Submitted:
09 August 2024
Posted:
13 August 2024
Read the latest preprint version here
Abstract
Keywords:
1. Introduction
2. Materials and Methods
2.1. Materials
2.2. Analytical Methods
2.3. FEA Method
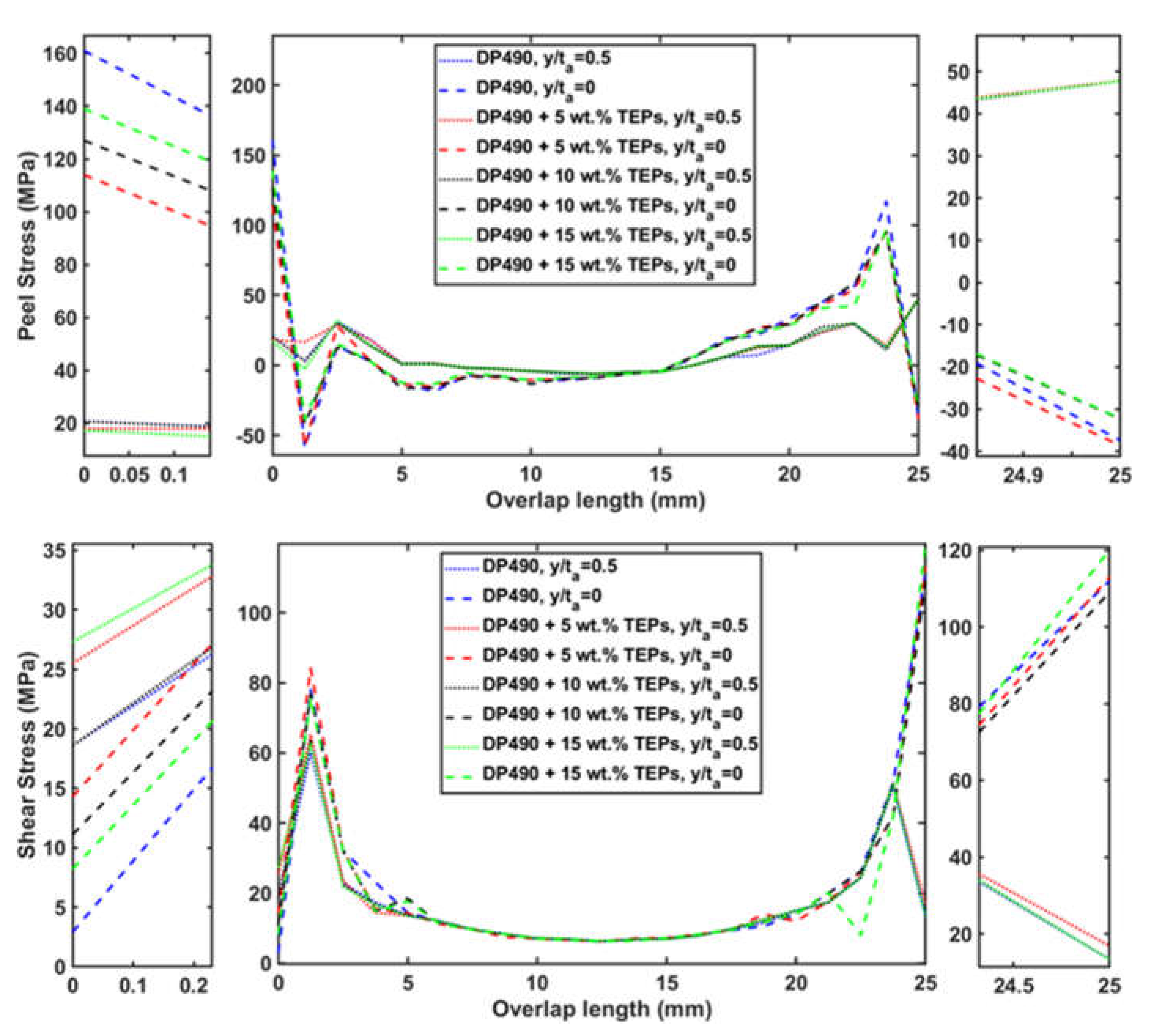
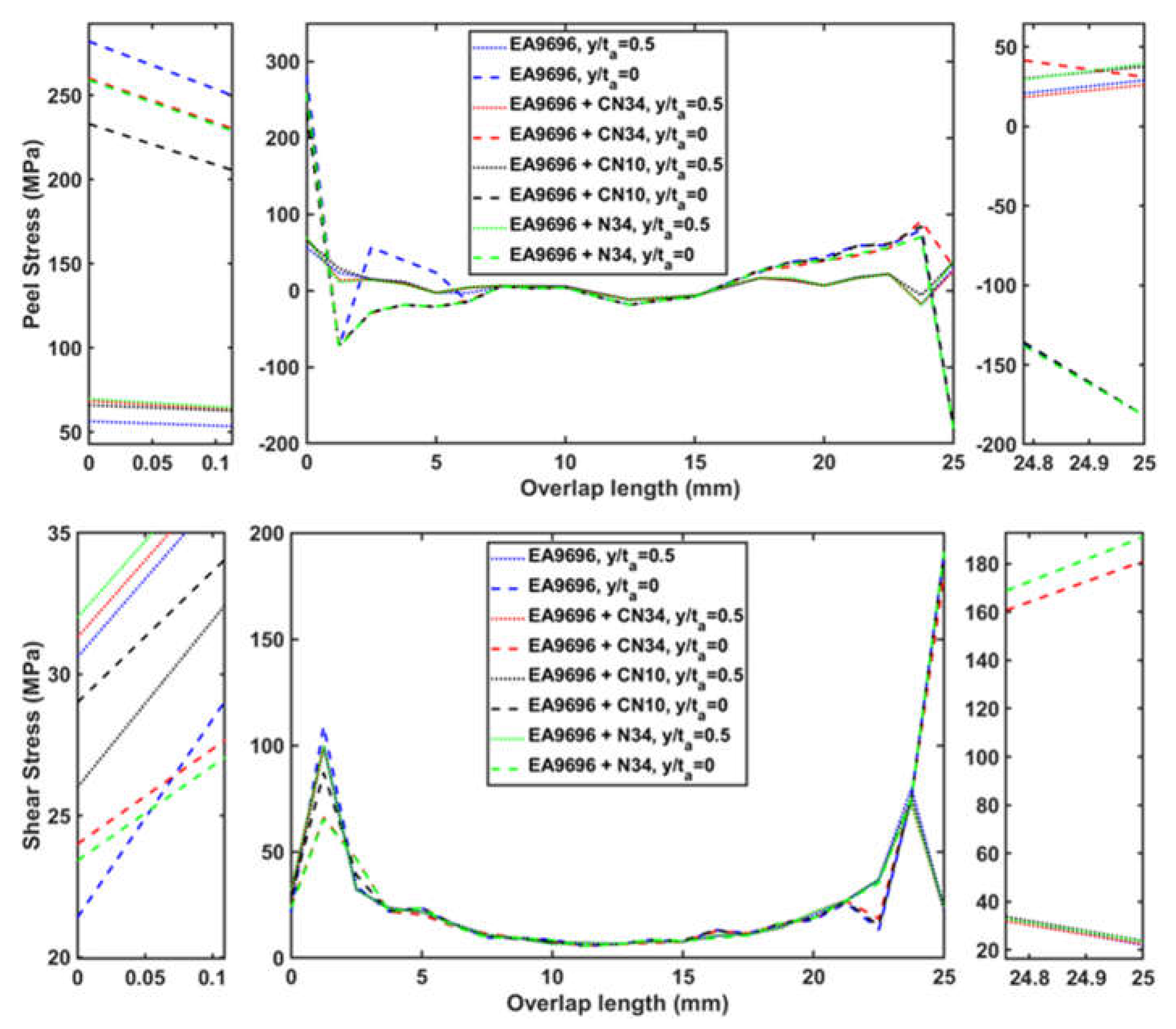
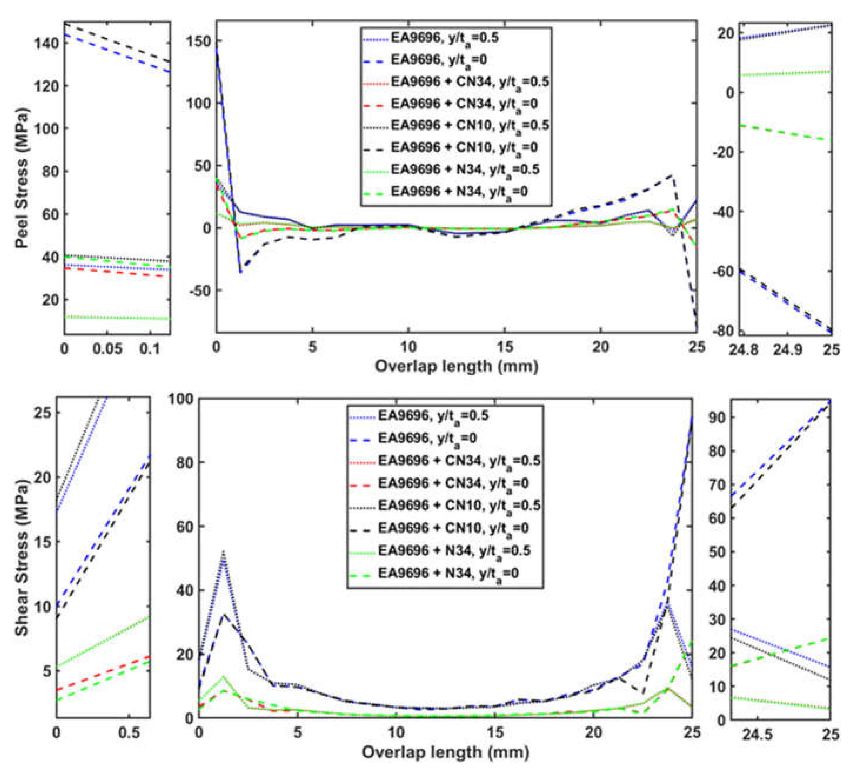
3. Results and Discussion
4. Conclusions
Author Contributions
Funding
Acknowledgments
Conflicts of Interest
References
- Da Silva, L.F.; Öchsner, A.; Adams, R.D. Handbook of adhesion technology. Springer Science & Business Media; 2011. [CrossRef]
- Zhao, L.; Li, H.; Qiao, Y.; Bai, X.; Wang, D.; Qu, C.; Xiao, W.; Liu, Y.; Zhang, J. Accelerated-curing epoxy structural film adhesive for bonding lightweight honeycomb sandwich structures. Journal of Applied Polymer Science. 2023. [CrossRef]
- Mulcahy, K.R.; Kilpatrick, A.F.; Harper, G.D.; Walton, A.; Abbott, A.P. Debondable adhesives and their use in recycling. Green Chemistry, 24(1):36-61. 2022. [CrossRef]
- Lu, Y.; Broughton, J.; Winfield, P. A review of innovations in disbonding techniques for repair and recycling of automotive vehicles. International Journal of Adhesion and Adhesives. 2014 Apr 1;50:119-27. [CrossRef]
- Environmental sustainability status in the Aviation Maintenance and Production Organisation (M&P) Domain - Study – Assessment of the environmental sustainability status in the Aviation Maintenance and Production Organisation (M&P) Domain | EASA. Available online: https://www.easa.europa.eu/en/document-library/research-reports/study-assessment-environmental-sustainability-status-aviation (accessed on 31 Jul 2024).
