Submitted:
25 September 2023
Posted:
25 September 2023
You are already at the latest version
Abstract

Keywords:
1. Introduction
2. Materials and Methods
2.1. Information on experimental design, soil, and weather
2.2. Sampling and Measurements
2.3. Data analysis
3. Results
3.1. Soil water content under DI
3.2. Root growth in DI
3.2.1. Shoot, root biomass, and root-to-shoot ratio
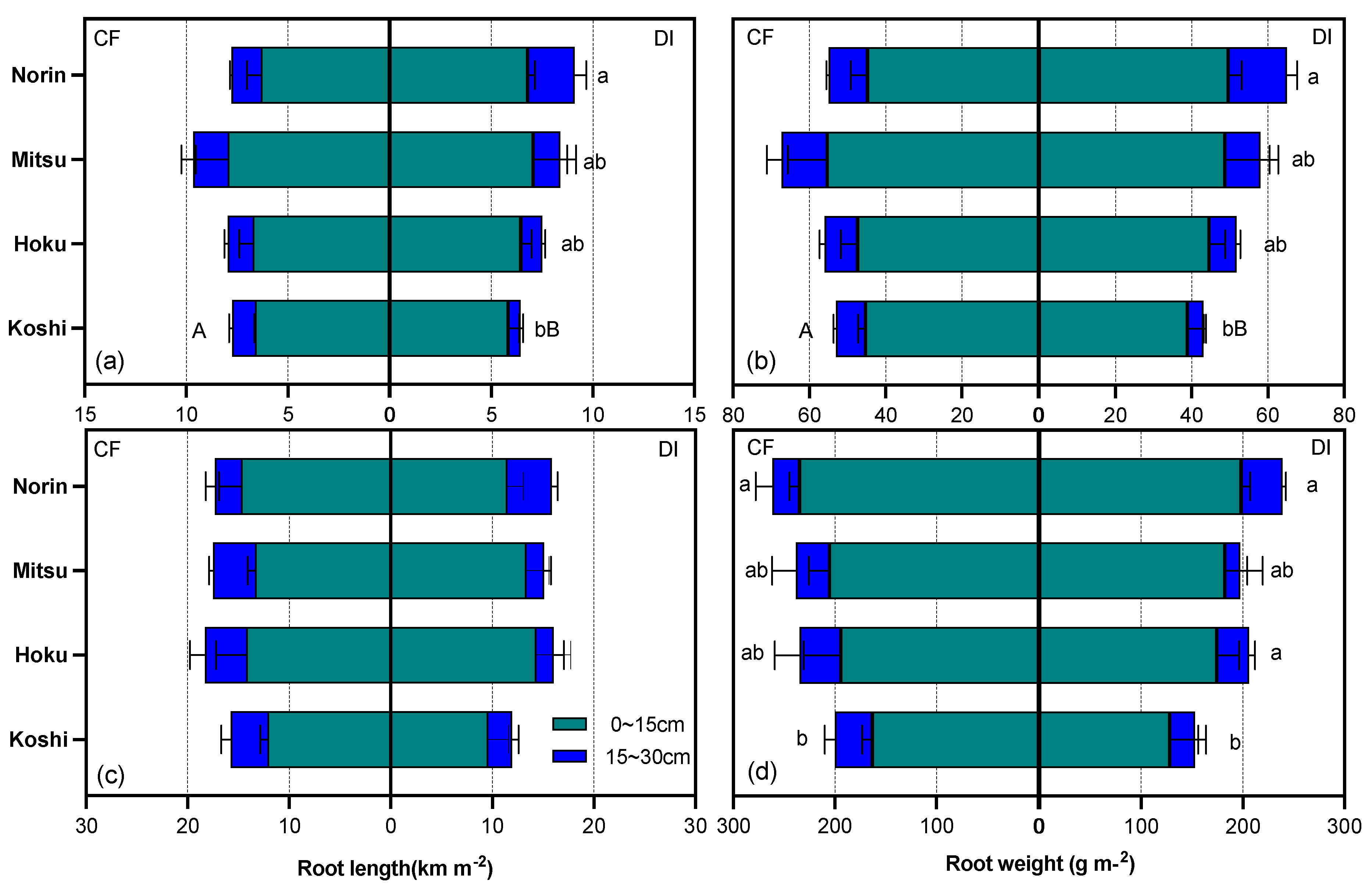
3.2.2. Root distribution pattern
3.2.3. Root bleeding rate
3.3. Photosynthesis-associated parameters
3.4. Yield, yield component, harvest index, and water productivity
4. Discussion
5. Conclusions
Author Contributions
Funding
Data Availability Statement
Acknowledgments
Conflicts of Interest
References
- Belder, P. Water Saving in Lowland Rice Production: An Experimental and Modelling Study. PhD thesis, Wageningen university, Netherlands, 15 June 2005. https://edepot.wur.nl/121681.
