Submitted:
01 July 2024
Posted:
02 July 2024
You are already at the latest version
Abstract

Keywords:
1. Introduction
2. Overview of AUV Dynamic Modeling and Control Structure
2.1. Dynamics of Underwater Vehicles for Control
2.2. General Architecture of an AUV Controller
3. OOSEM/MDA-Based Development for an AUV Controller
3.1. CIM realization for AUV Controllers
3.2. PIM Realization for AUV Controllers
| Algorithm 1. Navigation filter followed up by an UKF filter |
|
Function UKF-based algorithm Step UKF prediction Data : Result : end Step UKF updating Data : Result : end |
3.3. PSM Implementation for an AUV Controller
4. Application
5. Conclusions and Future Work
Author Contributions
Acknowledgments
Conflicts of Interest
References
- S. Sivčev, J. Coleman, E. Omerdić, G. Dooly, D. Toal, Underwater manipulators: A review, Ocean Engineering, Elsevier, ISSN 0029-8018, 163 (2018), 431-450. [CrossRef]
- Y.R. Petillot, G. Antonelli, G. Casalino, F. Ferreira, Underwater Robots: From Remotely Operated Vehicles to Intervention-Autonomous Underwater Vehicles, IEEE Robotics & Automation Magazin, ISSN 1070-9932, 26 (2019), 94-101. [CrossRef]
- J. Bao, D. Li, X. Qiao, T. Rauschenbach, Integrated navigation for autonomous underwater vehicles in aquaculture: A review, Information Processing in Agriculture, Elsevier, ISSN 2214-3173, 7 (2020), 139-151. [CrossRef]
- AUVAC. Autonomous Undersea Vehicles Applications Center. Available: https://auvac.org/, 2022 (accessed February 2022).
- T.A. Henzinger, P.W. Kopke, A. Puri, P. Varaiya, What's Decidable about Hybrid Automata?, Journal of Computer and System Sciences, Elsevier, ISSN 0022-0000, 57 (1998), 94-124. [CrossRef]
- L.P. Carloni, R. Passerone, A. Pinto, V.A. Sangiovanni, Languages and Tools for Hybrid Systems Design, Now Publishers Inc, Boston, 2006.
- P.A. Fishwick, Handbook of Dynamic System Modeling, Taylor & Francis Group, USA, 2007.
- K. El Hamidi, M. Mjahed, A. El Kari, H. Ayad, Neural Network and Fuzzy-logic-based Self-tuning PID Control for Quadcopter Path Tracking, Studies in Informatics and Control, ISSN 1220-1766, 28 (2019), 401-412. [CrossRef]
- S. Gao, R. Song, Y. Zheng, Y. Li, Robust Coordinated Tracking Control of Multiple Robots System Under Bounded Inputs, Studies in Informatics and Control, ISSN 1220-1766, 29 (2020), 283-292. [CrossRef]
- A.Y. Ouadine, M. Mjahed, H. Ayad, A. El Kari, UAV Quadrotor Fault Detection and Isolation Using Artificial Neural Network and Hammerstein-Wiener Model, Studies in Informatics and Control, ISSN 1220-1766, 29 (2020), 317-328. [CrossRef]
- E. Dolicanin, I. Fetahovic, E. Tuba, R. Capor-Hrosik, M. Tuba, Unmanned Combat Aerial Vehicle Path Planning by Brain Storm Optimization Algorithm, Studies in Informatics and Control, ISSN 1220-1766, 27 (2018), 15-24. [CrossRef]
- H.R. Karimi, A sliding mode approach to H∞ synchronization of master–slave time-delay systems with Markovian jumping parameters and nonlinear uncertainties, Journal of the Franklin Institute, Elsevier, ISSN 0016-0032, 349 (2012), 1480-1496. [CrossRef]
- H. Nawaz, H. Mansoor Ali, Implementation of Cross Layer Design for Efficient Power and Routing in UAV Communication Networks, Studies in Informatics and Control, ISSN 1220-1766, 29 (2020), 111-120. [CrossRef]
