Submitted:
12 September 2023
Posted:
14 September 2023
You are already at the latest version
Abstract
Keywords:
1. Introduction
2. Materials and Methods
2.1. Main Raw Materials of the Regenerated Magnesia-Calcium Bricks
2.2. Preparation of the Regenerated Magnesia-Calcium Brick Samples
2.3. Characterization and Performance Test of the Regenerated Magnesia-Calcium Brick Samples
3. Results
3.1. Phase Compositions of the Regenerated Magnesia-Calcium Bricks
3.2. Microstructures of Regenerated Magnesia-Calcium Bricks
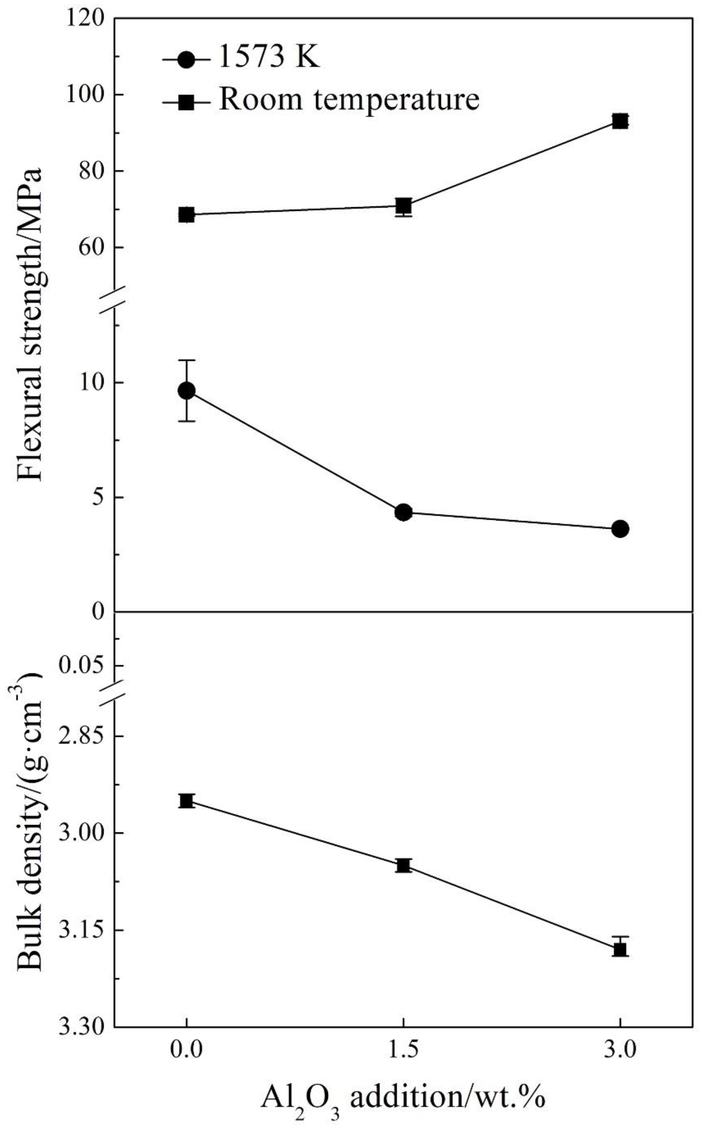
3.3. Room Temperature and Hot Flexural Strength of the Regenerated Magnesia-Calcium Bricks
3.4. Resistance to Cement Clinker Corrosion of the Regenerated Magnesia-Calcium Bricks
4. Conclusions
Author Contributions
Institutional Review Board Statement
Informed Consent Statement
Data Availability Statement
Acknowledgments
Conflicts of Interest
References
- Nievoll, J.; Guo, Z.Q.; Shi, S. Performance of magnesia hercynite bricks in large Chinese cement rotary kilns. RHI Bulletin 2006, 3, 15–17. [Google Scholar]
- Schacht, C. Refractories Handbook; CRC Press: Boca Raton, FL, USA, 2004; p. 607. [Google Scholar]
- Driscoll, M.O. Price temper steel market promise. Ind. Miner. 1994, 324, 35–49. [Google Scholar]
- Guo, M.; Jones, P.T.; Parada, S.; Boydens, E.; Dyck, J.V.; Blanpain, B.; Wollants, P. Degradation mechanisms of magnesia–chromite refractories by high–alumina stainless steel slags under vacuum conditions. J. Eur. Ceram. Soc. 2006, 26, 3831–3843. [Google Scholar] [CrossRef]
- Gómez–Rodríguez, C.; Antonio–Zárate, Y.; Revuelta–Acosta, J.; Verdeja, L.F.; Fernández–González, D.; López–Perales, J.F.; Rodríguez–Castellanos, E.A.; García–Quiñonez, L.V.; Castillo–Rodríguez, G.A. Research and development of novel refractory of MgO doped with ZrO2 nanoparticles for copper slag resistance. Materials. 2021, 14, 2277. [Google Scholar] [CrossRef] [PubMed]
- Zhu, B.Q.; Fang, B.X.; Zhang, W.J.; Li, X.C.; Wan, H.B. Corrosion mechanism of ladle furnace refining slag to fired MgO–CaO bricks. China’s refractories, 2010, 019, 1–4. [Google Scholar]
- Wei, Y.W.; Li, N. Refractories for clean steel making. Am. Ceram. Soc. Bull. 2002, 81, 32–35. [Google Scholar]
- Qiu, G.B.; Peng, B.; Guo, M.; Zhang, M. Regeneration utilization of spent MgO–CaO bricks for argon oxygen decarburization furnace. J. Chin. Ceram. Soc. 2013, 41, 1284–1289. [Google Scholar]
- Soltanieh, M.; Payandeh, Y. Relationship between oxygen chemical potential and steel cleanliness. J. Iron Steel Res. Int. 2005, 12, 28–33, 62. [Google Scholar]
- Rabah, M.; Ewais, E.M.M. Multi–impregnating pitch–bonded Egyptian dolomite refractory brick for application in ladle furnaces. Ceram. Int. 2009, 35, 813–819. [Google Scholar] [CrossRef]
- Chen, S.J.; Tian, L.; Li, G.H.; Tian, F.R. MgO–CaO refractories, Ed. by L. Song, Metallurgical Industry Press, Beijing, China, 2012; pp. 25, 52–57.