- Bouman, B. A. M. A Conceptual Framework for the Improvement of Crop Water Productivity at Different Spatial Scales. Agric. Syst. 2007, 93 (1–3), 43–60. [CrossRef]
- Asian Development Bank. Asian Water Development Outlook 2020: Advancing Water Security across Asia and the Pacific, 0 ed.; Asian Development Bank: Manila, Philippines, 2020. [CrossRef]
- He, H.; Ma, F.; Yang, R.; Chen, L.; Jia, B.; Cui, J.; Fan, H.; Wang, X.; Li, L. Rice Performance and Water Use Efficiency under Plastic Mulching with Drip Irrigation. PLoS ONE 2013, 8 (12), e83103. [CrossRef]
- Fawibe, O. O.; Honda, K.; Taguchi, Y.; Park, S.; Isoda, A. Greenhouse Gas Emissions from Rice Field Cultivation with Drip Irrigation and Plastic Film Mulch. Nutr. Cycl. Agroecosystems 2019, 113 (1), 51–62. [CrossRef]
- Ortíz-Castro, R.; Contreras-Cornejo, H. A.; Macías-Rodríguez, L.; López-Bucio, J. The Role of Microbial Signals in Plant Growth and Development. Plant Signal. Behav. 2009, 4 (8), 701–712. [CrossRef]
- Jung, J. K. H.; McCouch, S. Getting to the Roots of It: Genetic and Hormonal Control of Root Architecture. Front. Plant Sci. 2013, 4. [CrossRef]
- Islam, M. D. D.; Price, A. H.; Hallett, P. D. Contrasting Ability of Deep and Shallow Rooting Rice Genotypes to Grow through Plough Pans Containing Simulated Biopores and Cracks. Plant Soil. 2021, 467 (1–2), 515–530. [CrossRef]
- Kassam, A.; Stoop, W.; Uphoff, N. Review of SRI Modifications in Rice Crop and Water Management and Research Issues for Making Further Improvements in Agricultural and Water Productivity. Paddy Water Environ. 2011, 9 (1), 163–180. [CrossRef]
- Chu, G.; Chen, T.; Wang, Z.; Yang, J.; Zhang, J. Morphological and Physiological Traits of Roots and Their Relationships with Water Productivity in Water-Saving and Drought-Resistant Rice. Field Crops Res. 2014, 162, 108–119. [CrossRef]
- Zhao, X.; Hu, Y.; Liang, B.; Chen, G.; Feng, L.; Pu, T.; Sun, X.; Yong, T.; Liu, W.; Liu, J.; Du, J.; Yang, F.; Wang, X.; Yang, W. Coordination of Density and Nitrogen Fertilization Improves Stalk Lodging Resistance of Strip-Intercropped Maize with Soybeans by Affecting Stalk Quality Traits. Agriculture 2023, 13 (5), 1009. [CrossRef]
- Zhan, A.; Lynch, J. P. Reduced Frequency of Lateral Root Branching Improves N Capture from Low-N Soils in Maize. J. Exp. Bot. 2015, 66 (7), 2055–2065. [CrossRef]
- Kou, X.; Han, W.; Kang, J. Responses of Root System Architecture to Water Stress at Multiple Levels: A Meta-Analysis of Trials under Controlled Conditions. Front. Plant Sci. 2022, 13, 1085409. [CrossRef]
- Miyazaki, A.; Arita, N. Deep Rooting Development and Growth in Upland Rice NERICA Induced by Subsurface Irrigation. Plant Prod. Sci. 2020, 23 (2), 211–219. [CrossRef]
- Feddes, R. A.; Raats, P. A. C. Parameterizing the Soil – Water – Plant Root System. Wageningen UR Frontis Series. 2004, vol.6, Unsaturated-zone Modeling, Progress, Challenges and Applications, pp.95-141 Kluwer, Dordrecht. https://edepot.wur.nl/35358.
