Preprint
Article

This version is not peer-reviewed.

Effect of Amino-Functionalized POSS on Structure-Property Relationships of Thermostable Hybrid Cyanate Ester Resin Based Nanocomposites

A peer-reviewed article of this preprint also exists.

Submitted:

14 November 2023

Posted:

15 November 2023

You are already at the latest version

Abstract
Nanocomposites of cyanate ester resin (CER) filled with three different reactive amino-functionalized polyhedral oligomeric silsesquioxane (POSS) were synthesized and characterized. The addition of a small quantity (0.1 wt.%) of amino-POSS chemically grafted to the CER network led to increasing thermal stability of CER matrix. A significant increase of the glass transition temperature, Tg (DSC data), and the temperature of α relaxation, Tα (DMTA data), by 45-55 оС of CER matrix with loading of nanofillers was evidenced. CER/POSS films exhibited a higher storage modulus than that of neat CER in the temperature range investigated. It was evidenced that CER/aminopropylisobutyl (APIB)-POSS, CER/N-phenylaminopropyl (NPAP)-POSS, and CER/aminoethyl aminopropylisobutyl (AEAPIB)-POSS nanocomposites induced a more homogenous α relaxation phenomenon with higher Tα values and an enhanced nanocomposite elastic behavior. Furthermore, CER/amino-POSS nanocomposites possessed higher specific surface area, gas permeability (CO2, He), and diffusion coefficients (CO2) values than those for neat CER, due to increasing free volume of the nanocomposites studied that is very important for their gas transport properties. Permeability grew respectively by about 2 (He) and 3.5-4 times (СО2), and diffusion coefficient of CO2 increased approximately twice for CER/amino-POSS nanocomposites in comparison with the neat CER network. The efficiency of amino-functionalized POSS in improving the thermal and transport properties of the CER/amino-POSS nanocomposites increased in a raw of reactive POSS containing one primary (APIB-POSS) < eight secondary (NPAP-POSS) < one secondary and one primary (AEAPIB-POSS) amino groups. APIB-POSS had the least strongly pronounced effect, since it could form covalent bonds with the CER network only by reaction of one –NH2 group, while AEAPIB-POSS displayed the most highly marked effect, since it could easily be incorporated into the CER network via reaction of –NH2 and –NH– groups with –O–C≡N groups from CER.
Keywords: 
;  ;  ;  ;  ;  

1. Introduction

Cyanate Ester Resins (CER) constitute a very attractive class of high-performance polymers, which differs from others by a very regular structure of the polymer networks, namely polycyanurates (PCNs), obtained by dicyanate polycyclotrimerization [1,2,3,4,5]. They have received much attention because of their unique combination of physical properties, including high thermal stability (> 400 oC), high glass transition temperature (> 270 oC), high fire-radiation and chemical resistance, low water absorption and low outgassing, high adhesion to different substrates, and excellent dielectric properties (ε = 2.64−3.11) [2,3,4]. As a result, CERs are currently used as structural or functional materials in aeronautics, space structures (composite strakes, fins, nose radar domes, heat shields), printed circuit boards, as well as adhesives [6]. The following companies manufacture CERs for these applications: Cytec Aerospace Materials, Hexcel, Huntsman Advanced Materials, JFC Technologies, Lonza, Henkel, TenCate Advanced Composites. However, like for most thermosets, their main drawback is brittleness. To overcome this limitation, modification of CERs has been developed over the past decades, and it is still of great interest. CERs can be modified by many different additives, such as engineering thermoplastics, elastomers, or reactive oligomers [2,3,4,5,7,8,9,10,11,12,13,14] with formation of semi-IPNs, IPNs and hybrid networks [7,8,9,10,11,12,13,14,15,16,17,18,19,20,21,22,23,24,25,26,27,28,29,30,31,32,33,34]. Improvement of mechanical properties can thus be attained, due to microphase-separated morphology generation, and especially in the case of a co-continuous morphology.
Unfortunately, the latter improvement is often achieved at the expense of thermal stability. This deficiency is remedied by the synthesis of nanocomposites of CER with montmorillonite (MMT) [35,36,37,38,39,40], carbon nanotubes [41,42], nanostructured aluminum borate [43], ZnO [44], ZrW2O8 [45], nanosilica [46,47,48], polyhedral oligomeric silsesquioxane (POSS) [49,50,51,52,53,54,55,56,57,58,59,60,61,62,63,64], and other nanofillers. The most pronounced effect on mechanical and thermal properties of CERs is achieved when nanoparticles with organically modified surface are used, as they may react with polymer networks.
POSS represent cage structures with the formula (RSiO1.5)n where n = 8, 10, 12 and R is hydrogen, reactive, or non-reactive organic groups. Each silicon atom is bonded to three oxygen atoms in a cage and to a single R substituent out of cage. These substituents improve compatibility of POSS molecules with polymers or monomers. In the case of reactive R, 3-D POSS molecules with diameters of 1-2 nm may graft chemically to polymer structures. New hybrid organic–inorganic CER-based thermosets with hydroxyl- [49,51,52,55], amino- [50,53] or epoxy-functionalized [59,60,61,62,63,64] POSS units have thus been obtained with improved thermal and mechanical properties.
Recently, thermostable nanocomposites based on densely crosslinked CER doped by 0.01–10 wt.% epoxycyclohexyl-functionalized POSS (ECH-POSS) were synthesized and characterized using TEM, SAXS, EDXS, FTIR, DSC, DMA, TGA, far-IR, and creep rate spectroscopy techniques [60,61]. It was revealed that ultra-low POSS contents (<<1 wt.%), covalently embedded into CER network substantially changed its nanostructure and properties [60,61,64]. This resulted in changing network dynamics, increasing glass transition temperatures by 20–50 oC, enhancing high temperature elastic and creep resistance properties, and increasing thermal stability under inert atmosphere at T < 400 oC. The effects decreased, or even became zero or negative, while increasing POSS content, especially from 2 to 10 wt.%, due to arising the structural nanorod- or platelet-like formations and POSS enriched nanodomains. At ultra-low POSS contents, the data obtained suggested basically molecular POSS dispersion, their quasi-periodic spatial distribution in the matrix, and not only chemical modifying CER network but also the possible manifestation of the enhanced long-range action of the “constrained dynamics” effect.
The aim of the present work is to synthesize and investigate the structure-properties relationships for nanocomposites of CER filled with amino-functionalized POSS of different reactivities, i.e. possessing different numbers of primary and/or secondary amino-groups. We intend to study the effect of amino-functionalized POSS nanoparticles on phase structure, morphology, physical properties, and gas permeability of the CER/amino-POSS films elaborated. Amino groups are very reactive towards cyanate groups [2,65,66], therefore during mixing of the functionalized POSS nanoparticles with CER, the nanoparticles may react and be chemically incorporated into the CER network [60,61,64].
We expect that reactive amino-functionalized POSS cage structures evenly distributed in CER networks will improve their thermal and mechanical properties as well as gas permeability for small molecules through the CER/amino-POSS polymer films, which will extend the areas of applications of such CER-based nanocomposites, especially in extreme conditions.

2. Materials and Methods

2.1. Materials

The CER network was formed using 1,1'-bis(4-cyanatophenyl) ethane (dicyanate ester of bisphenol E, DCBE), under the trade name PRIMASET® LECy, kindly supplied by Lonza (Switzerland). POSS derivatives, viz., aminopropylisobutyl POSS® (APIB-POSS), aminoethyl aminopropylisobutyl POSS® (AEAPIB-POSS), and N-phenylaminopropyl POSS® (NPAP-POSS) from Hybrid Plastics Inc. (Hattiesburg, MS, USA), were used as received. The chemical structures and basic physical characteristics for these components are given in Table 1.

2.2. Synthesis Procedure

The initial DCBE/POSS mixtures were first stirred with magnetic stirrer (1500 rpm) at T ≈ 65 oC during 2 h for POSS dispersion and chemical grafting through the reaction between cyanate groups of CER and amino groups of POSS. Then, the mixtures obtained were poured into a PTFE-coated mold and cured over the temperature range from 25 oC to 300 oC with a heating rate of 0.5 oC/min. All polymer nanocomposites derived from DCBE were synthesized with a constant mass proportion of different amino-POSS equal to 0.1 wt.%.

