Submitted:
20 July 2023
Posted:
24 July 2023
You are already at the latest version
Abstract
Keywords:
1. Introduction
2. Results
2.1. Abiotic Environmental Conditions
2.2. Phenotypic Responses of SLA, LDMC, SLWC and LT to Temperature
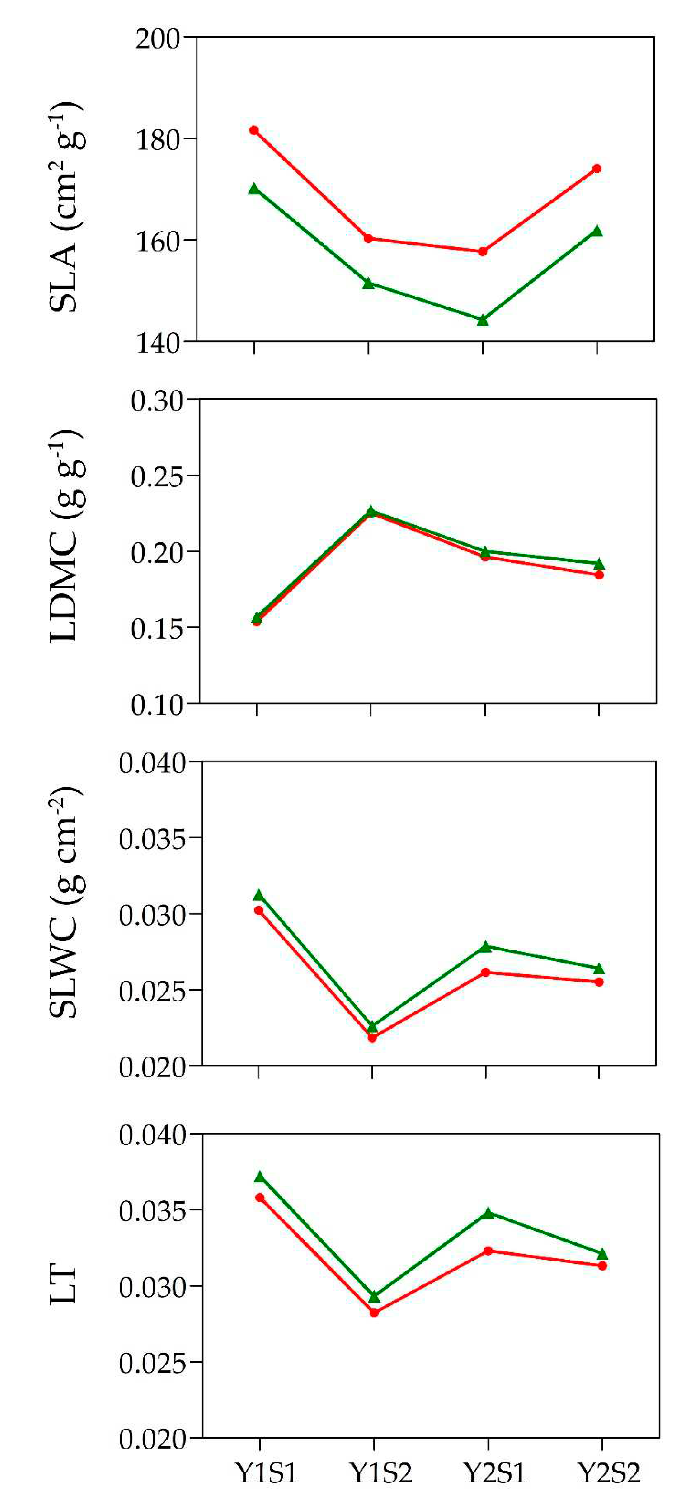
2.3. Reaction Norm Graphs for SLA, LDMC, SLWC and LT
2.4. Profile Analysis
2.5. Kendall Rank Correlations between Functional Leaf Traits
2.6. Regression Analysis
3. Discussion
4. Materials and Methods
4.1. The Study Species
4.2. Open Top Chambers and Experimental Design
4.3. Measuring Environmental Variables
4.4. Leaf Sampling and Leaf Traits Measuring
4.5. Statistical Analyses
5. Conclusions
Author Contributions
Funding
Data Availability Statement
Conflicts of Interest
References
- Sakschewski, B.; Bloh von, W.; Boit, A.; Rammig, A.; Kattge, J.; Poorter, L.; Peñuelas, J.; Thonicke, K. Leaf and stem economics spectra drive diversity of functional plant traits in a dynamic global vegetation model. Glob. Chang. Biol. 2015, 21, 2711–2725. [Google Scholar] [CrossRef]
- Wuebbles, D.J.; Easterling, D.R.; Hayhoe, K.; Knutson, T.; Kopp, R.E.; Kossin, J.P.; Kunkel, K.E.; LeGrande, A.N.; Mears, C.; Sweet, W.V.; Taylor, P.C.; Vose, R.S.; Wehner, M.F. Our globally changing climate. In Climate Science Special Report: Fourth National Climate Assessment, Volume I. Wuebbles, D.J.; Fahey, D.W.; Hibbard, K.A.; Dokken, D.J.; Stewart, B.C.; Maycock, T.K. Eds., U.S. Global Change Research Program, 2017; pp. 35–72.