- Report reveals whole lifecycle approach needed to improve £4bn composites sector. Available online: https://www.rsc.org/news-events/articles/2023/mar/composites-report-launches/ (accessed on 31 Jul 2024).
- Liu, P.; Barlow, C.Y. Wind turbine blade waste in 2050. Waste Management, 62, pp.229-240. 2017. [CrossRef]
- Scott, S.; Islam, Z.; Allen, J.; Yingnakorn, T.; Alflakian, A.; Hathaway, J.; Rastegarpanah, A.; Harper, G.D.; Kendrick, E.; Anderson, P.A.; Edge, J. Designing lithium-ion batteries for recycle: The role of adhesives. Next Energy, 1(2), p.100023. 2023. [CrossRef]
- Liu, Z.; Yan, F. Switchable adhesion: On-demand bonding and debonding. Advanced Science, 9(12), p.2200264. 2022. [CrossRef]
- Groß, A.; Mayer, B; Haag, K. Circular Economy and Adhesive Bonding Technology, Part 3. adhesion ADHESIVES+ SEALANTS, 19(2), pp.14-17. 2022. [CrossRef]
- Circular Bonding COOCK, M5: Circularity potential of circular bonding technologies. Available online: https://circularbonding.be/sites/circularbonding/files/downloads/Circular%20potential%20debonding%20technologies.pdf (accessed on 31 Jul 2024).
- Vanderreydt, I.; De Smet, S.; Pals, E.; Parchomenko, A.; Van Opstal, W. The circular economy potential of reversible bonding in smartphones. Sustainable Production and Consumption, 41, pp.362-378. 2023. [CrossRef]
- Circular bonding COOCK project - Report on reversible adhesive bonding technologies. Available online: https://circularbonding.be/sites/circularbonding/files/downloads/Overview%20of%20reversible%20bonding%20technologies.pdf (accessed on 31 Jul 2024).
- Van Lijsebetten, F.; Maiheu, T.; Winne, J.M.; Du Prez, F.E. Epoxy adhesives with reversible hardeners: Controllable thermal debonding in bulk and at interfaces. Advanced Materials, 35(31), p.2300802. 2023. [CrossRef]
- Fernandes, T.A.; Campilho, R.D.; Banea, M.D.; da Silva, L.F. Adhesive selection for single lap bonded joints: Experimentation and advanced techniques for strength prediction. The Journal of Adhesion, 91(10-11), pp.841-862. 2015. [CrossRef]
- Akhavan-Safar, A.; Eisaabadi B.G.; Jalali, S.; Beygi, R.; da Silva, L.F. Impact fatigue life improvement of bonded structures using the bi-adhesive technique. Fatigue & Fracture of Engineering Materials & Structures, 45(5), pp.1379-1390. 2022. [CrossRef]
- Ramezani, F.; Simões, B.D.; Carbas, R.J.; Marques, E.A.; da Silva, L.F. Developments in laminate modification of adhesively bonded composite joints. Materials, 16(2), p.568. 2023. [CrossRef]
- de Freitas, S.T.; Sinke, J. Failure analysis of adhesively-bonded metal-skin-to-composite-stiffener: Effect of temperature and cyclic loading. Composite Structures, 166, pp.27-37. 2017. [CrossRef]
- Chiminelli, A.; Breto, R.; Izquierdo, S.; Bergamasco, L.; Duvivier, E.; Lizaranzu, M. Analysis of mixed adhesive joints considering the compaction process. International Journal of Adhesion and Adhesives, 76, pp.3-10. 2017. [CrossRef]