2.3. Characterization Techniques

Dynamic mechanical thermal analysis (DMTA) was performed using a TA Instruments Q800 analyzer operating with 0.05 % of strain amplitude and a frequency of 1 Hz. The samples were heated from -150 °C to 320 °C at a heating rate of 3 °C/min. Loss modulus peaks corresponding to the α relaxation were deconvoluted with IgorPro 6.38 software. The surface of deconvoluted peaks was calculated via the MultiPeak 1.4 function of this software by fitting the peaks with Gaussian distribution functions. The molar mass between crosslinks Mc was then calculated according to Equation (1) [67]:
              M C = E ' ø R T f
where E’ is the elastic modulus taken at Tα + 50 °C, R is the ideal gas constant equal to 8.314 J/mol·K, T = Tα + 50 °C, f is the network functionality which for the studied samples was considered equal to 3, and ϕ is a factor linked to the network model. In this work, we considered the affine model best suitable for highly crosslinked polymers [68]. For this model ϕ = 1.
The nitrogen sorption measurements were carried out at 77 K (-196 oC) with a Micromeritics ASAP 2010 analyzer. The specific surface area (S) values were calculated using the Brunauer–Emmett–Teller (BET) method in the relative pressure (P/P0) range from 0.05 to 0.3 by Equation (2) [69]:
S = S t w
where St is the total surface area derived from Equation (3), and w is the sample mass.
S t = W m · N   ·   A c s M
where Wm is the mass of adsorbate as monolayer, N is Avogadro’s number (6.02×1023 mol-1), Acs is the adsorbate cross sectional area (16.2 Å2 for Nitrogen), and M is the molar mass of adsorbate.
The thermal stability of composites was determined by thermogravimetric analysis (TGA) using a Setaram SETSYS evolution 1750 thermobalance, with a platinum pan under 20 mL/min argon flow at a heating rate of 20 °C/min from 50 °C to 650 °C. The initial mass of the samples was equal to about 10 mg in all the cases.
Differential scanning calorimetry (DSC) with Perkin-Elmer Diamond DSC apparatus was used for estimating glass transition temperatures, Tg, at the half-height of a heat capacity step and glass transition onset temperatures, Tg onset, in the composites. The second scans with the heating rate of 40 oC/min over the temperature range from 20 to 350 oC in nitrogen atmosphere were performed. Temperature scale was calibrated with pure Indium (Tm = 156.6 oC).
Permeation measurements were performed at 20 °C for helium (He) and carbon dioxide (CO2) with respective kinetic diameters of 2.6 and 3.3 Ǻ [70]. The CER-based samples with a useful area of 3 cm2 and a constant thickness around 150 μm were placed between the upstream and downstream compartments of the permeation cell. A secondary vacuum desorption step was performed prior to each permeation experiment. The permeation measurements were carried out under an upstream pressure, P1, equal to 3 bars. The downstream pressure, P2, was measured as a function of time. The permeability coefficient, P, was calculated from the slope of the linear time dependence of P2 in a steady state, and the diffusion coefficient, D, was deduced from the time lag, θ, as determined by the extrapolation of the steady-state line on the time axis (Equation (4)):
D = L 2 6 θ
where L is the film thickness [70]. D was expressed in cm2·s−1 and P in barrer (with 1 barrer = 10-10  c m S T P 3   c m   / ( c m 2   s   c m H g )).
Water sorption isotherms of the different films were determined at 25 oC by using the dynamic vapor sorption analyzer, DVS Advantage (London, United Kingdom). Each sample was predried in the DVS Advantage by exposure to dry nitrogen until the equilibrated dry mass was obtained (m0). A partial pressure of vapor (Pi) was then established within the apparatus by mixing controlled amounts of dry and saturated nitrogen and the mass of the sample (mt) was followed as a function of time. The mass of the sample at equilibrium (meq) was considered to be reached when changes in mass with time (dm/dt) were lower than 2.10−4 mg·min−1 for at least 5 min. Then, vapor pressure was increased in suitable activity (aw: 0, 0.2, 0.5, 0.7, and 0.9, respectively). The value of the mass gain at equilibrium (G) was defined by Equation (5):
G = m e q m 0 m 0
For each water activity (aw), it permitted to plot the water sorption isotherm. The precision on the values of G was estimated to be better than 5%.
The diffusion coefficient (D) was determined according to Equation (6) [70]:
D = 0.04909   ·   L 2 t 1 2
where t1/2 is the half sorption time and L is the sample thickness.

3. Results and Discussions

It is well known that cyanate groups of CERs can readily react with hydrogen-containing functional groups, such as -OH, -NH2, and -NH-, the reaction with -NH2 and -NH- groups occurring at temperature of ~30 oC and ~65oC, respectively [65,66]. Recently, these reactions have been applied for the chemical incorporation of different functionalized nanofillers into in-situ growing CER networks to create high performance thermostable CER-based nanocomposites [40,46,47,48,50,51]. Cho et al. [50] confirmed chemical incorporation of amino-POSS into the CER (PT-30) network through the reaction of –O–C≡N groups of CER with -NH2 groups of amino-POSS with formation of RNHC(=NH)OR fragments that were evidenced by FTIR with a stretching band at 1640 cm-1. In a previous work [40], some of us observed the same band as well in the cured CER/amino-MMT nanocomposites.
In the present work, the initial stage of amino-POSS chemical grafting or incorporation into the CER network is schematically shown in Figure 1. Due to differences in the functionality of POSS nanoparticles, it is possible to envision a large variety in the design of the synthesized CER/amino-POSS nanocomposites.