- Tatsumi, Y.; Murakami, S.; Ishibashi, Y.; Iwaya-Inoue, M. Characteristics for Deep Root System of a Drought Tolerant Cowpea Cultivar. Cryobiology and Cryotechnology, Japan, 1st September 2009. [CrossRef]
- Fawibe, O. O.; Hiramatsu, M.; Taguchi, Y.; Wang, J.; Isoda, A. Grain Yield, Water-Use Efficiency, and Physiological Characteristics of Rice Cultivars under Drip Irrigation with Plastic-Film-Mulch. J. Crop Improv. 2020, 34 (3), 414–436. [CrossRef]
- Park, S.; Nishikoji, H.; Takahashi, S.; Fawibe, O. O.; Wang, P.; Isoda, A. Rice Cultivation under Drip Irrigation with Plastic Film Mulch in the Kanto Area of Japan. Univers. J. Agric. Res. 2021, 9 (4), 101–110. [CrossRef]
- Wang, J.; Fawibe, O. O.; Fawibe, K. O.; Isoda, A. Water Productivity, Sink Production and Varietal Differences in Panicle Structure of Rice (Oryza Sativa L.) under Drip Irrigation with Plastic-Film Mulch. Field Crops Res. 2023, 291, 108790. [CrossRef]
- Tajima, R.; Kato, Y. 【Short Report】A Quick Method to Estimate Root Length in Each Diameter Class Using Freeware ImageJ. Plant Prod. Sci. 2013, 16 (1), 9–11. [CrossRef]
- Araki, R.; Yamanaka, M. D.; Murata, F.; Hashiguchi, H.; Oku, Y.; Sribimawati, T.; Kudsy, M.; Renggono, F. Seasonal and Interannual Variations of Diurnal Cycles of Wind and Cloud Activity Observed at Serpong, West Jawa, Indonesia. J. Meteorol. Soc. Jpn. Ser II 2006, 84A, 171–194. [CrossRef]
- Luo, Z.; Fan, J.; Shao, M.; Hu, W.; Yang, Q.; Zhang, S. Soil Water Dynamics and Groundwater Evolutions of Check Dams under Natural Rainfall Reduction in Semi-Arid Areas. J. Hydrol. 2023, 617, 129099. [CrossRef]
- Gabriel, C. E.; Kellman, L. Examining Moisture and Temperature Sensitivity of Soil Organic Matter Decomposition in a Temperate Coniferous Forest Soil; preprint; Biogeochemistry: Soils, 2011. [CrossRef]
- Wu, Y.; Du, T.; Li, F.; Li, S.; Ding, R.; Tong, L. Quantification of Maize Water Uptake from Different Layers and Root Zones under Alternate Furrow Irrigation Using Stable Oxygen Isotope. Agric. Water Manag. 2016, 168, 35–44. [CrossRef]
- Alam, Md. K.; Bell, R. W.; Hasanuzzaman, M.; Salahin, N.; Rashid, M. H.; Akter, N.; Akhter, S.; Islam, M. S.; Islam, S.; Naznin, S.; Anik, M. F. A.; Apu, Md. M. R. B.; Saif, H. B.; Alam, M. J.; Khatun, Mst. F. Rice (Oryza Sativa L.) Establishment Techniques and Their Implications for Soil Properties, Global Warming Potential Mitigation and Crop Yields. Agronomy 2020, 10 (6), 888. [CrossRef]
- Bouman, B. A. M.; Yang, X.; Wang, H.; Wang, Z.; Zhao, J.; Chen, B. Performance of Aerobic Rice Varieties under Irrigated Conditions in North China. Field Crops Res. 2006, 97 (1), 53–65. [CrossRef]
- Kato, Y.; Okami, M. Root Growth Dynamics and Stomatal Behaviour of Rice (Oryza Sativa L.) Grown under Aerobic and Flooded Conditions. Field Crops Res. 2010, 117 (1), 9–17. [CrossRef]
- Price, A. H.; Steele, K. A.; Gorham, J.; Bridges, J. M.; Moore, B. J.; Evans, J. L.; Richardson, P.; Jones, R. G. W. Upland Rice Grown in Soil-Filled Chambers and Exposed to Contrasting Water-Deficit Regimes I. Root Distribution, Water Use and Plant Water Status. Field Crops Res. 2002, 76 (1), 11–24. [CrossRef]
- Kato, Y.; Katsura, K. Rice Adaptation to Aerobic Soils: Physiological Considerations and Implications for Agronomy. Plant Prod. Sci. 2014, 17 (1), 1–12. [CrossRef]
