant contribution to serve speed. External rotators play a critical role in stabilizing the shoulder during the deceleration phase while also supporting force generation during the acceleration phase of the serve. Internal rotators, as the primary drivers of arm acceleration, contribute directly to the transfer of energy through the kinetic chain. These findings underscore the complementary roles of these muscle groups in optimizing serve performance, reinforcing the need for balanced strength development [
14,
34]. Regarding anthropometric variables, height was moderately associated with serve speed but showed no significant relationship with shoulder strength. Instead, the relationship between height and performance appears to be mediated by body mass, particularly lean arm mass, which was associated with height and serve speed. Mediation analysis suggested that lean arm mass partially explains the relationship between shoulder strength and serve speed, highlighting its role in amplifying the biomechanical advantages of shoulder strength. However, the mediation effect was not statistically significant, indicating that shoulder strength remains the primary independent predictor of serve speed.
In terms of height, it did not significantly moderate the relationship between shoulder strength and serve speed. These results suggest that while taller players benefit from structural advantages such as longer levers and greater arm mass, the influence of shoulder strength on serve speed remains independent of height. The intertwined nature of anthropometric characteristics, such as lean arm mass and height, provides biomechanical advantages that complement the contributions of isokinetic shoulder strength. These findings emphasize the multifaceted nature of serve performance, combining muscular strength and anthropometric factors.
4.1. Hypothesis
We hypothesized that serve speed in junior tennis players would be significantly influenced by the maximum isokinetic concentric strength of the shoulder's internal and external rotators, with this relationship mediated by lean arm mass. Additionally, we hypothesized that height would moderate this relationship, such that taller players exhibit a stronger correlation between shoulder strength and serve speed. This hypothesis was partially supported. Concentric internal and external shoulder rotation strength were both significantly associated with serve speed, confirming their role as independent predictors. Mediation analysis indicated that lean arm mass partially mediates the relationship between concentric internal shoulder rotation strength (210°/s) and serve speed, with an estimated indirect effect of 0.502 (95% CI: -0.156 to 1.145). However, this mediation effect was not statistically significant, suggesting that while lean arm mass contributes to the relationship, it does not fully explain it. Contrary to our hypothesis, height did not significantly moderate the relationship between shoulder strength and serve speed, as interaction terms involving height were not statistically significant. These findings suggest that while structural advantages associated with height and lean body mass may enhance serve performance, the influence of isokinetic shoulder strength on serve speed operates independently of height.
4.2. Comparison with Previous Studies
Previous studies on elite players have shown the importance of concentric and eccentric shoulder strength, particularly in the external rotators, in achieving high serve velocities [
5,
12]. Eccentric strength is often emphasized due to its role in deceleration and injury prevention, especially at higher racquet velocities, as seen in elite-level athletes with extensive training adaptations [
13]. Johansson et al. [
35] found that eccentric external rotation strength and intermuscular ratios (eccER/IR) are lower in adolescent players competing at regional levels compared to national-level players, highlighting the importance of eccentric strength as athletes progress. While eccentric strength is emphasized in studies such as Johansson et al. [
35] for its critical role in deceleration and movement control, our results suggest that concentric strength plays a more prominent role in junior players' serve performance. Additionally, our findings reveal that concentric shoulder strength in junior players is strongly associated with serve speed, specifically at higher testing velocities, which aligns with the results of Olmez et al. [
31]. Such methodological differences, as outlined by Ellenbecker [
30], may influence the observed relationships. For example, Johansson et al. [
35] focused on isometric and eccentric strength ratios normalized to body mass, whereas our study measured maximal concentric and eccentric strength at high velocities using isokinetic protocols. Overall, our findings align with studies highlighting the importance of shoulder rotator strength and balance in optimizing serve performance and preventing injuries in tennis players [
9,
16,
17,
23,
31,
35,
36,
37,
38].