3.1. Investigation of Viscoelastic Properties by DMTA

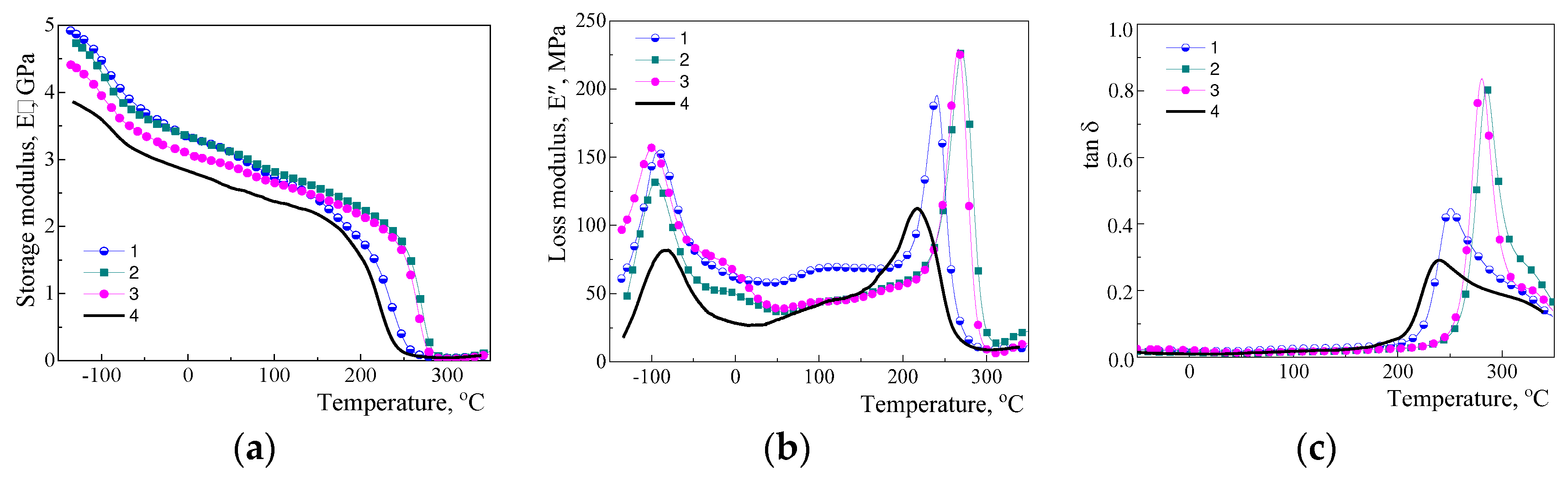
The influence of embedding amino-POSS nanoparticles into polycyanurate networks on viscoelastic properties of the nanocomposites synthesized was investigated by using DMTA. Figure 2 shows the temperature dependence of storage modulus, E' (Fig. 2a), loss modulus, E" (Fig. 2b), and tan δ (Fig. 2c) for the neat CER network and for the nanocomposites with different amino-POSS. Table 2 displays the corresponding viscoelastic characteristics.
One could see a significant influence of the addition of different types of reactive amino-POSS nanoparticles on viscoelastic properties for all the CER/amino-POSS nanocomposites synthesized. Indeed, the values of storage modulus Е', the intensities of loss modulus maxima Е'', and the values of α transition temperatures Tα for the CER matrix substantially changed upon introduction of the nanoparticles (see Table 2). All the above-mentioned changes evidenced the essential differences in hybrid CER/amino-POSS networks depending on the structure of amino-POSS used, namely the number and the reactivity of amino groups on the POSS cage surface. Amino-POSS molecules could graft from one side (in the case of APIB-POSS having one amino group) or incorporate inside (in the case of AEAPIB-POSS or NPAP-POSS having two or eight amino groups, respectively) the CER, thus resulting in the formation of hybrid organic-inorganic CER/POSS nanocomposites. Therefore, during the synthesis of CER/amino-POSS nanocomposites, the formation of mixed microphases with different contents of chemically grafted or incorporated amino-POSS nanoparticles in CER matrix (i.e. microphases with different mobility of kinetic segments of macromolecules) took place. Figure 2 shows that loading nanofiller into CER network led to a significant increase of storage modulus, Е', values in the temperature region investigated. This fact evidenced strengthening of the elastic properties associated with the polymer matrix, probably due to the well distributed relatively large nanoparticles of rigid POSS along the segments of the polymer chains as additional inorganic junctions, which hindered and restricted the movement of these segments. The uniform distribution of amino-POSS nanoparticles in the CER network without their aggregation was undoubtedly achieved due to two main reasons: (i) a sufficiently low (0.1 wt.%) nanofiller content, and (ii) the use of a special preheating procedure (before the main synthesis) for ensuring chemical interactions between the functional groups of CER and amino-POSS. Each POSS nanoparticle was thus surrounded by CER molecules transforming into polymer network at further high temperature curing, without agglomeration. As a result, the high crosslink density organic-inorganic hybrid polymer network was formed obviously without significant defects.
Recently, Zhang et al. [71] mathematically processed the curves E"= f (T) for an individual CER using inverse convolution by the contributions of single relaxation processes. Four distinct peaks corresponding to main α-relaxation of higher intensity at higher temperature, and secondary γ- and β-relaxations of lower intensities at lower temperatures were detected. From Figure 2b, one could see that both neat CER and all CER/amino-POSS nanocomposites exhibited broad γ-relaxation assigned to the phenylene and methyl groups rotations present in the links between the planar six-member three-arm cyanurate rings of CER structure [72] with a maximum at T ≈ − 85 °С and in the temperature range from −90 oС to −100 oС, correspondingly. Secondary relaxations appeared with a maximum at Tβ (from −43 to − 11oС, Table 2) and at Tβ′ ≈ 100 oC corresponding to the β and β′ relaxations associated with the mobility of the chain fragments between the crosslink sites of the CER network [73]. One could see from Figure 2 and Table 2 that the CER/amino-POSS nanocomposites possessed higher values of Tα compared to the unfilled CER network. Herewith, loading the APIB-POSS into CER network resulted in a temperature shift towards higher Tα values by 18 oС, whereas addition of NPAP-POSS and AEAPIB-POSS sharply increased the Tα values by 44 oС and 50 ºC, respectively (see Table 2). Thus, the introduction of amino-POSS nanoparticles chemically grafted/incorporated into CER networks led to the formation of new hybrid crosslinking sites. As a result, the additional steric obstacles reduced the amplitude of the spatial mobility of the kinetic segments of the macromolecules of the CER network, which caused an increase in the value of Tα, thus confirming conclusions of Bershtein et al. [61] about the enhanced long-range action of the “constrained dynamics” effect. Therefore, in the presence of amino-POSS, the values of Tγ decreased, whereas the values of Tβ, Tα, E’, and Mc increased, evidencing that amino-POSS behaved as both thermal and mechanical antiplasticizers i.e., reinforcements.
The curves for E” and tan δ seemed to be in contradiction to what E’ and Tα values showed. Indeed, an apparent increase in the E’’ and tan δ peak intensities is observed for α relaxation in presence of APIB-POSS, NPAP-POSS, and AEAPIB-POSS, whereas a “classical” anti-plasticization effect (i.e. increase of Tα) would tend to the reduction of such peak intensities, since the material would be considered stiffer. However, it should be considered that not only intensity of E” and tan δ peaks represent the viscoelastic behavior of a polymer, but also the peak amplitude and half-width. This is due to the fact that the main α relaxation is a heterogeneous phenomenon spanning in a range of temperatures. In order to really distinguish the influence of added nanofillers on the viscoelastic behavior of CER networks, the surfaces of the E” peaks, representing the total modulus loss during the whole α relaxation phenomenon should be compared. The E” peaks observed for the α relaxation were deconvoluted and integrated as detailed in the Experimental section. A single Gaussian function was considered for CER/APIB-POSS, CER/NPAP-POSS, and CER/AEAPIB-POSS samples whereas two Gaussian functions were considered for neat CER. The computed surfaces are summarized in Table 2.
Table 2 shows that CER/APIB-POSS and neat CER had similar E” peak surfaces, that of CER/APIB-POSS being slightly lower. The reduction of the E” peak surfaces was further observed for CER/NPAP-POSS, and CER/AEAPIB-POSS nanocomposites. This meant that the introduction of APIB-POSS, NPAP-POSS, and AEAPIB-POSS actually reduced the viscous behavior of CER, as the surface of these peaks correspond to the loss due to the viscoelastic nature of polymers during the α relaxation phenomenon, as detailed in the previous paragraph. As such, the observed increase in E′′ and tan δ intensities was not due to an increase in a viscous behavior but could be correlated to a more homogeneous α relaxation phenomenon induced by the presence of the amino-based nanofiller. Finally, it could be concluded that CER/APIB-POSS, CER/NPAP-POSS, and CER/AEAPIB-POSS nanocomposites induced a more homogenous α relaxation phenomenon with higher Tα values, and an enhanced nanocomposite elastic behavior compared to unfilled CER network.

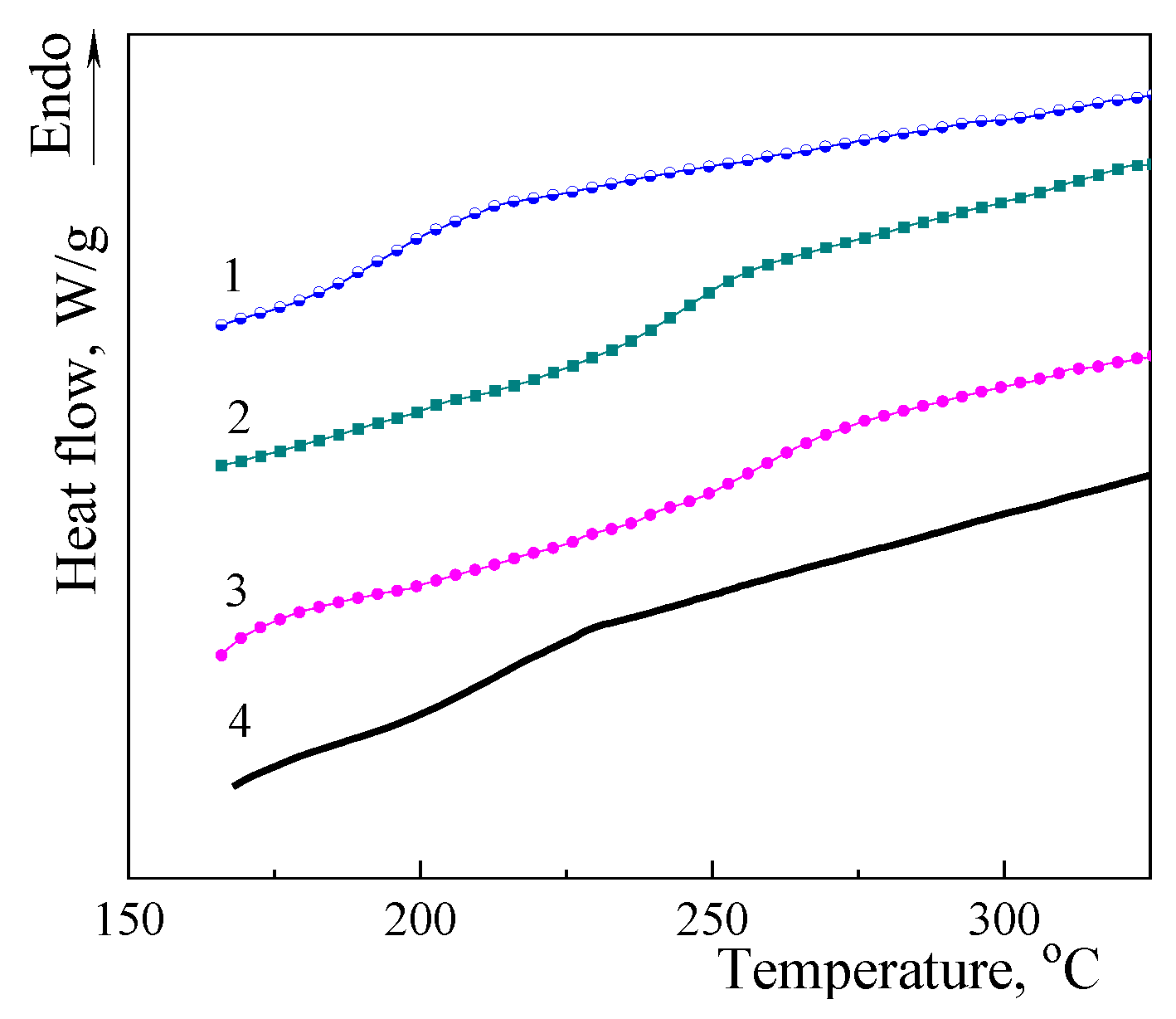
3.2. Investigation of Thermophysical Properties by DSC