- K. Shi, Z. Wu, B. Jiang, H.R. Karimi, Dynamic path planning of mobile robot based on improved simulated annealing algorithm, Journal of the Franklin Institute, Elsevier, ISSN 0016-0032, In Press (2023), 32 pages. [CrossRef]
- H.R. Karimi, How to deal with the complexity in robotic systems?, Complex Engineering Systems, ISSN 2770-6249, 2 (2022), 3 pages. [CrossRef]
- S.K. Valluru, M. Kaur, K. Kartikeya, A. Goel, D. Dobhal, Experimental Investigation of Fully Informed Particle Swarm Optimization tuned Multi Loop L-PID and NL-PID Controllers for Gantry Crane System, Procedia Computer Science, Elsevier, ISSN 1877-0509, 171 (2020), 130-138. [CrossRef]
- J. Guerrero, J. Torres, V. Creuze, A. Chemori, E. Campos, Saturation based nonlinear PID control for underwater vehicles: Design, stability analysis and experiments, Mechatronics: The Science of Intelligent Machines, Elsevier, ISSN 0957-4158, 61 (2019), 96-105. [CrossRef]
- L. Liu, L. Zhang, G. Pan, S. Zhang, Robust yaw control of autonomous underwater vehicle based on fractional-order PID controller, ID 111493, Ocean Engineering, Elsevier, ISSN 0029-8018, 257 (2022), 8 pages. [CrossRef]
- Morgansen, M. Mesbahi, Augmented state feedback for improving observability of linear systems with nonlinear measurements, Systems & Control Letters, Elsevier, ISSN 0167-6911, 133 (2019), 8 pages. [CrossRef]
- A.A.R.A. Makdah, N. Daher, D. Asmar, E. Shammas, Three-dimensional trajectory tracking of a hybrid autonomous underwater vehicle in the presence of underwater current, Ocean Engineering, Elsevier, ISSN 0029-8018, 185 (2019), 115-132. [CrossRef]
- M. Lei, Nonlinear diving stability and control for an AUV via singular perturbation, Ocean Engineering, Elsevier, ISSN 0029-8018, 197 (2020), 11 pages. [CrossRef]
- A.K. Khalaji, H. Tourajizadeh, Nonlinear Lyapounov based control of an underwater vehicle in presence of uncertainties and obstacles, Ocean Engineering, Elsevier, ISSN 0029-8018, 198 (2020), 9 pages. [CrossRef]
- J. Liu, M. Zhao, L. Qiao, Adaptive barrier Lyapunov function-based obstacle avoidance control for an autonomous underwater vehicle with multiple static and moving obstacles, ID 110303, Ocean Engineering, Elsevier, ISSN 0029-8018 243 (2022), 16 pages. [CrossRef]
- G.R. Cho, D.G. Park, H. Kang, M.J. Lee, J.H. Li, Horizontal Trajectory Tracking of Underactuated AUV using Backstepping Approach, IFAC-PapersOnLine, Elsevier, ISSN 2405-8963, 52 (2019), 174-179. [CrossRef]
- P. Du, W. Yang, Y. Wang, R. Hu, Y. Chen, S.H. Huang, A novel adaptive backstepping sliding mode control for a lightweight autonomous underwater vehicle with input saturation, ID 112362, Ocean Engineering, Elsevier, ISSN 0029-8018, 263 (2022), 12 pages. [CrossRef]
- Z. Yan, M. Wang, J. Xu, Robust adaptive sliding mode control of underactuated autonomous underwater vehicles with uncertain dynamics, Ocean Engineering, Elsevier, ISSN 0029-8018, 173 (2019), 802-809. [CrossRef]
- Su, H.B. Wang, Y. Wang, Dynamic event-triggered formation control for AUVs with fixed-time integral sliding mode disturbance observer, ID 109893, Ocean Engineering, Elsevier, ISSN 0029-8018 240 (2021), 14 pages. [CrossRef]