- Da Silva, L.F.; Adams, R.D. Joint strength predictions for adhesive joints to be used over a wide temperature range. International Journal of Adhesion and Adhesives, 27(5), pp.362-379. 2007. [CrossRef]
- Stein, N.; Rosendahl, P.L.; Becker, W. Homogenization of mechanical and thermal stresses in functionally graded adhesive joints. Composites Part B: Engineering, 111, pp.279-293. 2017. [CrossRef]
- Gupta, S.K.; Shukla, D.K.; Kaustubh Ravindra, D. Effect of nanoalumina in epoxy adhesive on lap shear strength and fracture toughness of aluminium joints. The Journal of Adhesion, 97(2), pp.117-139. 2021. [CrossRef]
- Caglar, H.; Idapalapati, S.; Sharma, M.; Chian, K.S. Debonding of carbon fiber veil interleaved adhesively bonded GFRP joints via Joule heating. Composites Part B: Engineering, 230, p.109544. 2022. [CrossRef]
- Caglar, H.; Idapalapati, S.; Sharma, M.; Chian, K.S. Debonding of bonded composite joints with TEP modified epoxy adhesives. The Journal of Adhesion, 99(10), pp.1626-1649. 2023. [CrossRef]
- Caglar, H.; Aksoy, Y.A.; Idapalapati, S.; Caglar, B.; Sharma, M.; Chian, K.S. Debonding-on-demand Fe3O4-epoxy adhesively bonded dissimilar joints via electromagnetic induction heating. The Journal of Adhesion, 100(8), pp.734-764. 2024. [CrossRef]
- Jia, Z.; Yu, J.; Liu, Q.; Yu, S.; Wang, Z. Functionally graded adhesive joints with exceptional strength and toughness by graphene nanoplatelets reinforced epoxy adhesives. International Journal of Adhesion and Adhesives 125, 103402. 2023. [CrossRef]
- Kumar, S.; Wardle, B.L.; Arif, M.F. Strength and Performance Enhancement of Bonded Joints by Spatial Tailoring of Adhesive Compliance via 3D Printing. ACS Appl. Mater. Interfaces 9, 884–891. 2017. [CrossRef]
- Volkersen, O. Die Nietkraftverteilung in zugbeanspruchten Nietverbindungen mit konstanten Laschenquerschnitten. Luftfahrtforschung, vol. 15, no. 1/2. 1938.
- Goland, M.; Reissner, E. The stresses in cemented joints. 1944. [CrossRef]
- Redmann, A.; Damodaran, V.; Tischer, F.; Prabhakar, P.; Osswald, T.A. Evaluation of Single-Lap and Block Shear Test Methods in Adhesively Bonded Composite Joints. J. Compos. Sci. 5, 27. 2021. [CrossRef]
- Hart-Smith, L.J. Adhesive-bonded single-lap joints (No. NASA-CR-112236). 1973.
- Zhao, X.; Adams, R.D.; Da Silva, L.F.M. A new method for the determination of bending moments in single lap joints. International Journal of Adhesion and Adhesives 30, 63–71. 2010. [CrossRef]
- Timoshenko, S. Analysis of Bi-Metal Thermostats. J. Opt. Soc. Am. 11, 233. 1925. [CrossRef]
- Tang, J.H.; Sridhar, I.; Srikanth, N. Static and fatigue failure analysis of adhesively bonded thick composite single lap joints. Composites Science and Technology 86, 18–25. 2013. [CrossRef]
- Tsai, M.Y.; Morton, J. An evaluation of analytical and numerical solutions to the single-lap joint. International Journal of Solids and Structures 31, 2537–2563. 1994. [CrossRef]
- Tsai, M.Y.; Morton, J. A stress analysis of a thermally loaded bimaterial interface: A localized hybrid analysis. Mechanics of Materials 13, 117–130. 1992. [CrossRef]