- Uga, Y.; Kitomi, Y.; Ishikawa, S.; Yano, M. Genetic Improvement for Root Growth Angle to Enhance Crop Production. Breed. Sci. 2015, 65 (2), 111–119. [CrossRef]
- Kim, Y.; Chung, Y. S.; Lee, E.; Tripathi, P.; Heo, S.; Kim, K.-H. Root Response to Drought Stress in Rice (Oryza Sativa L.). Int. J. Mol. Sci. 2020, 21 (4), 1513. [CrossRef]
- Ajmera, I.; Henry, A.; Radanielson, A. M.; Klein, S. P.; Ianevski, A.; Bennett, M. J.; Band, L. R.; Lynch, J. P. Integrated Root Phenotypes for Improved Rice Performance under Low Nitrogen Availability. Plant Cell Environ. 2022, 45 (3), 805–822. [CrossRef]
- Kato, Y.; Kamoshita, A.; Yamagishi, J.; Imoto, H.; Abe, J. Growth of Rice ( Oryza Sativa L.) Cultivars Under Upland Conditions With Different Levels of Water Supply3. Root System Development, Soil Moisture Changeand Plant Water Status. Plant Prod. Sci. 2007, 10 (1), 3–13. [CrossRef]
- Matsuo, N.; Mochizuki, T. Growth and Yield of Six Rice Cultivars under Three Water-Saving Cultivations. Plant Prod. Sci. 2009, 12 (4), 514–525. [CrossRef]
- Brodersen, C. R.; McElrone, A. J. Maintenance of Xylem Network Transport Capacity: A Review of Embolism Repair in Vascular Plants. Front. Plant Sci. 2013, 4. [CrossRef]
- Lamarque, L. J.; Corso, D.; Torres-Ruiz, J. M.; Badel, E.; Brodribb, T. J.; Burlett, R.; Charrier, G.; Choat, B.; Cochard, H.; Gambetta, G. A.; Jansen, S.; King, A.; Lenoir, N.; Martin-StPaul, N.; Steppe, K.; Van Den Bulcke, J.; Zhang, Y.; Delzon, S. An Inconvenient Truth about Xylem Resistance to Embolism in the Model Species for Refilling Laurus Nobilis L. Ann. For. Sci. 2018, 75 (3), 88. [CrossRef]
- Vilagrosa, A.; Chirino, E.; Peguero-Pina, J. J.; Barigah, T. S.; Cochard, H.; Gil-Pelegrín, E. Xylem Cavitation and Embolism in Plants Living in Water-Limited Ecosystems. In Plant Responses to Drought Stress; Aroca, R., Ed.; Springer Berlin Heidelberg: Berlin, Heidelberg, 2012; pp 63–109. [CrossRef]
- Kulkarni, M.; Soolanayakanahally, R.; Ogawa, S.; Uga, Y.; Selvaraj, M. G.; Kagale, S. Drought Response in Wheat: Key Genes and Regulatory Mechanisms Controlling Root System Architecture and Transpiration Efficiency. Front. Chem. 2017, 5, 106. [CrossRef]
- Li, H.; Ma, X.; Lu, Y.; Ren, R.; Cui, B.; Si, B. Growing Deep Roots Has Opposing Impacts on the Transpiration of Apple Trees Planted in Subhumid Loess Region. Agric. Water Manag. 2021, 258, 107207. [CrossRef]
- Siopongco, J. Dlc.; Yamauchi, A.; Salekdeh, H.; Bennett, J.; Wade, L. J. Growth and Water Use Response of Doubled-Haploid Rice Linesto Drought and Rewatering during the Vegetative Stage. Plant Prod. Sci. 2006, 9 (2), 141–151. [CrossRef]
- Zegada-Lizarazu, W.; Monti, A. Deep Root Growth, ABA Adjustments and Root Water Uptake Response to Soil Water Deficit in Giant Reed. Ann. Bot. 2019, 124 (4), 605–615. [CrossRef]
- Parkash, V.; Singh, S. A Review on Potential Plant-Based Water Stress Indicators for Vegetable Crops. Sustainability 2020, 12 (10), 3945. [CrossRef]
- Shi, L.; Guo, M.; Ye, N.; Liu, Y.; Liu, R.; Xia, Y.; Cui, S.; Zhang, J. Reduced ABA Accumulation in the Root System Is Caused by ABA Exudation in Upland Rice (Oryza Sativa L. Var. Gaoshan1) and This Enhanced Drought Adaptation. Plant Cell Physiol. 2015, 56 (5), 951–964. [CrossRef]
- Gowda, V. R. P.; Henry, A.; Yamauchi, A.; Shashidhar, H. E.; Serraj, R. Root Biology and Genetic Improvement for Drought Avoidance in Rice. Field Crops Res. 2011, 122 (1), 1–13. [CrossRef]
