Submitted:
19 August 2024
Posted:
21 August 2024
You are already at the latest version
Abstract
Keywords:
1. Introduction
2. Materials and Methods
2.1. Overall Design
2.2. Data Processing
2.3. Sub-Technique Classification
2.4. Analysis of Skiing Characteristics
3. Results
3.1. The Typical Waveform Pattern of Each Sub-Technique
3.2. Validity of Sub-Technique Classification Based on Waveform Patterns
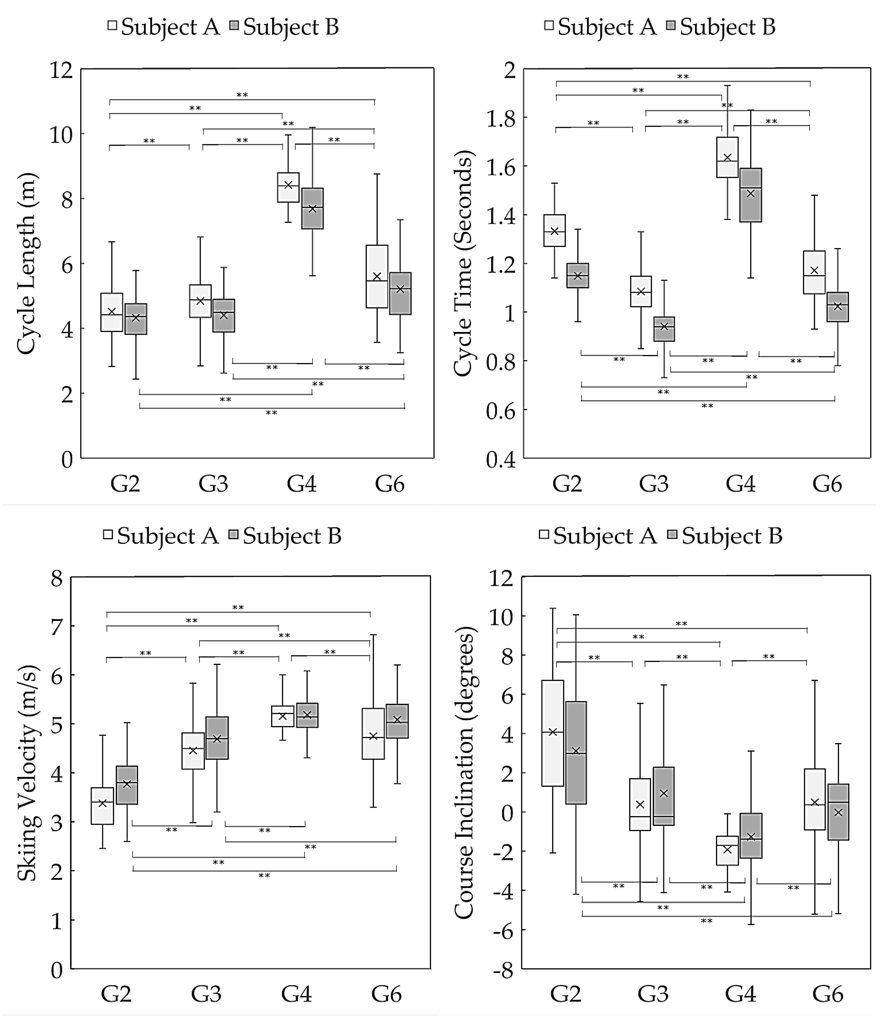
3.3. Characteristics of Each Sub-Technique
4. Discussion
5. Conclusions
Author Contributions
Funding
Institutional Review Board Statement
Informed Consent Statement
Data Availability Statement
Acknowledgments
Conflicts of Interest
References
- FIS., The International Ski Competition Rules (ICR) October 2023. 2023.
- Nilsson, J.; Tveit, P.; Eikrehagen, O., Effects of speed on temporal patterns in classical style and freestyle cross-country skiing. Sports Biomech. 2004, 3, (1), 85-107.