- Chen, W.T.; Nelson, C.W. Thermal Stress in Bonded Joints. IBM J. Res. & Dev. 23, 179–188. 1979. [CrossRef]
- Magomedov, I.A.; Sebaeva, Z.S. Comparative study of finite element analysis software packages. J. Phys.: Conf. Ser. 1515, 032073. 2020. [CrossRef]
- Unuk, Ž.; Štrukelj, A.; Žegarac Leskovar, V.; Premrov, M. Strengthening of old timber floor joists with cross-laminated timber panels and tempered glass strips. Construction and Building Materials 298, 123841. 2021. [CrossRef]
- Unuk, Ž.; Ivanič, A.; Žegarac Leskovar, V.; M., Lubej, S. Evaluation of a structural epoxy adhesive for timber-glass bonds under shear loading and different environmental conditions. International Journal of Adhesion and Adhesives 95, 102425. 2019. [CrossRef]
- Unuk, Ž.; Štrukelj, A.; Žegarac Leskovar, V.; Premrov, M. Novel composite connection for timber–glass composite structures. Archives of Civil and Mechanical Engineering 20, 21. 2020. [CrossRef]
- Haghani, R. Analysis of adhesive joints used to bond FRP laminates to steel members – A numerical and experimental study. Construction and Building Materials 24, 2243–2251. 2010. [CrossRef]
- Henkel Corporation. LOCTITE EA 9696 AERO. Available online: https://www.aero-consultants.ch/view/data/3285/Aero%20Consultings/PDF/LOCTITE_EA_9696_AERO.pdf (accessed on 6 August 2024).
- Tomblin, J.; Seneviratne, W.; Escobar, P.; Yoon-Khian, Y., Shear stress-strain data for structural adhesives. US Department of Transportation Federal Aviation Administration Office of Aviation Research, Washington, DC, Rapport technique DOT/FAA/AR-02/97. 2002.
- 3M. DP490 Scotch-Weld™ Adhesive. Available online: https://multimedia.3m.com/mws/media/82790O/dp490-scotch-weld-tm-adhesive.pdf (accessed on 6 August 2024).
- Talmon l’Armée, A.; Stein, N.; Becker, W. Bending moment calculation for single lap joints with composite laminate adherends including bending-extensional coupling. International Journal of Adhesion and Adhesives 66, 41–52. 2016. [CrossRef]
- Stein, N.; Mardani, H.; Becker, W. An efficient analysis model for functionally graded adhesive single lap joints. International Journal of Adhesion and Adhesives 70, 117–125. 2016. [CrossRef]
- Malekinejad, H.; Carbas, R.J.C.; Akhavan-Safar, A.; Marques, E.A.S.; Castro Sousa, F.; Da Silva, L.F.M. Enhancing Fatigue Life and Strength of Adhesively Bonded Composite Joints: A Comprehensive Review. Materials 16, 6468. 2023. [CrossRef]
- Reis, P.N.B.; Ferreira, J.A.M.; Antunes, F. Effect of adherend’s rigidity on the shear strength of single lap adhesive joints. International Journal of Adhesion and Adhesives 31, 193–201. 2011. [CrossRef]
- Özel, A.; Aydin, M.; Temiz, Ş. The effects of overlap length and adherend thickness on the strength of adhesively bonded joints subjected to bending moment. Journal of Adhesion Science and Technology 18, 313–325. 2004. [CrossRef]
- Grant, L.D.R.; Adams, R.D.; Da Silva, L.F.M. Effect of the temperature on the strength of adhesively bonded single lap and T joints for the automotive industry. International Journal of Adhesion and Adhesives 29, 535–542. 2009. [CrossRef]