- IPCC, 2021: Summary for Policymakers. In: Climate Change 2021: The Physical Science Basis. Contribution of Working Group I to the Sixth Assessment Report of the Intergovernmental Panel on Climate Change [Masson-Delmotte, V., P. Zhai, A. Pirani, S.L. Connors, C. Péan, S. Berger, N. Caud, Y. Chen, L. Goldfarb, M.I. Gomis, M. Huang, K. Leitzell, E. Lonnoy, J.B.R. Matthews, T.K. Maycock, T. Waterfield, O. Yelekçi, R. Yu, and B. Zhou., Eds.]. Cambridge University Press: Cambridge, United Kingdom and New York, NY, USA, 2021, pp. 3−32. [CrossRef]
- Nogués-Bravo, D.; Rodríguez-Sánchez, F.; Orsini, L.; de Boer, E.; Jansson, R.; Morlon, H.; Fordham, D.A.; Jackson. S.T. Cracking the code of biodiversity responses to past climate change. Ecol. Evol. 2018, 2415, 1–12. [Google Scholar] [CrossRef]
- Warren, R.; Price, J.; Graham, E.; Forstenhaeusle, R.; Vanderwal, J. The projected effect on insects, vertebrates, and plants of limiting global warming to 1.5°C rather than 2°C. Science 2018, 360, 791–795. [Google Scholar] [CrossRef] [PubMed]
- Adam, M.M.; Lenzner, B.; van Kleunen, M.; Essl, F. Call for integrating future patterns of biodiversity into European conservation policy. Conserv. Lett. 2022, 15, 1–1312911. [Google Scholar] [CrossRef]
- Nicotra, A.B.; Atkin, O.K.; Bonser, S.P.; Davidson, A.M.; Finnegan, E.J.; Mathesius, U.; Poot, P.; Purugganan, M.D.; Richards, C.L.; Valladares, F.; van Kleunen, M. Plant phenotypic plasticity in a changing climate. Trends Plant Sci. 2010, 15, 684–692. [Google Scholar] [CrossRef] [PubMed]
- Anderson, J.T.; Inouye, D.W.; McKinney, A.M.; Colautti, R.I.; Mitchell-Olds, T. Phenotypic plasticity and adaptive evolution contribute to advancing flowering phenology in response to climate change. Proc Biol. Sci . Proc. R. Soc. B: Biol. Sci. 2012, 279, 3843–3852. [CrossRef]
- Gauzere, J.; Teuf, B.; Davi, H.; Chevin, L.M.; Caignard, T.; Leys, B.; Delzon, S.; Ronce, O.; Chuine, I. Where is the optimum? Predicting the variation of selection along climatic gradients and the adaptive value of plasticity. A case study on tree phenology. Evol. Lett. 2020, 4, 109–123. [Google Scholar] [CrossRef]
- Scheiner, S.M.; Barfield, M.; Holt, R.D. The genetics of phenotypic plasticity. XVII. Responses to climate change. Evol. Appl. 2020, 13, 388–399. [Google Scholar] [CrossRef]
- Anderson, J.; Song, B.H. Plant adaptation to climate change – Where are we? J. Syst. Evol. 2020, 58, 533–545. [Google Scholar] [CrossRef] [PubMed]
- Greenspoon, P.B.; Spencer, H.G. Avoiding extinction under nonlinear environmental change: models of evolutionary rescue with plasticity. Biol. Lett. 2021, 17, 20210459. [Google Scholar] [CrossRef] [PubMed]
- Stotz, G.S.; Salgado-Luarte, C.; Escobedo, V.M.; Valladares, F.; Gianoli, E. Global trends in phenotypic plasticity of plants. Ecol. Lett. 2021, 24, 2267–2281. [Google Scholar] [CrossRef]
- Schneider, H.M. Characterization, costs, cues and future perspectives of phenotypic plasticity. Ann. Bot. 2022, 130, 131–148. [Google Scholar] [CrossRef] [PubMed]
- Bradshow, A.D. Evolutionary significance of phenotypic plasticity in plants. Adv. Genet. 1965, 13, 115–155. [Google Scholar] [CrossRef]
- Sultan, S.E. Phenotypic plasticity for plant development, function and life history. Trends Plant Sci. 2000, 5, 537–542. [Google Scholar] [CrossRef] [PubMed]
- Pigliucci, M. Phenotypic plasticity: beyond nature and nature; John Hopkins University Press: Baltimore, USA; ISBN 0801867886.
- Sultan, S.E.; Stearns, S.C. Environmentally contingent variation: Phenotypic plasticity and norms of reactions. In Variation: a hierarchical examination of a central concept in biology. Hall, B., Hallgrimsson, B., eds.; Elsevier Acadedemic Press: New York, USA, 2005; pp. 303–332. [Google Scholar] [CrossRef]
- Pigliucci, M.; Murren, C.J.; Schlichting, C.D. Phenotypic plasticity and evolution by genetic assimilation. J. Exp. Biol. 2006, 209, 2362–2367. [Google Scholar] [CrossRef] [PubMed]
- Holt, R.D. The microevolutionary consequences of climate change. Trends Ecol. Evol. 1990, 5, 311–315. [Google Scholar] [CrossRef]
- Pigliucci, M. How organisms respond to environmental changes: from phenotypes to molecules (and vice versa). Trends Ecol. Evol. 1996, 11, 168–173. [Google Scholar] [CrossRef]
- Jump, A.S.; Penuelas, J. Running to stand still: Adaptation and the response of plants to rapid climate change. Ecol. Lett. 2005, 8, 1010–1020. [Google Scholar] [CrossRef]
- Gienapp, P.; Teplitsky, C.; Alho, J.S.; Mills, A.; Merilä, J. Climate change and evolution: disentangling environmental and genetic responses. Mol. Ecol. 2008, 17, 167–178. [Google Scholar] [CrossRef]
- Merilä, J.; Hendry, A.P. Climate change, adaptation, and phenotypic plasticity: the problem and the evolution. Evol. Appl. 2014, 7, 1–14. [Google Scholar] [CrossRef]