- Andersson, E.; Supej, M.; Sandbakk, O.; Sperlich, B.; Stoggl, T.; Holmberg, H. C., Analysis of sprint cross-country skiing using a differential global navigation satellite system. Eur. J. Appl. Physiol. 2010, 110, (3), 585-95.https://www.ncbi.nlm.nih.gov/pubmed/20571822. [CrossRef]
- Stoggl, T.; Lindinger, S.; Muller, E., Evaluation of an upper-body strength test for the cross-country skiing sprint. Med. Sci. Sports Exerc. 2007, 39, (7), 1160-9.https://www.ncbi.nlm.nih.gov/pubmed/17596785. [CrossRef]
- Carlsson M, C. T.; D, H.; T, T.; C, M.; M., T., Validation of physiological tests in relation to competitive performances in elite male distance cross-country skiing. J Strength Cond Res. 2012, 26(6), 1496-1504.
- Sunde, A.; Johansen, J. M.; Gjora, M.; Paulsen, G.; Braten, M.; Helgerud, J.; Storen, O., Stronger Is Better: The Impact of Upper Body Strength in Double Poling Performance. Front. Physiol. 2019, 10, 1091.https://www.ncbi.nlm.nih.gov/pubmed/31507453. [CrossRef]
- Sakurai, Y.; Fujita, Z.; Ishige, Y., Automatic Identification of Subtechniques in Skating-Style Roller Skiing Using Inertial Sensors. Sensors (Basel) 2016, 16, (4).https://www.ncbi.nlm.nih.gov/pubmed/27049388. [CrossRef]
- Shang, L.; Sandbakk, O.; Shi, R.; Chen, X.; Talsnes, R. K., Analysis of a Skating Time-Trial Competition and Associated Performance-Determinants in Cross-Country Skiers. Int. J. Environ. Res. Public Health 2022, 19, (18).https://www.ncbi.nlm.nih.gov/pubmed/36141844. [CrossRef]
- Shang, L.; Shi, R.; Chen, X.; Staunton, C. A., Performance and micro-pacing in sprint cross-country skiing: A comparison of individual time-trial and head-to-head race formats. J. Sports Sci. 2024, 42, (6), 490-497.https://www.ncbi.nlm.nih.gov/pubmed/38594887. [CrossRef]
- Fasel, B.; Spörri, J.; Gilgien, M.; Boffi, G.; Chardonnens, J.; Müller, E.; Aminian, K., Three-Dimensional Body and Centre of Mass Kinematics in Alpine Ski Racing Using Differential GNSS and Inertial Sensors. Remote Sensing 2016, 8, (8). [CrossRef]
- Takeda, M.; Miyamoto, N.; Endo, T.; Ohtonen, O.; Lindinger, S.; Linnamo, V.; Stoggl, T., Cross-Country Skiing Analysis and Ski Technique Detection by High-Precision Kinematic Global Navigation Satellite System. Sensors (Basel) 2019, 19, (22).https://www.ncbi.nlm.nih.gov/pubmed/31766257. [CrossRef]
- Gloersen, O.; Gilgien, M., Classification of Cross-Country Ski Skating Sub-Technique Can Be Automated Using Carrier-Phase Differential GNSS Measurements of the Head's Position. Sensors (Basel) 2021, 21, (8).https://www.ncbi.nlm.nih.gov/pubmed/33921408. [CrossRef]
- Huggins, R. A.; Giersch, G. E. W.; Belval, L. N.; Benjamin, C. L.; Curtis, R. M.; Sekiguchi, Y.; Peltonen, J.; Casa, D. J., The Validity and Reliability of Global Positioning System Units for Measuring Distance and Velocity During Linear and Team Sport Simulated Movements. The Journal of Strength & Conditioning Research 2020, 34, (11), 3070-3077.https://journals.lww.com/nsca-jscr/fulltext/2020/11000/the_validity_and_reliability_of_global_positioning.8.aspx. [CrossRef]
- Miyamoto, N.; Morimoto, T.; Mori, S.; Miura, T.; Okushi, K.; Bonnaud, P.; Miura, R.; Suzuki, A.; Hatakeyama, N.; Isomura, A.; Miyamoto, A.; Hariyama, M. In A portable post-processed kinematic GNSS receiver for advanced ski measurements, Aachen, 2018; Meyer & Meyer: Aachen, 2018; pp 386-393.