The effect of chemically embedded amino-POSS nanoparticles into CER network on the thermophysical properties of CER/amino-POSS nanocomposites was also studied by DSC. Figure 3 shows corresponding DSC thermograms, and Table 3 displays the obtained thermophysical characteristics (Tg onset, Tg, and ΔCp). It is noteworthy that DSC data were in a good agreement with DMTA results. For all the CER/amino-POSS nanocomposites, only a single Tg value was evidenced that meant that all the samples studied had amorphous structure. However, the Tg onset, Tg, and ΔCp values of nanocomposites varied significantly depending on the functionality of amino-POSS embedded into the CER matrix. Meanwhile, introducing APIB-POSS nanoparticles led to negligible growth of Tg (by 2 oC) of polycyanurate matrix. However, adding NPAP-POSS and AEAPIB-POSS shifted Tg values to higher temperatures by 45 oC and 55 oC, respectively (cf. Table 3). Zhang et al. [71,72] attributed the increase in Tg of nanocomposites as compared to the unfilled (neat) polymer with the suppression of the polymer chain mobility by POSS molecules (cages) and Bershtein et al. [61] explained this fact by the possible manifestation of the enhanced long-range action of the “constrained dynamics” effect.

3.3. Investigation of Thermal Stability by TGA

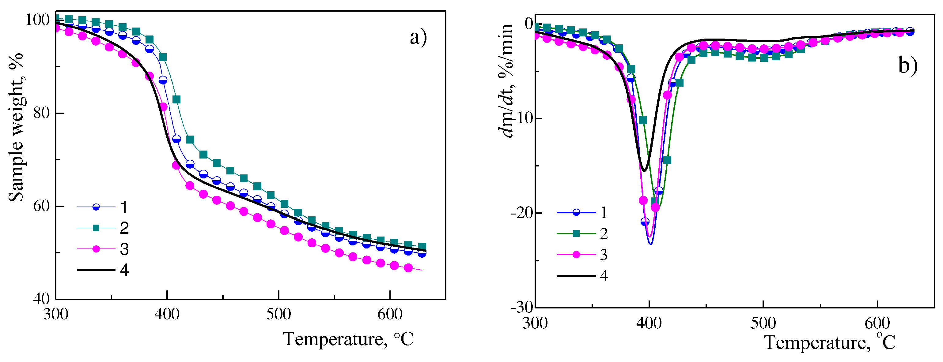
The effect of the different amino-POSS used on thermal stability of the nanocomposites synthesized was studied by TGA. Figure 4 shows TGA (Figure 4a, in argon) and corresponding DTG (Figure 4b) curves for the CER/amino-POSS nanocomposites (Figure 4, curves 1-3) compared to that for the neat CER network (Figure 4, curve 4). The corresponding thermal characteristics are summarized in Table 4. A strong influence of even such a low content (0.1 wt.%) of the selected nanofillers on thermal stability of CER/amino-POSS nanocomposites formed in situ was clearly observed. Indeed, the improved thermal stability was shown when APIB-POSS or AEAPIB-POSS were used in a contrast to NPAP-POSS.
Two simultaneous processes could occur during CER/amino-POSS nanocomposite formation: (i) the densely crosslinked polymer network with additional hybrid inclusions/junctions was formed, due to chemical grafting/incorporation of thermostable POSS nanoparticles into the CER network that led to an improvement of thermal characteristics of CER-based nanocomposites, and (ii) some defects were generated in the CER network, due to the existence of POSS nanoparticles with diameters of 1-2 nm inside the growing CER matrix that could hinder the formation of the regular CER network and weaken its thermal properties.
One could see that neat CER and CER/amino-POSS nanocomposites were characterized by two stages of decomposition. The main stage was in a region of ~ 374-440 °С related to the degradation of cyanurate skeleton [2,3], and a second stage at 467-531 °С. The residual char was determined to be ~ 46-51 % at 630 oC. Nevertheless, the thermal stability of the nanocomposites increased when only 0.1 wt.% of different amino-POSS were loaded compared to the unfilled CER matrix. Thus, one could conclude that the temperature of the intensive decomposition onset, for the unfilled CER matrix was quite high (Td1 onset = 374 oC), and it increased by ≈ 9-15 °С when introducing amino-POSS nanoparticles. The temperature of maximal degradation rate Td1 maxshifted to higher temperatures by ≈ 5-12 °С as well depending on the functionality of the amino-POSS used. It should be pointed out that when loading both APIB-POSS with one primary amino group and NPAP-POSS with eight secondary amino groups into the CER matrix, all the thermal characteristics increased by 5-10 oC compared to the neat CER network. More interestingly, the greatest impact on thermal stability (increasing by 12-15 oC) was observed with loading of AEAPIB-POSS with one secondary and one primary amino groups. It was obvious that primary amino group had a reactivity higher than that of secondary amino group, which resulted in a higher degree of POSS nanoparticles grafting to CER network. In conclusion, the highest effect was logically observed for AEAPIB-POSS, where the effect of primary amino group was further enhanced by the presence of secondary amino group.