- Snell-Rood, E.C.; Kobiela, M.E.; Sikkink, K.L.; Shephard, A.M. Mechanisms of plastic rescue in novel environments. Annu. Rev. Ecol. Evol. Syst. 2018, 49, 331–354. [Google Scholar] [CrossRef]
- Fox, R.J.; Donelson, J.M.; Schunter, C.; Ravasi, T.; Gaitán-Espitia, J.D. Beyond buying time: the role of plasticity in phenotypic adaptation to rapid environmental change. Phil. Trans. R. Soc. B. 2019, 374, 20180174. [Google Scholar] [CrossRef] [PubMed]
- Snell-Rood, E.C.; Van Dyken, J.D.; Cruickshank, T.; Moczek, A. Toward a population genetic framwork of developmental evolution: the costs, limits, and consequences of phenotypic plasticity. Bioessays. 2010, 32, 71–81. [Google Scholar] [CrossRef] [PubMed]
- Lalejini, A.; Ferguson, A.J.; Grant, H.A.; Ofria, C. Adaptive phenotypic plasticity stabilizes evolution in fluctuating environments. Front. Ecol. Evol. 2021, 9, 715381. [Google Scholar] [CrossRef]
- Matesanz, S.; Gianoli, E.; Valladares, F. Global change and the evolution of phenotypic plasticity in plants. Ann. N.Y. Acad. Sci. 2010, 1206, 35–55. [Google Scholar] [CrossRef] [PubMed]
- Vázquez, D.P.; Gianoli, E.; Morris, W.F.; Bozinovic, F. Ecological and evolutionary impacts of changing climatic variability. Biol. Rev. 2015, 92, 22–42. [Google Scholar] [CrossRef]
- Carvajal, D.E.; Loayza, A.P.; Rios, R.S.; Gianoli, E.; Squeo, F.A. Population variation in drought-resistance strategies in a desert shrub along an aridity gradient: Interplay between phenotypic plasticity and ecotypic differentiation. Perspect. Plant Ecol. Evol. Syst. 2017, 29, 12–19. [Google Scholar] [CrossRef]
- Alpert, P.; Simms, E.L. The relative advantages of plasticity and fixity in different environments: when is it good for a plant to adjust? Evol. Ecol. 2002, 16, 285–297. [Google Scholar] [CrossRef]
- Marion, G.M.; Henry, G.H.R.; Freckman, D.W.; Johnstone, J.; Jones, G.; Jones, M.H.; Levesque, E.; Molau, U.; Mølgaard, P.; Parsons, A.N.; Svoboda, J. Open-top designs for manipulating field temperature in high-latitude ecosystems. Glob. Chang. Biol. 1997, 3, 20–32. [Google Scholar] [CrossRef]
- Arft, A.M.; Walker, M.D.; Gurevitch, J.E.T.A.; Alatalo, J.M.; Bret-Harte, M.S.; Dale, M.; Diemer, M.; Gugerli, F.; Henry, G.H.R.; Jones, M.H.; Hollister, R.D. Responses of tundra plants to experimental warming: meta-analysis of the international tundra experiment. Ecol. Monogr. 1999, 69, 491–511. [Google Scholar] [CrossRef]
- Kreyling, J. Winter climate change: a critical factor for temperate vegetation performance. Ecology 2010, 91, 1939–1948. [Google Scholar] [CrossRef]
- Yang, Y.; Hopping, K.A.; Wang, G.; Chen, J.; Peng, A.; Klein, J.A. Permafrost and drought regulate vulnerability of Tibetan Plateau grasslands to warming. Ecosphere. 2018, 9, e02233. [Google Scholar] [CrossRef]
- Hollister, R.D.; Webber, P.J.; Tweedie, C.E. The response of Alaskan arctic tundra to experimental warming: differences between short-and long-term responses. Glob. Chang. Biol. 2005, 11, 525–536. [Google Scholar] [CrossRef]
- Bokhorst, S.; Huiskes, A.H.L.; Convey, P.; Sinclair, B.J.; Lebouvier, M.; van de Vijver, B.; Wall, D.H. Microclimate impacts of passive warming method in Antarctica: implications for climate change studies. Polar Biol. 2011, 34, 1421–1435. [Google Scholar] [CrossRef]
- Bokhorst, S.; Huiskes, A.D.; Aerts, R.; Convey, P.; Cooper, E.J.; Dalen, L.; Erschbamer, B.; Gudmundsson, J.; Hofgaard, A.; Hollister, R.D.; Johnstone, J. Variable temperature effects of Open Top Chambers at polar and alpine sites explained by irradiance and snow depth. Glob. Chang. Biol. 2013, 19, 64–74. [Google Scholar] [CrossRef] [PubMed]
- Elmendorf, S.C.; Henry, G.H.; Hollister, R.D.; Björk, R.G.; Bjorkman, A.D.; Callaghan, T.V.; Collier, L.S.; Cooper, E.J.; Cornelissen, J.H.; Day, T.A.; Fosaa, A.M.; Gould, W.A.; Grétarsdóttir, J.; Harte, J., Hermanutz, L.; Hik, D.S.; Hofgaard, A.; Jarrad, F.; Jónsdóttir, I.S.; Keuper, F.; Klanderud, K.; Klein, J.A.; Koh, S.; Kudo, G.; Lang, S.I.; Loewen, V.; May, J.L.; Mercado, J.; Michelsen, A., Molau, U., Myers-Smith, I.H.; Oberbauer, S.F.; Pieper, S.; Post, E.; Rixen, C.; Robinson, C.H.; Schmidt, N.M.; Shaver, G.R.; Stenström, A.; Tolvanen, A.; Totland, Ø.; Troxler, T.; Wahren, C.H.; Webber, P.J.; Welker, J.M.; Wookey, P.A. Global assessment of experimental climate warming on tundra vegetation: heterogeneity over space and time. Ecol. Lett. 2012, 15, 164–175. [CrossRef]
- Klein, J.A.; Harte, J.; Zhao, X.Q. Experimental warming causes large and rapid species loss, dampened by simulated grazing, on the Tibetan Plateau. Ecol. Lett. 2004, 7, 1170–1179. [Google Scholar] [CrossRef]
- Na, L.; Genxu, W.; Yan, Y.; Yongheng, G.; Guangsheng, L. Plant production, and carbon and nitrogen source pools, are strongly intensified by experimental warming in alpine ecosystems in the Qinghai-Tibet Plateau. Soil Biol. Biochem. 2011, 43, 942–953. [Google Scholar] [CrossRef]