- Sollie, O.; Gloersen, O.; Gilgien, M.; Losnegard, T., Differences in pacing pattern and sub-technique selection between young and adult competitive cross-country skiers. Scand. J. Med. Sci. Sports 2021, 31, (3), 553-563.https://www.ncbi.nlm.nih.gov/pubmed/33231327. [CrossRef]
- Sandbakk, O.; Bucher Sandbakk, S.; Supej, M.; Holmberg, H. C., The velocity and energy profiles of elite cross-country skiers executing downhill turns with different radii. Int. J. Sports Physiol. Perform. 2014, 9, (1), 41-7.https://www.ncbi.nlm.nih.gov/pubmed/24408350. [CrossRef]
- Meyer, F.; Kocbach, J.; Tjonnas, J.; Danielsen, J.; Seeberg, T. M.; Austeng, A.; Sandbakk, O., Temporal and kinematic patterns distinguishing the G2 from the G4 skating sub-technique. Sports Biomech. 2021, 1-18.https://www.ncbi.nlm.nih.gov/pubmed/34384336. [CrossRef]
- Meyer, F.; Seeberg, T. M.; Kocbach, J.; Danielsen, J.; Sandbakk, O.; Austeng, A., Validation of temporal parameters within the skating sub-techniques when roller skiing on a treadmill, using inertial measurement units. PLoS One 2022, 17, (8), e0270331.https://www.ncbi.nlm.nih.gov/pubmed/35981009. [CrossRef]











| (a) | |||||||||
| Subject A | GNSS classification | ||||||||
| G2 | G3 | G4 | G6 | Others | None | Total | Accuracy (%) | ||
| Video classification |
G2 | 143 | 0 | 0 | 1 | 0 | 0 | 144 | 99.3 |
| G3 | 0 | 386 | 2 | 4 | 2 | 2 | 396 | 97.5 | |
| G4 | 0 | 0 | 50 | 0 | 1 | 0 | 51 | 98.0 | |
| G6 | 0 | 2 | 2 | 95 | 0 | 1 | 100 | 95.0 | |
| Others | 0 | 0 | 2 | 1 | 1 | 0 | 4 | 25.0 | |
| None | 0 | 1 | 0 | 0 | 0 | 1 | |||
| Total | 143 | 389 | 56 | 101 | 4 | 3 | |||
| (b) | |||||||||
| Subject B | GNSS classification | ||||||||
| G2 | G3 | G4 | G6 | Others | None | Total | Accuracy (%) | ||
| Video classification |
G2 | 207 | 0 | 1 | 5 | 0 | 0 | 213 | 97.2 |
| G3 | 0 | 272 | 1 | 2 | 1 | 1 | 277 | 98.2 | |
| G4 | 0 | 0 | 128 | 1 | 2 | 1 | 132 | 97.0 | |
| G6 | 1 | 1 | 1 | 78 | 0 | 2 | 83 | 94.0 | |
| Others | 0 | 0 | 0 | 0 | 1 | 3 | 4 | 25.0 | |
| None | 0 | 0 | 0 | 1 | 0 | 1 | |||
| Total | 208 | 273 | 131 | 87 | 4 | 7 | |||
Disclaimer/Publisher’s Note: The statements, opinions and data contained in all publications are solely those of the individual author(s) and contributor(s) and not of MDPI and/or the editor(s). MDPI and/or the editor(s) disclaim responsibility for any injury to people or property resulting from any ideas, methods, instructions or products referred to in the content. |
© 2024 by the authors. Licensee MDPI, Basel, Switzerland. This article is an open access article distributed under the terms and conditions of the Creative Commons Attribution (CC BY) license (http://creativecommons.org/licenses/by/4.0/).