3.4. Investigation of Gas Transport Properties

The specific surface area (S) values for all the synthesized samples were determined from nitrogen adsorption/desorption isotherms by using the BET method. The S value for the neat CER network was equal to around 62 m2/g, whereas the introduction of amino-POSS nanoparticles increased the values of specific surface area to 105, 108, and 272 m2/g for CER/APIB-POSS, CER/NPAP-POSS, and CER/AEAPIB-POSS nanocomposites, respectively (Figure 5a).
Gas transport properties for neat CER and CER/amino-POSS nanocomposites were determined, and the results obtained are depicted in Figure 5b. Не and СО2 permeability increased respectively by ≈ 2 and 3.5-4 times, and diffusion coefficient of CO2 increased approximately twice for CER/amino-POSS nanocomposites in comparison with the neat CER network. These results were in a good correlation with the above reported data on the specific surface area. Obviously, the introduction of amino-POSS nanoparticles led to increasing free volume of the nanocomposites studied that represented additional diffusion paths for gas transport [74,75]. Formation of looser structure in hybrid CER-based nanocomposite networks was also confirmed by increasing ΔCp values (see DSC data in Table 3) and increasing Mc values (see DMTA data in Table 2) with incorporation of amino-POSS nanoparticles into the CER network.
Figure 6a displays the evolution of the water uptake (G) for the neat CER network and CER/NPAP-POSS and CER/AEAPIB-POSS nanocomposites. The water uptakes remained rather low (less than 3 wt.%) as usually observed in the case of thermosets [74,76]. The water sorption isotherms were of BET II type. The slight curvature observed at low water activity (below aw=0.2) was related to the presence of water molecules strongly linked to the polar groups contained in the materials, and the positive deviation from linearity evidenced at high water activity indicated a water clustering phenomenon. One could observe a small decrease in the water uptake at high water activity for CER/amino-POSS nanocomposite samples compared to neat CER, meaning that the presence of POSS hindered water clustering (Fig. 6a). The evolution of the water diffusion coefficient (D) values of the samples studied as a function of the water activity is presented in Figure 6b. The D values measured at low water activity were higher for the CER/amino-POSS films with respect to neat CER. This trend was the same as that observed for gas transport, and it was related to the higher free volume contained in the CER/amino-POSS films. It could also be observed that the profile of water diffusion of neat CER network was different from that of CER/NPAP-POSS and CER/AEAPIB-POSS. It seemed that the higher clustering phenomenon observed at high water activity for neat CER induced a slight plasticization effect with an increase in D values, whereas the more limited clustering effect taking place in CER/amino-POSS films led to a small decrease in D values, as usually observed in networks [76]. However, D variations remained small in both cases.

4. Conclusions

Nanocomposites of cyanate ester resin (CER) filled with different types of reactive amino functionalized POSS were synthesized and characterized. It was found that the addition of a small quantity (0.1 wt.%) of amino-POSS chemically grafted to the CER network led to a significant increase in the thermal stability of the CER matrix. Namely, the degradation temperature onset, Td onset, and the temperature of maximal degradation rate, Td max, shifted to higher temperatures by ≈ 12-15 °С, depending on the type of amino-POSS. The significant growth of glass transition and α relaxation temperatures, Tg and Tα, by 45-55 oС of the CER matrix with loading of nanofillers was demonstrated by means of DSC and DMTA, respectively. The essential increase in storage modulus values in the temperature region investigated was observed as well. Formation of looser structures in hybrid CER-based nanocomposite networks was also confirmed by increasing ΔCp (DSC data) and increasing Mc values (DMTA data) with incorporation of amino-POSS nanoparticles into the CER network.
It was shown that CER/amino-POSS nanocomposites possessed specific surface area, gas permeability (CO2, He), and diffusion coefficients (CO2 and H2O at low activity) higher than that for neat CER. The efficiency of amino-functionalized POSS in improving the thermal and gas transport properties of the CER/amino-POSS nanocomposites increased in a raw of POSS containing one primary amino group (APIB-POSS) < eight secondary amino groups (NPAP-POSS) < one secondary and one primary amino groups (AEAPIB-POSS). APIB-POSS had the least strong effect, since it could form covalent bonds with CER network only by reaction of one –NH2 group. NPAP-POSS could connect to CER network through reaction of 8 –NH – groups but reactivity of –NH – groups was quite low, so its effect was slightly diminished. AEAPIB-POSS had the strongest effect, since it could easily be incorporated into CER network via reaction of one –NH2 and one –NH – groups with –O–C≡N groups of CER.

Author Contributions

Conceptualization, O.G., A.F., and D.G.; methodology, O.G., E.E., and A.F.; validation, E.E., D.S., and O.S.; investigation, O.S., D.S., F.G., and A.R.A.; formal analysis, O.G., A.F., O.S., and D.G.; writing—original draft preparation, O.S., E.E., and A.R.A.; writing—review and editing, O.G., A.F., and D.G.; visualization, D.S. and F.G.; supervision, A.F. and D.G.; project administration, A.F. and D.G. All authors have read and agreed to the published version of the manuscript.

Funding

This research received no external funding.

Institutional Review Board Statement

Not applicable.

Data Availability Statement

Not applicable.

Acknowledgments

The work was supported by the National Academy of Sciences of Ukraine (NASU) and the “Centre National de la Recherche Scientifique” (CNRS) through French-Ukrainian International Research Projects on Nanoporous Thermostable Polymer Materials “LIA POLYNANOPOR” and “IRP POLYTHERMAT”.

Conflicts of Interest

The authors declare no conflict of interest.