- Kato, Y.; Tajima, R.; Homma, K.; Toriumi, A.; Yamagishi, J.; Shiraiwa, T.; Mekwatanakarn, P.; Jongdee, B. Root Growth Response of Rainfed Lowland Rice to Aerobic Conditions in Northeastern Thailand. Plant Soil 2013, 368 (1–2), 557–567. [CrossRef]
- Vadez, V.; Kholova, J.; Medina, S.; Kakkera, A.; Anderberg, H. Transpiration Efficiency: New Insights into an Old Story. J. Exp. Bot. 2014, 65 (21), 6141–6153. [CrossRef]
- Aroca, R.; Porcel, R.; Ruiz-Lozano, J. M. Regulation of Root Water Uptake under Abiotic Stress Conditions. J. Exp. Bot. 2012, 63 (1), 43–57. [CrossRef]
- Morita, S.; Okamoto, M.; Abe, J.; Yamagishi, J. Bleeding Rate of Field-Grown Maize with Reference to Root System Development. Jpn. J. Crop Sci. 2000, 69 (1), 80–85. [CrossRef]
- He, Z.; Xu, C.; Liu, B.; Yao, B.; Wang, H.; Chen, Z. Y.; Li, D. Y.; Bai, Z. Y.; Zhang, Z. A. Relationship between Photosynthesis, Bleeding-Sap Mass, and Bleeding Components in Maize Hybrids and Corresponding Parents in Northern China. Photosynthetica 2019, 57 (2), 698–704. [CrossRef]
- Ansari, T. H.; Yamamoto, Y.; Yoshida, T.; Sakagami, K.; Miyazaki, A. Relation between Bleeding Rate during Panicle Formation Stage and Sink Size in Rice Plant. Soil Sci. Plant Nutr. 2004, 50 (1), 57–66. [CrossRef]
- Liu, C.; Wang, X.; Tu, B.; Li, Y.; Chen, H.; Zhang, Q.; Liu, X. Root K Affinity Drivers and Photosynthetic Characteristics in Response to Low Potassium Stress in K High-Efficiency Vegetable Soybean. Front. Plant Sci. 2021, 12, 732164. [CrossRef]
- Li, H.; Li, L.; Liu, N.; Chen, S.; Shao, L.; Sekiya, N.; Zhang, X. Root Efficiency and Water Use Regulation Relating to Rooting Depth of Winter Wheat. Agric. Water Manag. 2022, 269, 107710. [CrossRef]
- Evans, R. G.; Sadler, E. J. Methods and Technologies to Improve Efficiency of Water Use: INCREASING WATER USE EFFICIENCIES. Water Resour. Res. 2008, 44 (7). [CrossRef]
- Wang, S.; Li, L.; Zhou, D. Root Morphological Responses to Population Density Vary with Soil Conditions and Growth Stages: The Complexity of Density Effects. Ecol. Evol. 2021, 11 (15), 10590–10599. [CrossRef]
- Foxx, A. J.; Fort, F. Root and Shoot Competition Lead to Contrasting Competitive Outcomes under Water Stress: A Systematic Review and Meta-Analysis. PLOS ONE 2019, 14 (12), e0220674. [CrossRef]
- Nadeem, M.; Wu, J.; Ghaffari, H.; Kedir, A. J.; Saleem, S.; Mollier, A.; Singh, J.; Cheema, M. Understanding the Adaptive Mechanisms of Plants to Enhance Phosphorus Use Efficiency on Podzolic Soils in Boreal Agroecosystems. Front. Plant Sci. 2022, 13, 804058. [CrossRef]
- Zhang, W.; Dong, A.; Liu, F.; Niu, W.; Siddique, K. H. M. Effect of Film Mulching on Crop Yield and Water Use Efficiency in Drip Irrigation Systems: A Meta-Analysis. Soil Tillage Res. 2022, 221, 105392. [CrossRef]










Disclaimer/Publisher’s Note: The statements, opinions and data contained in all publications are solely those of the individual author(s) and contributor(s) and not of MDPI and/or the editor(s). MDPI and/or the editor(s) disclaim responsibility for any injury to people or property resulting from any ideas, methods, instructions or products referred to in the content. |
© 2023 by the authors. Licensee MDPI, Basel, Switzerland. This article is an open access article distributed under the terms and conditions of the Creative Commons Attribution (CC BY) license (http://creativecommons.org/licenses/by/4.0/).