- Peng, A.; Klanderud, K.; Wang, G.; Zhang, L.; Xiao, Y.; Yang, Y. Plant community responses to warming modified by soil moisture in the Tibetan Plateau. Arctic Antarct. Alp. Res. 2020, 52, 60–69. [Google Scholar] [CrossRef]
- Carlson, S.M.; Cunnigham, C.J.; Westley, P.A.H. Evolutionary rescue in a changing world. Trends Ecol. Evol. 2014, 29, 521–530. [Google Scholar] [CrossRef]
- Ackerly, D.D.; Dudley,S.A.; Sultan, S.E.; Schmitt, J.; Coleman, J.S.; Linder, C.R.; Sandquist, D.R.; Geber, M.A.; Evans, A.S.; Dawson, T.E. The evolution of plant ecophysiological traits: recent advances and future directions: new research addresses natural selection, genetic constraints, and the adaptive evolution of plant ecophysiological traits. BioScience. 2000, 50, 979–995. [CrossRef]
- Westoby, M. A leaf-height-seed (LHS) plant strategy scheme. Plant Soil. 1998, 199, 213–227. [Google Scholar] [CrossRef]
- Meziane, D.; Shipley, B. Direct and indirect relationships between specific leaf area, leaf nitrogen and leaf gas exchange. Effects of irradiance and nutrient supply. Ann. Bot. 2001, 88, 915–927. [Google Scholar] [CrossRef]
- Poorter, H.; Niinemetes, Ü.; Poorter, L.; Wright, I.J.; Villar, R. Causes and consequences of variation in leaf mass per area (LMA): a meta-analysis. New Phytol. 2009, 182, 565–588. [Google Scholar] [CrossRef] [PubMed]
- Poorter, H.; De Jong, R.O.B. A comparison of specific leaf area, chemical composition and leaf construction costs of field plants from 15 habitats differing in productivity. New Phytol. 1999, 143, 163–176. [Google Scholar] [CrossRef]
- Garnier, E.; Cortez, J.; Billè, G.; Navas, M.L.; Roumet, C.; Debussche, M.; Laurent, G.; Blanchard, A.B.; Aubry, D.; Bellmann, A.; Neill, C.; Toussaint, J.P. Plant functional markers capture ecosystem properties during secondary succession. Ecology. 2004, 85, 2630–2637. [Google Scholar] [CrossRef]
- Wilson, P.; Thomson, K.; Hodgson, J. Specific leaf area and leaf dry matter content as alternative predictors of plant strategies. New Phytol. 1999, 143, 155–162. [Google Scholar] [CrossRef]
- Vile, D.; Garnier, E.; Shipley, B.; Laurent, G.; Navas, M.L.; Roumet, C.; Lavorel, S.; Díaz, S.; Hodgson, J.G.; Lloret, F.; Midgley, G.F.; Poorter, H.; Rutherford, M.H.; Wilson, P.J.; Wright, I.J. Specific leaf are and dry matter content estimate thickness in laminar leaves. Ann. Bot. 2005, 96, 1129–1136. [Google Scholar] [CrossRef]
- Vendramini, F.; Diaz, S.; Gurvich, D.E.; Wilson, P.J.; Thomson,K. ; Hodgson, J.G. Leaf traits as indicator of resource-use strategy in floras with succulent species. New Phytol. 2002, 154, 147–157. [Google Scholar] [CrossRef]
- Sylvertsen, J.P.; Lloyd, J.; McConchie, C.; Kriedemann, P.E.; Farquhar, G.D. On the relationship between leaf anatomy and CO2 diffusion through the mesophyll of hypostomatous leaves. Plant Cell Environ. 1995, 18, 149–157. [Google Scholar] [CrossRef]
- Garnier, E.; Salager, J.L.; Laurent, G.; Sonié, L. Relationship between photosynthesis, nitrogen and leaf structure in 14 grass species and their dependence on the basis of expression. New Phytol. 1999, 143, 119–149. [Google Scholar] [CrossRef]
- Poorter, H.; Remkes, C.; Lambers, H. Carbon and nitrogen economy of 24 wild species differing in relative growth rate. Plant Physiol. 1990, 94, 621–627. [Google Scholar] [CrossRef] [PubMed]
- Nielsen, S.L.; Enriquez, S.; Duarte, C.M; Sand-Jensen, K. Scaling maximum growth rates across photosynthetic organisms. Funct. Ecol. 1996, 10, 167–175. [Google Scholar] [CrossRef]
- Diaz, S.; Hodgson, J.G.; Thompson, K.; Cabido, M.; Cornelissen. J.H.C.; Jalili, A.; Montserrat-Martí, G.; Grime, J.P.; Zarrinkamar, F.; Asri, Y.; Band, S.R.; Basconcelo, S.; Castro-Díez, P.; Funes, G.; Hamzehee, B.; Khoshnevi, M.; Pérez-Harguindeguy, N.; Pérez-Rontomé, M.C.; Shirvany, F.A.; Vendramini, F.; Yazdani, S.; Abbas-Azimi, R.; Bogaard, A.; Boustani, S.; Charles, M.; Dehghan, M ; de Torres-Espuny, L.;. Falczuk, V.; Guerrero-Campo, J.; Hynd, A.; Jones, G.; Kowsary, E.; Kazemi-Saeed, F.; Maestro-Martínez, M.; Romo-Díez, A.; Shaw, S.; Siavash, B.; Villar-Salvador, P.; Zaket M.R. The plant traits that drive ecosystems: Evidence from three continents. J. Veg. Sci. 2004, 15, 295–304. [CrossRef]
- Wang, Z.; Huang, H.; Wang, H.; Peñuelas. J.; Sardans, J.; Niinemets, Ü.; Niklas, K.J.; Li, Y.; Xie, J.; Wright, I.J. Leaf water content contributes to global leaf trait relationships. Nat. Commun. 2022, 13, 5525. [Google Scholar] [CrossRef]
- Garnier, E.; Laurent, G. Leaf anatomy, specific mass and water content in congeneric annual and perennial grass species. New Phytol. 1994, 128, 725–736. [Google Scholar] [CrossRef]
- Morrissey, MB,; Liefting, M. Variation in reaction norms: Statistical considerations and Biological interpretation. Evolution. 2016, 70, 1944–1959. [Google Scholar] [CrossRef]
- Arnold, P.A.; Kruuk. L.E.B.; Nicotra, A.B. How to analyse plant phenotypic plasticity in response to a changing climate. New Phytol. 2019, 222, 1235–1241. [Google Scholar] [CrossRef]