- J. Guerrero, J. Torres, V. Creuze, A. Chemori, Adaptive disturbance observer for trajectory tracking control of underwater vehicles, Ocean Engineering, Elsevier, ISSN 0029-8018, 200 (2020), 13 pages. [CrossRef]
- J. Zhou, X. Zhao, T. Chen, Z. Yan, Z. Yang, Trajectory Tracking Control of an Underactuated AUV Based on Backstepping Sliding Mode With State Prediction, IEEE Access, ISSN 2169-3536, 7 (2019), 181983-181993. [CrossRef]
- O. Elhaki, K. Shojaei, A robust neural network approximation-based prescribed performance output-feedback controller for autonomous underwater vehicles with actuators saturation, Engineering Applications of Artificial Intelligence, Elsevier, ISSN 0952-1976, 88 (2020), 16 pages. [CrossRef]
- N. Kumar, M. Rani, An efficient hybrid approach for trajectory tracking control of autonomous underwater vehicles, Applied Ocean Research, Elsevier, ISSN 0141-1187, 95 (2020), 10 pages. [CrossRef]
- K. Fang, H. Fang, J. Zhang, J. Yao, J. Li, Neural adaptive output feedback tracking control of underactuated AUVs, ID 109211, Ocean Engineering, Elsevier, ISSN 0029-8018 234 (2021), 11 pages. [CrossRef]
- Wang, Y. Shen, J. Wan, Q. Sha, G. Li, G. Chen, B. He, Sliding mode heading control for AUV based on continuous hybrid model-free and model-based reinforcement learning, Applied Ocean Research, Elsevier, ISSN 0141-1187, 118 (2022), 14 pages. [CrossRef]
- N. Wang, T. Chen, S. Liu, R. Wang, H.R. Karimi, Y. Lin, Deep Learning-based Visual Detection of Marine Organisms: A Survey, Neurocomputing, Elsevier, ISSN 1872-8286, In Press (2023), 38 pages. [CrossRef]
- B. Hadi, A. Khosravi, P. Sarhadi, Deep reinforcement learning for adaptive path planning and control of an autonomous underwater vehicle, Aplied Ocean Research, Elsevier, ISSN 0141-1187, 129 (2022), 14 pages. [CrossRef]
- OMG, Documents Associated With Unified Modeling Language™ (UML® Version 2.5.1): OMG formal/17-12-05, OMG. https://www.omg.org/spec/UML/, 2017.
- OMG, SysML Specifications Version 1.6: OMG formal/19-11-01, OMG. https://www.omg.org/spec/SysML/, 2019.
- H. Lykins, S. Friedenthal, A. Meilich, Adapting UML for an Object Oriented Systems Engineering Method (OOSEM), Proc INCOSE Int Symp, July 16–20, INCOSE, Minneapolis, MN, 2000, pp. 490-497. [CrossRef]
- P. Pearce, M.C. Hause, ISO-15288, OOSEM and Model-Based Submarine Design, the 6th Asia Pacific Conference on Systems Engineering, Deep Blue Tech, Brisbane, Australia, 2012, pp. 15 pages.
- INCOSE. Object-Oriented SE Method. Available: https://www.incose.org/incose-member-resources/working-groups/transformational/object-oriented-se-method, 2020 (accessed September 2020).
- INCOSE, Systems Engineering Vision 2025, INCOSE, San Diego, CA 92111-2222, USA, 2014.
- INCOSE. Model-Based Systems Engineering (MBSE). Available: https://www.incose.org/, 2022 (accessed January 2022).
- OMG, Model Driven Architecture (MDA): Guide revision 2.0 of MDA Guide Version 1.0.1 (12th June 2003). OMG Document ormsc/2014-06-01, OMG. https://www.omg.org/cgi-bin/doc?ormsc/14-06-01, 2014.
- OMG. MDA Success Stories. Available: https://www.omg.org/mda/products_success.htm, 2022 (accessed June 2022).