- Quispe Rodríguez, R.; De Paiva, W.P.; Sollero, P.; Bertoni Rodrigues, M.R., De Albuquerque, É.L. Failure criteria for adhesively bonded joints. International Journal of Adhesion and Adhesives 37, 26–36. 2012. [CrossRef]
- Da Silva, L.F.M.; Das Neves, P.J.C.; Adams, R.D.; Wang, A.; Spelt, J.K. Analytical models of adhesively bonded joints—Part II: Comparative study. International Journal of Adhesion and Adhesives 29, 331–341. 2009. [CrossRef]














| Young’s modulus (GPa) @RT | Young’s modulus (GPa) @100°C | Young’s modulus (GPa) @145°C | Poisson’s ratio | Tg (°C) |
| 21.9 | 21.5 | 9.89 | 0.26 | 135 |
| Young’s modulus (GPa) | Shear modulus (MPa) | Tensile strength at RT (MPa) | Tensile strength at 100°C (MPa) | Poisson’s ratio | Single lap shear strength (MPa) |
CTE for 50-90°C (µm/m°C) |
CTE for 170-210°C (µm/m°C) |
| 1.91 | 813 | 47.2 | 19.85 | 0.361 | 42.9 | 98.4 | 153 |
| Temperature (oC) | Shear strength (longitudinal) (MPa) | Shear strength (transverse) (MPa) | peel strength (DaN/cm) |
| -55 | 23.7 | 31.6 | - |
| 23 | 30.2 | 28.7 | 9.24 |
| 80 | 11.9 | 12.7 | 7.32 |
| 120 | 2.8 | 3.2 | - |
| 150 | 1.9 | 1.7 | - |
| Joint configuration | Load (N/mm) | Shear modulus (MPa) | young’s modulus (MPa) | tensile strength (MPa) | poisson’s ratio | Tg (°C) |
| DP490 | 240 | 239 | 1847 | 25.4 | 0.38 | 115 |
| DP490 + 5 wt.% TEPs | 240 | 183 | 1411 | 25.4 | 0.38 | 118 |
| DP490 + 10 wt.% TEPs | 240 | 211 | 1631 | 25.4 | 0.38 | 118 |
| DP490 + 15 wt.% TEPs | 240 | 227 | 1751 | 25.4 | 0.38 | 117 |
| DP490 @145°C | 60 | 8.8 | 67.7 | 1.41 | 0.38 | - |
| DP490 + 5 wt.% TEPs @145°C | 60 | 4.1 | 31.3 | 1.41 | 0.38 | - |
| DP490 + 10 wt.% TEPs @145°C | 60 | 5.1 | 39.6 | 1.41 | 0.38 | - |
| DP490 + 15 wt.% TEPs @145°C | 60 | 4.9 | 37.6 | 1.41 | 0.38 | - |
| Joint configuration | Load (N/mm) | Shear modulus (MPa) | young’s modulus (MPa) | tensile strength (MPa) | poisson’s ratio | Tg (°C) |
| EA9696 | 300 | 813 | 1710 | 47.2 | 0.43 | 111 |
| EA9696+ CN34 | 300 | 1246 | 2620 | 47.2 | 0.43 | 97.3 |
| EA9696+ CN10 | 300 | 1070 | 2250 | 47.2 | 0.43 | 102 |
| EA9696+ N34 | 300 | 1108 | 2330 | 47.2 | 0.43 | 98.9 |
| EA9696 @100°C | 150 | 761 | 1600 | 19.85 | 0.43 | - |
| EA9696+ CN34 @100°C | 40 | 1117 | 2350 | 19.85 | 0.43 | - |
| EA9696+ CN10 @100°C | 150 | 922 | 1940 | 19.85 | 0.43 | - |
| EA9696+ N34 @100°C | 40 | 1046 | 2200 | 19.85 | 0.43 | - |
Disclaimer/Publisher’s Note: The statements, opinions and data contained in all publications are solely those of the individual author(s) and contributor(s) and not of MDPI and/or the editor(s). MDPI and/or the editor(s) disclaim responsibility for any injury to people or property resulting from any ideas, methods, instructions or products referred to in the content. |
© 2024 by the authors. Licensee MDPI, Basel, Switzerland. This article is an open access article distributed under the terms and conditions of the Creative Commons Attribution (CC BY) license (http://creativecommons.org/licenses/by/4.0/).