References

  1. Shimp, D.A.; Christenson, J.R.; Ising, S.J. Cyanate esters. In An emerging family of versatile composite resins. In Proceedings of the 34th Annual International SAMPE Symposium, Reno, Nevada, USA, 8-11 May 1989. [Google Scholar]
  2. Hamerton, I. [ed.] Chemistry and technology of cyanate ester resins. Chapman & Hall: London, UK, 1994; 357 p. [CrossRef]
  3. Hamerton, I.; Hay, J.N. Recent technological developments in cyanate ester resins. High Perfom. Polym., 1998, 10, 163–174. 10. [CrossRef]
  4. Nair, C.P.R.; Mathew, D.; Ninan, K.N. Cyanate Ester Resins, Recent Developments. Adv. Polym. Sci., 2000, 155, 1–99. [CrossRef]
  5. Fainleib, A. [ed.] Thermostable polycyanurates. Synthesis, modification, structure and properties. Nova Science Publisher: New York, USA, 2010; 362 p.
  6. McConnell, V.P. Resins for the Hot Zone, Part II: BMIs, CEs, benzoxazines and phthalonitriles. High Perform. Composites, 2009, 21, 49–54. /. Available online: https://www.compositesworld.com/articles/resins-for-the-hot-zone-part-ii-bmis-ces-benzoxazines-and-phthalonitriles.
  7. Bershtein, V.A.; Egorova, L.M.; Ryzhov, V.P.; Yakushev, P.N.; Fainleib, A.M.; Shantalii, T.A.; Pissis P. Structure and segmental dynamics heterogeneity in hybrid polycyanurate-polyurethane networks. J. Macromol. Sci., Phys. B., 2001, 40, 105-131. 40. [CrossRef]
  8. Fainleib, A.; Grigoryeva, O.; Hourston, D. Synthesis of inhomogeneous modified polycyanurates by reactive blending of bisphenol A dicyanate ester and polyoxypropylene glycol. Macromol. Symp., 2001, 164, 429-442. [CrossRef]
  9. Fainleib, A.M.; Grigoryeva, O.P.; Hourston, D.J. Structure-properties relationships for bisphenol A polycyanurate network modified with polyoxytetramethylene glycol. Int. J. Polym. Mat., 2002, 51(1-2), 57-75. [CrossRef]
  10. Iijima, T.; Kunimi, T.; Oyama, T.; Tomoi, M. Modification of cyanate ester resin by soluble polyarylates. Polym. Int., 2003, 52, 773–782. [CrossRef]
  11. Hwang, J.W.; Park, S.D.; Cho, K.; Kim, J.K.; Park, C.E. Toughening of cyanate ester resins with cyanated polysulfones. Polymer, 1997, 38, 1835–1843. 38. [CrossRef]
  12. Kim, Y.S.; Min, H.S.; Choi, W.J.; Kim, S.C. Dynamic mechanical modeling of PEI/dicyanate semi-IPNs. Polym. Eng. Sci., 2000, 40, 665–675. 40. [CrossRef]
  13. Harismendy, I.; Rio, M.D.; Marieta, C.; Gavalda, J.; Mondragon, I. Dicyanate ester-polyetherimide semi-interpenetrating polymer networks. II. Effects of morphology on the fracture toughness and mechanical properties. J. Appl. Polym. Sci., 2001, 80, 2759–2767. 80. [CrossRef]
  14. Liu, J.; Ding, N.; Xu, R.; He, Q.; Shen, J.; Hu, B. Cyanate ester resin modified by hydroxyl-terminated polybutadiene: morphology, thermal, and mechanical properties. Polym. Eng. Sci., 2011, 51, 1404–1408. 51. [CrossRef]
  15. Fainleib, A.; Kozak, N.; Grigoryeva, O.; Nizelskii, Yu.; Gritsenko, V.; Pissis, P.; Boiteux, G. Structure-thermal property relationships for polycyanurate-polyurethane linked interpenetrating polymer networks. Polym. Degrad. Stab., 2002, 76, 393-399. 76. [CrossRef]
  16. Kim, Y.S; Kim, S.C. Properties of polyetherimide/dicyanate semi-interpenetrating polymer network having the morphology spectrum. Macromolecules, 1999, 32, 2334–2341. 32. [CrossRef]
  17. Bartolotta, A.; Di Marco, G.; Lanza, M.; Carini, G.; D'Angelo, G.; Tripodo, G.; Fainleib, A.; Danilenko, I.; Grytsenko, V.; Sergeeva, L. Thermal and mechanical properties of simultaneous and sequential full-interpenetrating polymer networks. Mater. Sci. Eng. A., 2004, 370, 288-292. [CrossRef]
  18. Iijima, T.; Katsurayama, S.; Fukuda, W.; Tomoi, M.J. Modification of cyanate ester resin by poly(ethylene phthalate) and related copolyesters. J. Appl. Polym. Sci., 2000, 76, 208–219. 76. [CrossRef]
  19. Cao, Z.Q.; Mechin, F.; Pascault, J.P. Influence of cure cycles on morphologies and properties of rubber- or thermoplastic-modified cyanate ester networks. Polym. Mater. Sci. Eng., 1995, 71, 752–753.
  20. Seminovych, G.M.; Fainleib, A.M.; Slinchenko, E.A.; Brovko, A.A.; Sergeeva, L.M.; Dubkova, V.I. Influence of carbon fibre on formation kinetics of cross-linked copolymer from bisphenol A dicyanate and epoxy olygomer. React. Funct. Polym., 1999, 40, 281-288. [CrossRef]
  21. Hwang, J.W.; Cho, K.; Yoon, T.H.; Park, C.E. Effects of molecular weight of polysulfone on phase separation behavior for cyanate ester/polysulfone blends. J. Appl. Polym. Sci., 2000, 77, 921–927. [CrossRef]
  22. Chang, J.-Y.; Hong, J.-L. Morphology and fracture toughness of poly(ether sulfone)-blended polycyanurates. Polymer, 2000, 41, 4513-4521. [CrossRef]
  23. Hwang, J.W.; Cho, K.; Park, C.E.; Huh, W. Phase separation behavior of cyanate ester resin/polysulfone blends. J. Appl. Polym. Sci., 1999, 74, 33–45. [CrossRef]
  24. Recalde, I.B.; Campos, A.; Mondragon, I.; Gomez, C.M. Miscibility and kinetic behaviour of cyanate resin/polysulfone blends. Macromol. Symp., 2001, 174, 175–185. [CrossRef]
  25. Srinivasan, S.A.; Rau, A.V.; Loos, A.C.; McGrath, J.E. Toughened cyanate ester networks as matrix resin for carbon fiber composites. Polym. Mater. Sci. Eng., 1995, 71, 750–751.
  26. Srinivasan, S.A.; McGrath, J.E. Amorphous phenolphthalein-based poly(arylene ether)- modified cyanate ester networks: Effect of thermal cure cycle on morphology and toughenability. J. Appl. Polym. Sci., 1997, 64, 167–178. [CrossRef]
  27. Rau, A.V.; Srinivasan, S.A.; McGrath, J.E.; Loos, A.C. Resin transfer molding (RTM) with toughened cyanate ester resin systems. Polym. Comp., 1998, 19, 166–179. [CrossRef]
  28. Marieta, C.; Rio, M.D.; Harismendy, I.; Mondragon, I. Effect of the cure temperature on the morphology of a cyanate ester resin modified with a thermoplastic: characterization by atomic force microscopy. Eur. Polym. J., 2000, 36, 1445–1454. [CrossRef]
  29. Chang, J.-Y.; Hong, J.-L. Polar interaction in a cyanated poly(ether sulfone)-modified polycyanurate. Polymer, 1998, 39, 7119–7122. [CrossRef]
  30. Hillermeier, R.W.; Seferis, J.C. Environmental effects on thermoplastic and elastomer toughened cyanate ester composite systems. J. Appl. Polym. Sci., 2000, 77, 556–567. [CrossRef]
  31. Brown, J.M.; Srinivasan, S.A.; Rau, A.V.; Ward, T.C.; McGrath, J.E.; Loos, A.C.; Hood, D.; Kranbeuhl, D.E. Production of controlled networks and morphologies in toughened thermosetting resins using real-time, in situ cure monitoring. Polymer, 1996, 37, 1691–1696. [CrossRef]
  32. Fainleib, A.M.; Sergeeva, L.M.; Novikova, T.I.; Shantalii, T.A. Synthesis, structure and some properties of the polycyanurate-polyurethane semi-IPNs. Polym. Mater. Sci. Eng., 1992, 66, 131-132.
  33. Bartolotta, A.; Di Marco, G.; Lanza, M.; Carini, G.; D'Angelo, G.; Tripodo, G.; Fainleib, A.M.; Slinchenko, E.A.; Privalko, V.P. Molecular mobility in semi-IPNs of linear polyurethane and heterocyclic polymer networks. J. Adhes., 1997, 64, 269-286. [CrossRef]
  34. Balta Calleja, F.J.; Privalko, E.G.; Sukhorukov, D.I.; Fainleib, A.M.; Sergeeva, L.M.; Shantalii, T.A.; Shtompel, V.I.; Monleon Pradas, M.; Gallego Ferrer, G.; Privalko ,V.P. Structure-properties relationships for cyanurate-containing, full interpenetrating polymer networks. Polymer, 2000, 41, 4699-4707. [CrossRef]
  35. Maroulas, P.; Kripotou, S.; Pissis, P.; Fainleib, A.; Bei, I.; Bershtein, V.; Gomza, Yu. Molecular mobility in polycyanurate/clay nanocomposites studied by dielectric techniques. J. Compos. Mater., 2009, 43, 943–958. [CrossRef]