- Yu, J.K.; Dai, W.B. Influence of fine α–Al2O3 powder on the properties of the magnesia–calcia refractories. J. Northeast. Univ. (Natural Science), 2003, 24, 1068–1070. [Google Scholar]
- Shahraki, A.; Ghasemi–Kahrizsangi, S.; Nemati, A. Performance improvement of MgO–CaO refractories by the addition of nano–sized Al2O3. Mater. Chem. Phys. 2017, 198, 354–359. [Google Scholar] [CrossRef]
- Qiu, G.B.; Peng, B.; Li, X.; Guo, M.; Zhang, M. Hydration resistance and mechanism of regenerated MgO–CaO bricks. J. Ceram. Soc. Jpn. 2015, 123, 1–6. [Google Scholar] [CrossRef]
- Liang, Y.B.; Shen, X.L. Effects of spent MgO–CaO bricks additive amount on the properties of baking MgO–CaO bricks. Refractories 2008, 42, 392–393. [Google Scholar]
- Zhang, W.; Shi, G.; Wei, F.C.; Wang, C.Y. Preparation of magnesia–calcia dry mix from used MgO–CaO bricks. Refractories 2012, 46, 126–128. [Google Scholar]
- Yang, W.Z.; Chen, S.J.; Wei, Z.L.; Zhang, F.Q. Effect of Al2O3 additions on characteristic of burned magnesia–calcia brick. J. Anshan Univ. Sci. Technol. 2003, 26, 425–428. [Google Scholar]
- Cheng, X.; Liu, L.; Xiao, L.H.; Huo, X.T.; Guo, M.; Zhang, M. , Effect of MgO on corrosion mechanism under LF refining slag for MgAlON–MgO composites synthesized from spent MgO–C brick: Wetting behaviour, reaction process and infiltration mechanism. J. ALLOY. COMPD. 2023, 963, 171278. [Google Scholar] [CrossRef]
- Zhu, Z.P.; Jiang, T.; Li, G.H.; Guo, Y.F.; Yang, Y.B. Thermodynamics of reactions among Al2O3, CaO, SiO2 and Fe2O3 during roasting processe. Thermodynamics–Interaction Studies–Solids, Liquids and Gases, Chapter 30; Moreno–pirajan, InTech, 2011, 825–838.
- Qiu, G.B.; Peng, B.; Yue, C.S.; Guo, M.; Zhang, M. Properties of regenerated MgO–CaO refractory bricks: impurity of iron oxide. Ceram. Int. 2016, 42, 2933–2940. [Google Scholar] [CrossRef]
- Sun, Y.F.; Wang, X.M.; Wang, C. X.; Sun, P.Q. Magnesia and magnesium matrix composite refractories; Metallurgical Industry Press, Beijing, 2010, pp. 25, 32.
- Taschler, T. Refractory materials for the copper and lead industry, In Tehran International Conference on Refractories; Iran, 2004; pp. 302–320.
- Wang, Z.F.; Chen, J.; Wang, X.T.; Zhang, B.G.; Liu, H. Effects of rare earth oxides on physical properties and coating adhering performance of magnesia refractories. J. Wuhan Univ. Sci. Technol. 2010, 33, 595–598. [Google Scholar]
- Zhang, B.X. Research on non–chromium refractory for rotary cement kiln in burning zone. Master Dissertation, University of Science and Technology Liaoning, Anshan Liaoning, 2008. [Google Scholar]










| Constituents | MgO | CaO | SiO2 | Fe2O3 | Al2O3 |
|---|---|---|---|---|---|
| Spent magnesia-calcium bricks | 58.18 | 33.92 | 2.81 | 2.68 | 1.51 |
| Fused magnesia | 94.16 | 1.63 | 2.64 | 1.00 | 0.27 |
| Al2O3 powder | – | – | 0.30 | 0.03 | 98.75 |
| Samples | MgO | CaO | SiO2 | Fe2O3 | Al2O3 | Al2O3 powder additive |
|---|---|---|---|---|---|---|
| A0 | 70 | 23.31 | 2.66 | 2.21 | 1.10 | 0 |
| A1.5 | 70 | 23.31 | 2.66 | 2.21 | 1.10 | 1.5 |
| A3.0 | 70 | 23.31 | 2.66 | 2.21 | 1.10 | 3.0 |
| Calcium–based phases | A0 | A1.5 | A3.0 |
| C3S | 10.11 | 9.98 | 9.85 |
| C4AF | 5.25 | 6.62 | 6.53 |
| C2F | 0.82 | 0.00 | 0.00 |
| C3A | 0.00 | 3.05 | 6.81 |
| f–CaO | 13.11 | 10.66 | 8.12 |
Disclaimer/Publisher’s Note: The statements, opinions and data contained in all publications are solely those of the individual author(s) and contributor(s) and not of MDPI and/or the editor(s). MDPI and/or the editor(s) disclaim responsibility for any injury to people or property resulting from any ideas, methods, instructions or products referred to in the content. |
© 2023 by the authors. Licensee MDPI, Basel, Switzerland. This article is an open access article distributed under the terms and conditions of the Creative Commons Attribution (CC BY) license (http://creativecommons.org/licenses/by/4.0/).