- L.T.W. Agner, I.W. Soares, P.C. Stadzisz, J.M. Simão, A Brazilian survey on UML and model-driven practices for embedded software development, Systems and Software, Elsevier, ISSN 0164-1212, 86 (2013), 997–1005. [CrossRef]
- M. Rashid, M.W. Anwar, A.M. Khan, Toward the tools selection in model based system engineering for embedded systems—A systematic literature review, Journal of Systems and Software, Elsevier, ISSN 0164-1212, 106 (2015), 150-163. [CrossRef]
- L.O. Freire, L.M. Oliveira, R.T.S. Vale, M. Medeiros, R.E.Y. Diana, R.M. Lopes, E.L. Pellini, E.A. Barros, Development of an AUV control architecture based on systems engineering concepts, Ocean Engineering, Elsevier, ISSN 0029-8018, 151 (2018), 157-169. [CrossRef]
- N.V. Hien, N.V. He, P.G. Diem, A model-driven implementation to realize controllers for Autonomous Underwater Vehicles, Applied Ocean Research, Elsevier, ISSN 0141-1187, 78 (2018), 307-319. [CrossRef]
- T. Soriano, N.V. Hien, K.M. Tuan, T.V. Anh, An object-unified approach to develop controllers for autonomous underwater vehicles, Mechatronics: The Science of Intelligent Machines, Elsevier, ISSN 0957-4158, 35 (2016), 54-70. [CrossRef]
- M.W. Anwar, M. Rashid, F. Azam, M. Kashif, Model-based design verification for embedded systems through SVOCL: an OCL extension for SystemVerilog, Design Automation for Embedded Systems, Springer, ISSN 0929-5585, 21 (2017), 1-36. [CrossRef]
- M.W. Anwar, M. Rashid, F. Azam, M. Kashif, W.H. Butt, A model-driven framework for design and verification of embedded systems through SystemVerilog, Design Automation for Embedded Systems, Springer, ISSN 0929-5585, 23 (2019), 179–223. [CrossRef]
- T. Soriano, H.A. Pham, N.V. Hien, Analysis of coordination modes for multi-UUV based on Model Driven Architecture, 12th France-Japan and 10th Europe-Asia Congress on Mechatronics, IEEE, Tsu, Japan, 2018. [CrossRef]
- OMG, UML Profile for MARTE: UML for model-driven development of Real Time and Embedded Systems (RTES), OMG formal/19-04-02. https://www.omg.org/spec/MARTE/, OMG, 2019.
- B.P. Douglass, Real-Time UML Workshop for Embedded Systems (2nd Edition), Elsevier, Oxford, UK, 2014.
- B. Selic, S. Gerard, Modeling and Analysis of Real-Time and Embedded Systems with UML and MARTE, Elsevier, USA, 2014.
- B. Selic, Using UML for modeling complex real-time systems, Lecture Notes in Computer Science, Springer, ISSN 0302-9743, 1474 (1998), 250-260. [CrossRef]
- SNAME, Nomenclature for Treating the Motion of a Submerged Body through a Fluid, SNAME, New York 18, N. Y., USA, 1950.
- T.I. Fossen, Handbook of Marine Craft Hydrodynamics and Motion Control, John Wiley & Sons, United Kingdom, 2011.
- Y. Bar-Shalom, X.R. Li, T. Kirubarajan, Estimation with Applications to Tracking and Navigation- Theory Algorithms and Software, John Wiley & Sons, USA, 2001.
- B. Allotta, A. Caitib, R. Costanzi, F. Fanelli, D. Fenucci, E. Meli, A. Ridolfi, A new AUV navigation system exploiting unscented Kalman filter, Ocean Engineering, Elsevier, ISSN 0029-8018, 113 (2016), 121–132. [CrossRef]
- N.V. Hien, N.V. He, V.T. Truong, P.G. Diem, Using the Real-Time Unified Modeling Language to Implement an AUV Controller. Research project report, funded by State of Vietnam, KC03.TN05/11-15, Hanoi University of Science and Technology, Hanoi, Vietnam, 2013.