In addition to shoulder strength, anthropometric factors such as height and body mass emerged as critical determinants of serve speed. The relationship between height and serve velocity in this study corroborates with findings by Bonato et al. [
5] and Sanchez-Pay et al. [
24], who identified the relationship between height or body mass and serve velocity in professional tennis players. Taller players may initially benefit from biomechanical advantages such as longer levers, which allow for higher racquet velocities [
39]. However, height did not correlate significantly with shoulder strength, indicating that its contribution to serve speed operates independently of muscular factors. Lean arm mass, strongly associated with height and serve speed, was identified as a key variable linking anthropometric characteristics to performance, consistent with previous research demonstrating the importance of limb mass in force generation during high-speed movements [
9].
Our findings align with these perspectives, as the association between height and serve speed in our junior players likely reflects early-stage exploitation of these biomechanical advantages. Over time, as players mature and undergo strength training, the contribution of neuromuscular factors may become increasingly significant. This underscores the importance of integrating physical development and skill refinement into training programs, particularly during the critical developmental stages. Such an integrated approach could help players maximize their biomechanical potential while addressing the physical demands of the sport.
4.3. Integration of the Study Findings
The findings emphasize the importance of balanced strength development in both internal and external rotators to optimize serve performance. While external rotators play a key role in stabilizing the shoulder and supporting deceleration, internal rotators are the primary drivers of arm acceleration during the serve. Training programs for junior players should include exercises targeting concentric strength in both muscle groups, such as resisted shoulder rotations. This aligns with the findings demonstrated that targeted concentric and eccentric shoulder strength training can improve serve velocity in tennis players. Additionally, the strong relationship between lean arm mass and serve speed suggests that strength training to increase muscle mass in the upper extremities could benefit players with less favorable anthropometric profiles. As height did not moderate the relationship between shoulder strength and serve speed, this indicates that lean arm mass mediates the biomechanical advantages. Taller players, who naturally benefit from structural advantages such as longer levers, may need to focus on maximizing their biomechanical potential through technique optimization and stabilizing shoulder strength. In contrast, shorter players may rely more heavily on acceleration strength to offset the disadvantages of shorter levers, highlighting the need for individualized training programs. Future research could explore the potential for asymmetry in shoulder rotator strength. Asymmetry could influence energy transfer efficiency during the serve, contributing to the development of individualized rehabilitation and training programs. Investigating the longitudinal effects of strength training, particularly at high angular velocities, may provide further insights into optimizing serve performance in junior tennis athletes.
4.4. Limitations
This study has several limitations that should be considered. First, the small sample size (15 players) may limit the generalizability of the findings to a broader population of junior tennis players. Future research with more extensive and diverse samples, including female players and players of different ages and skill levels, must confirm these findings. Second, the cross-sectional design prevents us from drawing causal inferences about the relationship between shoulder strength, anthropometric factors, and serve velocity. Longitudinal studies are needed to examine how changes in these factors over time affect serve performance. Third, while isokinetic testing provides valuable insights into shoulder strength, it does not fully replicate the dynamic and explosive nature of serving in a match environment. Lastly, this study did not account for all potential factors influencing serve speed, such as serving technique, playing surface, and individual player characteristics like flexibility, coordination, or neuromuscular control. Despite these limitations, this study provides valuable insights into the factors contributing to serve performance in junior tennis players.
Author Contributions
Conceptualization, M.V. and P.S.; methodology, M.V., J.V. and J.M.; software, J.V. and M.V.; validation, M.V. and P.S.; formal analysis, M.V. and J.M.; investigation, J.V. and M.V.; resources, M.V. and J.V.; data curation, J.V. and M.V.; writing—original draft preparation, M.V.; writing—review and editing, M.V. and J.M.; visualization, M.V. and J.M.; supervision, P.S.; project administration, J.V. and M.V.; funding acquisition, P.S. All authors have read and agreed to the published version of the manuscript.