  36. Anthoulis, G.I.; Kontou, E.; Fainleib, A.; Bei, I. Polytetramethylene glycol-modified polycyanurate matrices reinforced with nanoclays: synthesis and thermomechanical performance. Mech. Comp. Mater., 2009, 45, 175–182. [CrossRef]
  37. Bershtein, V.A.; Fainleib, A.M.; Pissis, P.; Bei, I.M.; Dalmas, F.; Egorova, L.M.; Gomza, Yu.P.; Kripotou, S.; Maroulas, P.; Yakushev, P.N. Polycyanurate-organically modified montmorillonite nanocomposites: Structure-dynamics-properties relationships. J. Macromol. Sci. Part B: Polym. Phys., 2008, 47, 555–575. [CrossRef]
  38. Anthoulis, G.I.; Kontou, E.; Fainleib, A.; Bei, I.; Gomza, Yu. Synthesis and characterization of polycyanurate/montmorillonite nanocomposites. J. Polym. Sci. Part B Polym. Phys., 2008, 46, 1036–1049. [CrossRef]
  39. Wooster, T.J.; Abrol, S.; MacFarlane, D.R. Rheological and mechanical properties of percolated cyanate ester nanocomposites. Polymer, 2005, 46, 8011–8017. [CrossRef]
  40. Bershtein, V.; Fainleib, А.; Egorova, L.; Gusakova, K.; Grigoryeva, O.; Kirilenko, D.; Konnikov, S.; Ryzhov, V.; Yakushev, P.; Lavrenyuk, N. The impact of ultra-low amounts of amino-modified MMT on dynamics and properties of densely cross-linked cyanate ester resins. Nanoscale Res. Lett., 2015, 10, 165 (p. 1-15). [CrossRef]
  41. Dominguez, D.D.; Laskoski, M.; Keller, T.M. Modification of oligomeric cyanate ester polymer properties with multi-walled carbon nanotube-containing particles. Macromol. Chem. Phys., 2009, 210, 1709–1716. [CrossRef]
  42. Fainleib, A.; Bardash, L.; Boiteux, G. Catalytic effect of carbon nanotubes on polymerization of cyanate ester resins. eXPRESS Polym. Lett., 2009, 3, 477–482. [CrossRef]
  43. Tang, Y.; Liang, G.; Zhang, Z.; Han, J. Performance of aluminum borate whisker reinforced cyanate ester resin. J. Appl. Polym. Sci., 2007, 106, 4131–4137. [CrossRef]
  44. Ren, P.; Liang, G.; Zhang, Z.; Lu, T. ZnO whisker reinforced M40/BADCy composite. Compos. Part A, Appl. Sci. Manuf., 2006, 37, 46-53. 37. [CrossRef]
  45. Badrinarayanan, P.; Rogalski, M.K.; Kessler, M.R. Carbon fiber-reinforced cyanate ester/nano-ZrW2O8 composites with tailored thermal expansion. Appl. Mater. Interfaces, 2012, 4, 510–517. [CrossRef]
  46. Bershtein, V.; Fainleib, A.; Kirilenko, D.; Yakushev, P.; Gusakova, K.; Lavrenyuk, N.; Ryzhov, V. Dynamics and properties of high performance amorphous polymer subnanocomposites with ultralow silica content and quasi-regular structure. Polymer, 2016, 103, 36-40. [CrossRef]
  47. Bershtein, V.; Fainleib, A.; Gusakova, K.; Kirilenko, D.; Yakushev, P.; Egorova, L.; Lavrenyuk, N.; Ryzhov, V. Silica subnanometer-sized nodes, nanoclusters and aggregates in cyanate ester resin-based networks: structure and properties of hybrid subnano- and nanocomposites. Eur. Polym. J., 2016, 85C, 375-389. [CrossRef]
  48. Bershtein, V.; Fainleib, A.; Kirilenko, D.; Yakushev, P.; Gusakova, K.; Lavrenyuk, N.; Ryzhov, V. Incorporating silica into cyanate ester-based network by sol-gel method: Structure and properties of subnano- and nanocomposite. AIP Conference Proceedings, 2016, 1736, 020045 (p. 1-4). [CrossRef]
  49. Liang, K.; Li, G.; Toghiani, H.; Koo, J.H.; Pittman, C.U.Jr. Cyanate ester/polyhedral oligomeric silsesquioxane (POSS) nanocomposites:  Synthesis and characterization. Chem. Mater., 2006, 18, 301–312. [CrossRef]
  50. Cho, H.-S.; Liang, K.; Chatterjee, S.; Pittman, C.U.Jr. Synthesis, morphology, and viscoelastic properties of polyhedral oligomeric silsesquioxane nanocomposites with epoxy and cyanate ester matrices. J. Inorg. Organomet. Polym., 2005, 15, 541–543. [CrossRef]
  51. Pittman, C.U.Jr.; Li, G.-Z.; Ni, H. Hybrid inorganic/organic crosslinked resins containing polyhedral oligomeric silsesquioxanes. Macromol. Symp., 2003, 196, 301–325. [CrossRef]
  52. Liang, K.; Toghiani, H.; Pittman, C.U.Jr. Synthesis, morphology and viscoelastic properties of epoxy/polyhedral oligomeric silsesquioxane (POSS) and epoxy/cyanate ester/POSS nanocomposites. J. Inorg. Organomet. Polym., 2011, 21, 128–142. [CrossRef]
  53. Liang, K.; Toghiani, H.; Li, G.; Pittman, C.U. Jr. Synthesis, morphology, and viscoelastic properties of cyanate ester/polyhedral oligomeric silsesquioxane nanocomposites. J. Polym. Sci. Part A: Polym. Chem., 2005, 43, 3887–3898. [CrossRef]
  54. Wright, M.E.; Petteys, B.J.; Guenthner, A.J.; Yandek, G.R.; Baldwin, L.C.; Jones, C.; Roberts, M.J. Synthesis and chemistry of a monotethered-POSS bis(cyanate) ester: Thermal curing of micellar aggregates leads to discrete nanoparticles. Macromolecules, 2007, 40, 3891–3894. [CrossRef]
  55. Lin, Y.; Jin, J.; Song, M.; Shaw, S.J.; Stone, C.A. Curing dynamics and network formation of cyanate ester resin/polyhedral oligomeric silsesquioxane nanocomposites. Polymer, 2011, 52, 1716–1724. [CrossRef]
  56. Ma, J.; Li, Q. Gelation behavior, morphology, thermal and viscoelastic properties of epoxy-cyanate ester/polyhedral oligomeric silsesquioxane (POSS) nanocomposites. Adv. Mater. Res., 2006, 11-12, 323–326. [CrossRef]
  57. Lu, T.; Liang, G.; Guo, Z. Preparation and characterization of organic–inorganic hybrid composites based on multiepoxy silsesquioxane and cyanate resin. J. Appl. Polym. Sci., 2006, 101, 3652–3658. [CrossRef]
  58. Bershtein, V.; Fainleib, A.; Yakushev, P.; Egorova, L.; Grigoryeva, O.; Ryzhov, V.; Starostenko, O. Thermostable cyanate ester resins and POSS-containing nanocomposites: influence of matrix chemical structure on their properties. Polym. Adv. Technol., 2016, 27, 339–349. [CrossRef]
  59. Zhang, Z.; Liang, G.; Wang, X. Epoxy-functionalized polyhedral oligomeric silsesquioxane/cyanate ester resin organic–inorganic hybrids with enhanced mechanical and thermal properties. Polym. Int., 2014, 63, 552–559. [CrossRef]
  60. Starostenko, O.; Bershtein, V.; Fainleib, A.; Egorova, L.; Grigoryeva, O.; Sinani, A.; Yakushev, P. Thermostable polycyanurate-polyhedral oligomeric silsesquioxane hybrid networks: synthesis, dynamics and thermal behavior. Macromol. Symp., 2012, 316, 90-96. [CrossRef]
  61. Bershtein, V.; Fainleib, А.; Egorova, L.; Grigoryeva, O.; Kirilenko, D.; Konnikov, S.; Ryzhov, V.; Starostenko, O.; Yakushev, P.; Yagovkina, M.; Saiter, J.-M. The impact of ultra-low amounts of introduced reactive POSS nanoparticles on structure, dynamics and properties of densely cross-linked cyanate ester resins. Eur. Polym. J., 2015, 67, 128-142. [CrossRef]
  62. Starostenko, O.; Grigoryeva, O.; Fainleib, A.; Saiter, J.M.; Youssef, B.; Grande, D. Effect of epoxy-functionalized POSS on thermal stability of nanocomposites based on crosslinked polycyanurates. Polimernyi Zhurnal, 2014, 36, 233-244. /. Available online: http://polymerjournal.kiev.ua/wp-content/uploads/2016/06/3_233_244Starostenko.pdf.
  63. Grigoryeva, О.P.; Starostenko, О.N.; Gusakova, K.G.; Fainleib, А.М.; Saiter, J.M; Youssef, B.; Grande, D. Effect of epoxyfunctionalized POSS on chemical structure and viscoelastic properties of polycyanurate based nanocomposites. Polimernyi Zhurnal, 2014, 36, 341-351. /. Available online: http://nbuv.gov.ua/UJRN/Polimer_2014_36_4_4.
  64. Bershtein, V.; Fainleib, A.; Yakushev, P.; Kirilenko, D.; Egorova, L.; Grigoryeva, O.; Ryzhov, V.; Starostenko, O. High performance multifunctional cyanate ester oligomer-based network and epoxy-POSS containing nanocomposites: Structure, dynamics, and properties. Polym. Compos., 2020, 41, 1900-1912. [CrossRef]