- Woltereck, R. Weitere experimemtelle Untersuchungen über Artveränderung, speciel über das Wesen quantitativer Artunterschiede bei Daphniden. Verh. D. Tsch. Zool. Ges. 1909, 19, 110–173. [Google Scholar]
- Schmalhausen, I.I. Factors of evolution: the theory of stabilizing selection, 1st ed.; Dobzhansky, T., Ed.; Blakinston co.: Philadelphia, USA, 1949; p. 326. [Google Scholar]
- Stearns, S.C. The Evolutionary Significance of Phenotypic Plasticity. BioScience. 1989, 39, 436–445. [Google Scholar] [CrossRef]
- Wright, I.J.; Reich, P.B.; Westoby, M.; Ackerly, D.D.; Baruch, Z.; Bongers, F.; Cavender-Bares, J.; Chapin, T.; Cornelissen, J.H.C.; Diemer, M.; Flexas, J.; Garnier, E.; Groom, P.K.; Gulias, J.; Hikosaka, K.; Lamont, B.B.; Lee, T.; Lee, W.; Lusk, C.; Midgley, J.J.; Navas, M.L.; Niinemets, Ü.; Oleksyn, J.; Osada, N.; Poorter, H.; Poot, P.; Prior, L.; Pyankov, V.I.; Roumet, C.; Thomas, S.C.; Tjoelker, M.G.; Veneklaas, E.J.; Villar, R. The worldwide leaf economics spectrum. Nature. 2004, 428, 821–827. [CrossRef]
- Westoby, M.; Falster, D.S.; Moles, A.T.; Vesk, P.A.; Wright, I.J. Plant Ecological Strategies: Some Leading Dimensions of Variation Between Species. Annu. Rev. Ecol. Evol. Syst. 2002, 33, 125–159. [Google Scholar] [CrossRef]
- Freschet, G.T.; Cornelissen, J.H.C.; van Logtestijn, R.S.P.; Aerts, R. Substantial nutrient resorption from leaves, stems and roots in a subarctic flora: what is the link with other resource economics traits? New Phytol. 2010, 186, 879–889. [Google Scholar] [CrossRef] [PubMed]
- Garnier, E.; Navas, M.L. A trait-based approach to comparative functional plant ecology: concepts, methods and applications for agroecology. A review. Agron. Sustainable Dev. 2012, 32, 365–399. [Google Scholar] [CrossRef]
- Madani, N.; Kimball, J.S.; Ballantyne, A.P.; Affleck, D.L.R.; van Bodegom, P.M.; Reich, P.B.; Jens Kattge, J.; Sala, A.; Nazeri, M.; Jones, M.O.; Zhao, M.; Running, S.W. Future global productivity will be affected by plant trait response to climate. Sci. Rep. 2018, 8, 21172–9. [Google Scholar] [CrossRef] [PubMed]
- Liu, Z.; Zhao, M.; Zhang, H.; Ren, T.; Liu, C.; Nianpeng, H. Divergent response and adaptation of specific leaf area to environmental change at different spatio-temporal scales jointly improve plant survival. Glob. Chang. Biol. 2023, 29, 1144–1159. [Google Scholar] [CrossRef] [PubMed]
- Knapp, S.; Dinsmore, L.; Fissore, C.; Hobbie, S.E.; Jakobsdottir, I.; Kattge, J.; King, J.Y.; Klotz, S.; McFadden, J.P.; Cavender-Bares, J. Phylogenetic and functional characteristics of household yard floras and their changes along an urbanization gradient. Ecology. 2012, Supplement, S83–S98. [Google Scholar] [CrossRef]
- Atkin, O.K.; Loveys, B.R.; Atkinson, L.J.; Pons, T.L. Phenotypic plasticity and growth temperature: understanding interspecific variability. J. Exp. Bot. 2005, 57, 267–281. [Google Scholar] [CrossRef]
- Rosbakh, S.; Römermann, C.; Poschlod, P. Specific leaf area correlates with temperature: new evidence of trait variation at the population, species and community levels. Alp. Bot. 2015, 125, 79–86. [Google Scholar] [CrossRef]
- Henn, J.J.; Buzzard, V.; Enquist, B.J.; Halbritter, A.H.; Klanderud, K.; Maitner, B.S.; Michaletz, S.T.; Pötsch, C.; Seltzer, L.; Telford, R.J.; Yang, Y.; Zhang, L.; Vandvik, V. Intraspecific Trait Variation and Phenotypic Plasticity Mediate Alpine Plant Species Response to Climate Change. Front. Plant Sci. 2018, 9, 1548. [Google Scholar] [CrossRef]
- Kühn, N.; Tovar, C.; Carretero, J.; Vandvik, V.; Enquist, B.J.; Willis, K.J. Globally important plant functional traits for coping with climate change. Front. Biogeogr. 2021, 13, 53774. [Google Scholar] [CrossRef]
- Rodríguez, V.M.; Soengas, P.; Alonso-Villaverde, V.; Sotelo, T.; Cartea, M.E.; Velasco, P. Effect of temperature stress on the early vegetative development of Brassica oleracea L. BMC Plant Biol. 2015, 15, 145. [Google Scholar] [CrossRef] [PubMed]
- Leigh, A.; Sevanto, S.; Ball, M.C.; Close, J.D.; Ellsworth, D.S.; Knight, C.A.; Nicotra, A.B.; Vogel, S. Do thick leaves avoid thermal damage in critically low wind speeds? New Phytol. 2012, 194, 477–487. [Google Scholar] [CrossRef] [PubMed]
- Manitašević, S.; Dunđerski, J.; Matić, G.; Tucić, B. Seasonal variation in heat shock proteins Hsp70 and Hsp90 expression in an exposed and a shaded habitat of Iris pumila. Plant Cell Environ. 2007, 30, 1–11. [Google Scholar] [CrossRef]
- Vaieretti, M.V.; Diaz, S.; Vile, D.; Garnier, E. Two Measurement Methods of Leaf Dry Matter Content Produce Similar Results in a Broad Range of Species. Ann. Bot. 2007, 99, 955–958. [Google Scholar] [CrossRef] [PubMed]