- P. Sarhadi, A.R. Noei, A. Khosravi, Model reference adaptive PID control with anti-windup compensator for an autonomous underwater vehicle, Robotics and Autonomous Systems, Elsevier, ISSN 0921-8890, 83 (2016), 87-93. [CrossRef]
- F. Kong, Y. Guo, W. Lyu, Dynamics Modeling and Motion Control of an New Unmanned Underwater Vehicle, IEEE Access, ISSN 2169-3536, 8 (2020), 30119-30126. [CrossRef]
- J. Wan, B. He, D. Wang, T. Yan, Y. Shen, Fractional-Order PID Motion Control for AUV Using Cloud-Model-Based Quantum Genetic Algorithm, IEEE Access, ISSN 2169-3536, 7 (2019), 124828-124843. [CrossRef]
- X. Wang, G. Zhang, Y. Sun, J. Cao, L. Wan, M. Sheng, Y. Liu, AUV near-wall-following control based on adaptive disturbance observer, Ocean Engineering, Elsevier, ISSN 0029-8018, 190 (2019), 17 pages. [CrossRef]
- Z. Yan, Z. Yang, J. Zhang, J. Zhou, A. Jiang, X. Du, Trajectory Tracking Control of UUV Based on Backstepping Sliding Mode With Fuzzy Switching Gain in Diving Plane, IEEE Access, ISSN 2169-3536, 7 (2019), 166788-166795. [CrossRef]
- IBM. IBM Rational's Methodology, Software, Online Documentation and Training Kits. Available: https://www.ibm.com/academic/home, 2022 (accessed April 2022).
- OpenModelica. OpenModelica. OpenModelica software, version 1.18. Available: https://www.openmodelica.org/, 2022 (accessed February 2022).
- u-blox. Product selector. Available: https://www.u-blox.com/en/product-search, 2022 (accessed January 2022).
- InvenSense. Sensor System on Chip. Available: http://www.invensense.com/, 2022 2022 (accessed January 2022).
- Arduino. Open-source electronics prototyping platform for hardware and software. Available: http://www.arduino.cc/, 2022 (accessed March 2022).










| Used control techniques | Assessment of the performance of AUVs for control applications. |
|---|---|
| Proportional integral derivative (PID) controller [16,17,18]. | This proved to be well adapted to the AUV when tracking horizontal planar trajectories. However, the controller based on PID control law was only carried out to manipulate the AUV in an environment with less disturbances. |
| Linear quadratic regulator (LQR) [19,20]. | This regulator shows average stability, but it was less dynamic than the PID regulator. |
| Lyapunov stability [21,22,23]. | It is very effective, especially when controlling the heading of an AUV. Nevertheless, stabilization in the neighboring area of desired waypoints was not strong enough to track a planar trajectory. |
| Backstepping technique [24,25]. | This technique shows a high ability to control the oriented angle of AUV in an environment with high perturbations. |