  65. Grigat, E.; Pütter, R. Umsetzung von cyansäureestern mit amino- bzw. Imino-gruppenhaltigen substanzen. Chem. Ber., 1964, 97(11), 3027-3035. [CrossRef]
  66. Bauer, J.; Bauer, M. Curing of cyanates with primary amines. Macromol. Chem. Phys., 2001, 202, 2213-2220. [CrossRef]
  67. Hallary, J.-L.; Lauprêtre, F.; Monnerie, L. [ed.] Polymer Materials, Macroscopic Properties and Molecular Interpetrations; John Wiley & Sons: Hoboken, NJ, USA, 2010; 432 p.
  68. Flory, P. J. [ed.] Principles of Polymer Chemistry. Cornell University Press: Ithaca, NY, USA,1953; 688 p.
  69. Gregg, S.J.; Sing, K.S.W. Adsorption, Surface Area and Porosity. Academic Press: London, New York, 1982; 303 р. ISBN: 0123009561 9780123009562.
  70. Crank, J.; Park, G.S. Diffusion in Polymers. Academic Press: London, New York, 1968; 452 p. [CrossRef]
  71. Zhang, Z.; Liang, G.; Wang, J.; Ren, P. Epoxy/POSS organic-inorganic hybrids: viscoelastic, mechanical properties and micromorphologies. Polym. Compos., 2007, 28, 175–179. 28. [CrossRef]
  72. Zhang, Z.; Liang, G.; Wang, X.; Adhikari, S.; Pei, J. Curing behavior and dielectric properties of amino-functionalized polyhedral oligomeric silsesquioxane/cyanate ester resin hybrids. High Perform. Polym., 2013, 25, 427-435. [CrossRef]
  73. Vashchuk, A.; Rios de Anda, A.; Starostenko, O.; Grigoryeva, O.; Sotta, P.; Rogalsky, S.; Smertenko, P.; Fainleib, A.; Grande, D. Structure-property relationships in nanocomposites based on cyanate ester resins and 1-heptyl pyridinium tetrafluoroborate ionic liquid. Polymer, 2018, 148, 14-26. [CrossRef]
  74. Damian, C.; Escoubes, M.; Espuche, E. Gas and water transport properties of epoxy-amine networks: influence of crosslink density. J. Appl. Polym. Sci., 2001, 80, 2058-2066. [CrossRef]
  75. Damian, C.; Espuche, E.; Escoubes, M. Influence of three ageing types (thermal oxidation, radiochemical and hydrolytic ageing) on the structure and gas transport properties of epoxy-amine networks. Polym. Degrad. Stab., 2001, 72, 447-458. [CrossRef]
  76. Dolmaire, N.; Méchin, F.; Espuche, E.; Pascault, J.P. Modification of a hydrophilic linear polyurethane by crosslinking with a polydimethylsiloxane: influence of the crosslink density and of the hydrophobic/hydrophilic balance on the water transport properties. J. Polym. Sci. B Polym. Phys., 2006, 44, 48-61. [CrossRef]
Figure 1. Schematic presentation of chemical embedding to growing CER network of different amino-POSS nanoparticles: (a) APIB-POSS, (b) AEAPIB-POSS, and (c) NPAP-POSS.
Figure 1. Schematic presentation of chemical embedding to growing CER network of different amino-POSS nanoparticles: (a) APIB-POSS, (b) AEAPIB-POSS, and (c) NPAP-POSS.
Preprints 90516 g001aPreprints 90516 g001b
Figure 2. Temperature dependence (at 1 Hz) of (a) storage modulus, E′, (b) loss modulus, Е″, and (c) tan δ for (1) CER/APIB-POSS, (2) CER/AEAPIB-POSS, (3) CER/NPAP-POSS nanocomposites, and (4) neat CER network. .
Figure 2. Temperature dependence (at 1 Hz) of (a) storage modulus, E′, (b) loss modulus, Е″, and (c) tan δ for (1) CER/APIB-POSS, (2) CER/AEAPIB-POSS, (3) CER/NPAP-POSS nanocomposites, and (4) neat CER network. .
Preprints 90516 g002
Figure 3. DSC thermograms (2nd heating scan) for (1) CER/APIB-POSS, (2) CER/AEAPIB-POSS, (3) CER/NPAP-POSS nanocomposites, and (4) neat CER network.
Figure 3. DSC thermograms (2nd heating scan) for (1) CER/APIB-POSS, (2) CER/AEAPIB-POSS, (3) CER/NPAP-POSS nanocomposites, and (4) neat CER network.
Preprints 90516 g003
Figure 4. Typical (a) TGA and (b) DTG curves (in argon) for (1) CER/APIB-POSS, (2) CER/AEAPIB-POSS, (3) CER/NPAP-POSS nanocomposites, and (4) neat CER network.
Figure 4. Typical (a) TGA and (b) DTG curves (in argon) for (1) CER/APIB-POSS, (2) CER/AEAPIB-POSS, (3) CER/NPAP-POSS nanocomposites, and (4) neat CER network.
Preprints 90516 g004
Figure 5. Specific surface area (a), diffusion coefficient (a), and permeability coefficient (b) for neat CER and CER/amino-POSS films under investigation.
Figure 5. Specific surface area (a), diffusion coefficient (a), and permeability coefficient (b) for neat CER and CER/amino-POSS films under investigation.
Preprints 90516 g005
Figure 6. Water sorption (G) isotherms (a) and evolution of the water diffusion (D) (b) for neat CER (1), CER/NPAP-POSS (2), and CER/AEAPIB-POSS (3) nanocomposites as a function of water activity.
Figure 6. Water sorption (G) isotherms (a) and evolution of the water diffusion (D) (b) for neat CER (1), CER/NPAP-POSS (2), and CER/AEAPIB-POSS (3) nanocomposites as a function of water activity.
Preprints 90516 g006
Table 1. Chemical structure and physical characteristics of the components used.
Table 1. Chemical structure and physical characteristics of the components used.
Name Chemical structure Physical characteristics
Dicyanate ester of bisphenol E, DCBE Preprints 90516 i001 M = 264 g·mol-1
Tm = 29 ºСТb > 240 ºС
D 4 20 = 1.18 g·сm-3
η = 75 mPа·s
Aminopropylisobutyl POSS, APIB-POSS Preprints 90516 i002 M = 875 g·mol-1
D 4 20 = 1.16 g·сm-3
n D 20 = 1.46
Aminoethyl aminopropylisobutyl POSS, AEAPIB-POSS Preprints 90516 i003 M = 918 g·mol-1
D 4 20 =1.17 g·сm-3
n D 20 = 1.50
N-Phenylaminopropyl POSS, NPAP-POSS Preprints 90516 i004 M = 1490 g·mol-1
D 4 20 = 1.20 g·сm-3
n D 20 = 1.57
Table 2. Viscoelastic properties (DMTA data) for CER/amino-POSS nanocomposites and neat CER network.
Table 2. Viscoelastic properties (DMTA data) for CER/amino-POSS nanocomposites and neat CER network.
Sample Tγ,
oC
Tβ,
oC
Tα,
oC
Е'
at 25 oC,
GPa
Mc, g/mol Surface of E'' peak at Tα, MPa/K Height of tan δ (at Tα)
(1)
CCER/APIB-POSS
−92 −43 241 3.24 49 13.61 0.45
(2)
CER/AEAPIB-POSS
−95 −11 270 3.23 83 9.83 0.81
(3)
CER/NPAP-POSS
−99 −28 266 2.99 48 12.92 0.84
(4)
Neat CER network
−85 −37 218 2.72 31 13.83 0.29
Table 3. DSC data for CER/amino-POSS nanocomposites and neat CER network.
Table 3. DSC data for CER/amino-POSS nanocomposites and neat CER network.
Sample
Tg onset,
oC
Tg,
oC
ΔCp,
J·g-1·K-1
(1)
CER/APIB-POSS
204 216 0.363
(2)
CER/AEAPIB-POSS
257 269 0.415
(3)
CER/NPAP-POSS
249 259 0.314
(4)
Neat CER network
203 214 0.351
Table 4. Thermal stability of CER/amino-POSS nanocomposites and neat CER network.
Table 4. Thermal stability of CER/amino-POSS nanocomposites and neat CER network.
Sample Td5%(a),
oC
Td max(b),
oC
Δm (c),
%
mash (d),
%
(1)
CER/APIB-POSS
377 401 23 50
(2)
CER/AEAPIB-POSS
388 408 18 51
(3)
CER/NPAP-POSS
341 401 23 46
(4)
Neat CER network
352 396 21 51
(a) Td5% is the temperature of 5 % mass loss; (b) Td max is the temperature value of maximal degradation rate; (c) Δm is the mass loss at maximal degradation rate; (d) mash is the ash content at T = 630 oC.
Disclaimer/Publisher’s Note: The statements, opinions and data contained in all publications are solely those of the individual author(s) and contributor(s) and not of MDPI and/or the editor(s). MDPI and/or the editor(s) disclaim responsibility for any injury to people or property resulting from any ideas, methods, instructions or products referred to in the content.
Copyright: This open access article is published under a Creative Commons CC BY 4.0 license, which permit the free download, distribution, and reuse, provided that the author and preprint are cited in any reuse.
Prerpints.org logo

Preprints.org is a free preprint server supported by MDPI in Basel, Switzerland.

Subscribe

Disclaimer

Terms of Use

Privacy Policy

Privacy Settings

© 2026 MDPI (Basel, Switzerland) unless otherwise stated