- Díaz, S.; Kattge, J.; Cornelissen, J.H.C.; Wright, I.J.; Lavorel, S.; Dray, S.; Reu, B.; Kleyer, M.; Wirth, C.; Prentice, C.I.; Garnier, E.; Bönisch, G.; Westoby, M,; Poorter, H.; Reich, P.B.; Moles, A.T.; Dickie, J.; Gillison, A.N.; Zanne, A.E.; Chave, J.; Wright, J.S.; Sheremet’ev, S.N.; Jactel, H.; Baraloto, C.; Cerabolini, B.; Pierce, S.; Shipley, B.; Kirkup, D.; Casanoves, F.; Joswig, J.S.; Günther, A.; Falczuk, V.; Rüger, N.; Mahecha, M.D.; Gorné, L.D. The global spectrum of plant form and function. Nature. 2015, 529, 167–171. [CrossRef]
- Reich, P.B. The world-wide ‘fast–slow’ plant economics spectrum: a traits manifesto. J.Ecol. 2014, 102, 275–301. [Google Scholar] [CrossRef]
- Polley, W.H.; Collins, H.P.; Fay, P.A. Community leaf dry matter content predicts plant production in simple and diverse grassland. Ecosphere. 2022, 13, 4076. [Google Scholar] [CrossRef]
- Duru, M.; Al Haj Khaled, R.; Ducourtieux, C.; Theau, J.P.; de Quadros, F.L.F.; Cruz, P. Do plant functional types based on leaf dry matter content allow characterizing native grass species and grasslands for herbage growth pattern? Plant Ecol. 2009, 201, 421–433. [Google Scholar] [CrossRef]
- Liancourt, P.; Boldgiv, B. Song, D.; Spence, L.A.; Helliker, B.R.; Petraitis, P.S.; Casper, B.B. Leaf-trait plasticity and species vulnerability to climate change in a Mongolian steppe. Glob. Chang. Biol. 2015, 21, 3489–3498. [Google Scholar] [CrossRef]
- Niklas, K.; Shi, P.; Gielis, J.; Schrader, J.; Niinemets, Ü. Leaf functional traits: Ecological and evolutionary implications. Front. Plant Sci. 2023, 14, 1169558. [Google Scholar] [CrossRef]
- Taber, E.; Mitchell, R.M. Rapid changes in functional trait expression and decomposition following high severity fire and experimental warming. For. Ecol. Manage. 2023, 541, 121019. [Google Scholar] [CrossRef]
- Akram, M.A.; Zhang, Y.; Wang, X.; Shrestha, N.; Malik, M.; Khan, I.; Ma, W.; Sun, Y.; Li, F.; Ran, J.; Deng, J. Phylogenetic independence in the variations in leaf functional traits among different plant life forms in an arid environment. J.Plant Physiol. 2022, 272, 153671. [Google Scholar] [CrossRef] [PubMed]
- Michaletz, S.T.; Weiser, M.D.; Zhou, J.; Kaspari, M.; Helliker, B.R.; Enquist, B.J. Plant Thermoregulation: Energetics, Trait–Environment Interactions, and Carbon Economics. Trends Ecol. Evol. 2015, 30, 714–724. [Google Scholar] [CrossRef]
- Wang, Z.; Huang, H.; Wang, H.; Peñuelas, J.; Sardans, J. Niinemets, Ü.; Niklas, K.J.; Li, Y.; Xie, J.; Wright, I.J. Leaf water content contributes to global leaf trait relationships. Nat. Commun. 2022, 13, 5525. [Google Scholar] [CrossRef]
- Nicotra, A.B.; Davidson, A. Adaptive phenotypic plasticity and plant water use. Funct. Plant Biol. 2010, 37, 117–127. [Google Scholar] [CrossRef]
- Al Haj Khaled, R.; Duru, M.; Theau, J.P.; Plantureux, S.; Cruz, P. Variation in leaf traits through seasons and N-availability levels and its consequences for ranking grassland species. J. Veg. Sci. 2005, 16, 391–398. [Google Scholar] [CrossRef]
- Leigh, A.; Sevanto, S.; Ball, M.C.; Close, J.D.; Ellsworth, D.S.; Knight, C.A.; Nicotra, A.B.; Vogel, S. Do thick leaves avoid thermal damage in critically low wind speeds? New Phytol. 2012, 194, 477–487. [Google Scholar] [CrossRef] [PubMed]
- Ivanovaa, L.A.; Chanchikovac, A.G.; Ronzhinaa, D.A.; Zolotarevab, N.V.; Kosulnikovc, V.V.; Kadushnikovc, R.M.; Ivanov, L.A. Leaf Acclimation to Experimental Climate Warming in Meadow Plants of Different Functional Types. Russ. J. Plant Physiol. 2016, 63, 849–860. [Google Scholar] [CrossRef]
- Syvertsen, J.P.; Levy, Y. Diurnal changes in citrus leaf thickness, leaf water potential and leaf to air temperature difference. J. Exp. Bot. 1982, 33, 783–789. [Google Scholar] [CrossRef]
- Monteiro, M.V.; Blanuša, T.; Verhoef, A.; Hadley, P.; Cameron, R.W. Relative importance of transpiration rate and leaf morphological traits for the regulation of leaf temperature. Australian Journal of Botany Aust. J. Bot. 2016, 64, 32–44. [Google Scholar] [CrossRef]
- Gratani, L.; Varone, L.; Crescente, M.F.; Catoni, R.; Ricotta, C.; Puglielli, G. Leaf thickness and density drive the responsiveness of photosynthesis to air temperature in Mediterranean species according to their leaf habitus. J. Arid. Environ. 2018, 150, 9–14. [Google Scholar] [CrossRef]
- Coneva, V.; Chitwood, D.H. Genetic and developmental basis for increased leaf thickness in the Arabidopsis Cvi ecotype. Front. Plant Sci. 2018, 9, 322. [Google Scholar] [CrossRef] [PubMed]
- Stjepanović-Veseličić, L. Vegetacija Deliblatske peščare, Stankovič, S. Ed.; Naučna knjiga: Belgrade, Serbia, 1953; pp. 1–113. ISSN 0081-4008. [Google Scholar]
- Randolph, L.F.; Rechinger, K.H. Die geographische Verbreitung einiger europäischer und mediterraner Iris-Arten. Zool. Bot. Gesell. 1954, 94, 82–96. [Google Scholar]
- Randolph, L.F. The geographic distribution of European and eastern Mediterranean species of bearded Iris; Iris Year Book, British Iris Society: Tunbridge Wells, UK; pp. 35–46.