| Sliding-mode control [26,27]. | This technique did not give excellent performance when it was implemented alone in an AUV controller. The chattering nature of this controller shows its inability to adapt to the dynamics of AUVs. To improve this, this controller could be associated with other techniques, such as NN (neural networks) [30,31,32,33,34,35] or backstepping [28,29]. |
| DOF | Motions | Forces/Moments | Linear/angular velocities | Position/Euler angles |
| 1 2 3 4 5 6 |
Surge Sway Heave Roll Pitch Yaw |
X Y Z K M N |
u v w p q r |
x y z ϕ θ ψ |
| Specifications | Value |
|---|---|
| Size(L×W×H) | (1.26×0.61×0.40)m |
| operating time | 20min |
| Dry weight | 21.20kg |
| 2×Li-Po battery | 22.2V, 20000mAh |
| Max. capacity | 324W |
| Max. submerged depth | 1.20m |
| Max. radius of operation | 450m |
| Max. submerging or rising speed | 0.30m/s |
| Max. horizontal speed | 1.80m/s |
| No | Predetermined course angle (deg) | Average velocity (m/s) | Time of stabilized course (s) |
|---|---|---|---|
| 1 | 10 | 1.0 | 6.90 |
| 2 | 10 | 1.5 | 6.10 |
| 3 | 20 | 1.0 | 7.20 |
| 4 | 20 | 1.5 | 6.40 |
| 5 | 30 | 1.0 | 7.30 |
| 6 | 30 | 1.5 | 7.10 |
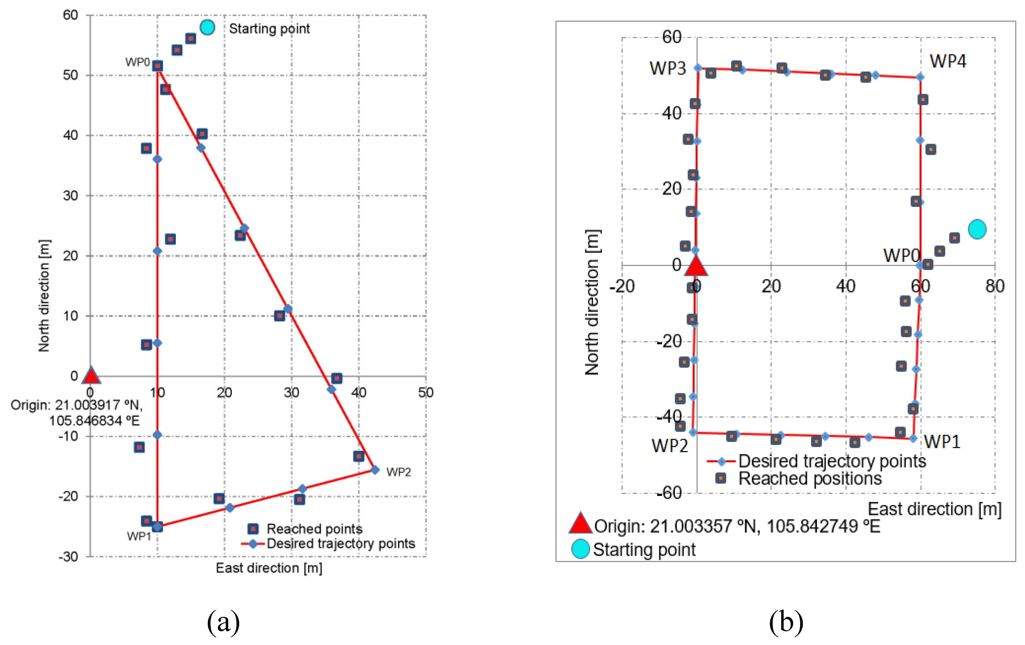
| WPs-based path generation | RMS deviation (m) | Max deviation (m) | ||
|---|---|---|---|---|
| Along east axis | Along north axis | Along east axis | Along north axis | |
| WP0 - WP1 | 3.51552 | 3.82270 | 4.07784 | 4.24404 |
| WP1 - WP2 | 2.60232 | 3.34176 | 4.06368 | 4.30740 |
| WP2 - WP0 | 2.35188 | 5.01288 | 2.79348 | 7.67352 |
| WPs-based path generation | RMS deviation (m) | Max deviation (m) | ||
|---|---|---|---|---|
| Along east axis | Along north axis | Along east axis | Along north axis | |
| WP0 - WP1 | 2.7036 | 3.0876 | 2.9207 | 3.4398 |
| WP1 - WP2 | 1.7465 | 2.1935 | 2.3279 | 2.8723 |
| WP2 - WP3 | 2.0754 | 2.6527 | 2.2675 | 2.0894 |
| WP3 - WP4 | 2.0532 | 2.0921 | 2.2793 | 2.7260 |
| WP4 - WP0 | 1.7270 | 1.5573 | 1.9874 | 1.7674 |
Disclaimer/Publisher’s Note: The statements, opinions and data contained in all publications are solely those of the individual author(s) and contributor(s) and not of MDPI and/or the editor(s). MDPI and/or the editor(s) disclaim responsibility for any injury to people or property resulting from any ideas, methods, instructions or products referred to in the content. |
© 2024 by the authors. Licensee MDPI, Basel, Switzerland. This article is an open access article distributed under the terms and conditions of the Creative Commons Attribution (CC BY) license (http://creativecommons.org/licenses/by/4.0/).