- Dalmady, J. Iris species on Slovenski Kras area. Nature Prot. 1972, 3, 64–65. [Google Scholar]
- Randuška, D.; Križo, M. Chránené rastliny [“Protected plants”], Príroda: Bratislava, Slovakia (in Slovak), 1986, pp. 430.
- Teixeira da Silva, J.A. Floriculture, Ornamental and Plant Biotechnology: Advances and Topical Issues, vols. I–IV, 1st ed., Teixeira da Silva, J.A. Ed.; Global Science Books: London, UK, 2006; pp. 2506.
- Eliáš, P.; Dítě, D.; Kliment, J.; Hrivnák, R.; Feráková, V. Red list of ferns and flowering plants of Slovakia, 5th edition (October 2014)*. Biologia 2015, 70, 218–228. [Google Scholar] [CrossRef]
- Parnikoza, I.Y.; Andreev, I.O.; Bublyk, O.M.; Spiridonova, K.V.; Gołębiewska, J.; Kubiak, M.; Kuczyńska, A.; Mystkowska, K.; Olędrzyńska, N.; Urasińska, B; Slęzak-Parnikoza, A. ; Górniak, M.; Wojciechowski, K.; Didukh, Y.P.; Kunakh, V.A. The current state of steppe perennial plants populations: A case study on Iris pumila. Biologia, 2017, 72, 24–35. [CrossRef]
- Willner, W.; Kuzemko, A.; Dengler, J.; Chytrý, M.; Bauer, N.; Becker, T.; Biţă-Nicolae, C.; Botta-Dukát, Z.; Čarni, A.; Csiky, J.; Igić, R.; Kącki, Z.; Korotchenko, I., Kropf, M.; Krstivojević-Ćuk, M.; Krstonošić, D., Rédei, T., Ruprecht,E., Schratt-Ehrendorfer, L.; Semenishchenkov, Y.; Stančić, Z.; Vashenyak, Y., Vynokurov, D., Janišová, M. A higher-level classification of the Pannonian and western Pontic steppe grasslands (Central and Eastern Europe). Appl. Veg. Sci. 2017, 20, 143–158. [CrossRef]
- Ćuk, M. Status and temporal dynamics of the flora and vegetation of the Deliblato Sands. Defended thesis. University of Novi Sad, Faculty of Science, Novi Sad, Serbia, 27.09.2019.
- Tucić, B.; Milojković, S,; Tarasjev, A.; Vijčić, S. The influence of climatic factors on clonal diversity in a population of Iris pumila. Oikos 1989, 56, 115–120. [CrossRef]
- Tucić, B.; Tarasjev, A.; Vujčić, S.; Milojković, S.; Tucić, N. Phenotypic plasticity and character differentiation in a subdivided population of Iris pumila (Iridaceae). Plant Syst. Evol. 1990, 170, 1–9. [Google Scholar] [CrossRef]
- Tucic, B.; Milojkovic, S.; Vujdic, S.; Tarasjev, A. Clonal diversity and dispersion in Iris pumila. Acta Oecol. 1988, 9, 211–219. [Google Scholar]
- Hočevar, K.; Nolić, V.; Budečević, S.; Manitašević Jovanović, S. Flower color morphs of Iris pumila differ in the amount of heat shock protein 70 and pigments with antioxidant properties. In Proceedings of the 1st Congress of Molecular Biologist of Serbia, Belgrade, Serbia, 20-22 September 2017; p. 22. [Google Scholar]
- Cazzonelli, C.I.; Pogson, B.J. Source to sink: regulation of carotenoid biosynthesis in plants. Trends Plant Sci. 2010, 15, 266–274. [Google Scholar] [CrossRef] [PubMed]
- Yan, H.; Pei, X.; Zhang, H.; Li, X.; Zhang, X.; Zhao, M.; Chiang, V.L.; Sederoff, R.R.; Zhao, X. MYB-mediated regulation of anthocyanin biosynthesis. Int. J. Mol. Sci. 2021, 22, 3103. [Google Scholar] [CrossRef] [PubMed]
- Perez-Harguindeguy, N.; Diaz, S.; Garnier, E.; Lavorel, S.; Poorter, H.; Jaureguiberry, P.; Bret-Harte, M.S.; Cornwell, W.K.; Craine, J.M.; Gurvich, D.E.; Urcelay, C. N.; Veneklaas, E. J.; Reich, P.B.; Poorter, L.; Wright, I.J.; Ray, P.; Enrico, L.; Pausas, J.G.; de Vos, A.C.; Buchmann, N.; Funes, G.; Quétier, F.; Hodgson, J.G.; Thompson, K.; Morgan, H.D.; ter Steege, H.; Sack, L.; Blonder, B.; Poschlod, P.; Vaieretti, M.V.; Conti, G.; Staver, A.C.; Aquino S.; Cornelissen, J.H.C. Corrigendum to: New handbook for standardised measurement of plant functional traits worldwide. Aust. J. Bot. 2016, 64, 715–716. [CrossRef]
- O'Brien, R.G.; Kaiser, M.K. MANOVA method for analyzing repeated measures designs: An extensive primer. Psychol. Bull. 1985, 97, 316–333. [Google Scholar] [CrossRef] [PubMed]
- von Ende, C.N. Repeated-measures analysis: growth and other time-dependent measures. In Design and Analysis of Ecological Experiments, 1st ed.; Scheiner, S.M., Gurevich, J., Eds.; Oxford University Press: New York, USA, 2001; Volume 8, pp. 134–157. [Google Scholar]
- Potvin, C.; Lechowicz, M.J.; Tardif, S. The statistical analysis of ecophysiological response curves obtained from experiments involving repeated measures. Ecology 1990, 71, 1389–1400. [Google Scholar] [CrossRef]
- Bulut, O.; Desjardins, C.D. Profile analysis of multivariate data: a brief introduction to the profiler package. [Preprint], 2020. [CrossRef]
- Cronbach, L.J.; Gleser, G.C. Assessing similarity between profiles. Psychol. Bull. 1953, 50, 456–473. [Google Scholar] [CrossRef]
- Cole, J.W.L.; Grizzle, J.E. Applications of multivariate analysis of variance to repeated measurements experiments. Biometrics, 1966, 22, 810–828. [Google Scholar] [CrossRef]
- Parker, R.I.; Vannest, K. An improved effect size for single-case research: Nonoverlap of all pairs. Behav. Ther. 2009, 40, 357–367. [Google Scholar] [CrossRef]
- SAS Institute Inc. SAS/STAT User’s Guide (version 9.1.3); SAS Institute Inc: WindowsXP. NC. USA, 2011. [Google Scholar]



| Climatic variable | Year 1 | Year 2 | ||||||||||
| Spring | Summer | Spring | Summer | |||||||||
| Outside | Inside | p | Outside | Inside | p | Outside | Inside | p | Outside | Inside | p | |
| Instantaneous air temperature TI (0C) | ||||||||||||
| Population 1 Population 2 |
32.3 ± 0.3 31.7 ± 0.4 |
34.3 ± 0.3 34.1 ± 0.4 |
**** **** |
29.4 ± 0.1 31.4 ± 0.4 |
29.7 ± 0.2 32.3 ± 0.4 |
ns *** |
28.2 ± 0.2 26.7 ± 0.2 |
28.5 ± 0.2 27.1 ± 0.2 |
ns ns |
32.2 ± 0.3 31.5 ± 0.3 |
33.5 ± 0.3 32.5 ± 0.4 |
**** **** |
| Grand mean | 32.0 ± 0.4 | 34.2 ± 0.4 | **** | 30.4 ± 0.3 | 31.0 ± 0.3 | *** | 27.4 ± 0.2 | 27.8 ± 0.2 | * | 31.9 ± 0.3 | 33.0 ± 0.4 | **** |
| Logged air temperature TL (0C) | ||||||||||||
| Population 1 Population 2 |
20.0 ± 0.1 19.9 ± 0.1 |
21.4 ± 0.2 21.0 ± 0.1 |
*** *** |
26.9 ± 0.2 27.0 ± 0.2 |
27.7 ± 0.2 29.4 ± 0.2 |
**** ** |
23.9 ± 0.1 20.7 ± 0.2 |
24.7 ± 0.1 23.0 ± 0.5 |
**** ** |
26.4 ± 0.1 28.1 ± 0.2 |
28.5 ± 0.2 29.4 ± 0.4 |
*** ** |
| Grand mean | 20.0 ± 0.1 | 21.2 ± 0.2 | *** | 27.0 ± 0.2 | 28.5 ± 0.2 | *** | 22.3 ± 0.2 | 23.8 ± 0.3 | *** | 27.2 ± 0.2 | 29.0 ± 0.3 | *** |
| Instantaneous soil temperature (0C) | ||||||||||||
| Population 1 Population 2 |
18.0 ± 0.2 20.6 ± 0.4 |
17.5 ± 0.2 19.3 ± 0.3 |
* **** |
23.5 ± 0.3 24.1 ± 0.3 |
23.0 ± 0.2 23.7 ± 0.3 |
** * |
13.8 ± 0.3 14.1 ± 0.4 |
13.6 ± 0.3 12.9 ± 0.4 |
ns **** |
24.7 ± 0.3 24.1 ± 0.4 |
24.8 ± 0.3 23.8 ± 0.3 |
ns ns |
| Grand mean | 19.3 ± 0.3 | 18.4 ± 0.3 | **** | 23.8 ± 0.3 | 23.4 ± 0.3 | *** | 14.0 ± 0.4 | 13.3 ± 0.4 | *** | 24.4 ± 0.4 | 24.3 ± 0.3 | ns |
| Instantaneous soil moisture (%) | ||||||||||||
| Population 1 Population 2 |
5.0 ± 0.1 5.3 ± 0.3 |
4.8 ± 0.1 5.4 ± 0.3 |
ns ns |
9.2 ± 0.4 7.4 ± 0.3 |
9.2 ± 0.4 7.0 ± 0.3 |
ns ns |
8.5 ± 0.3 8.8 ± 0.3 |
8.6 ± 0.3 8.5 ± 0.3 |
ns ns |
4.6 ± 0.1 4.7 ± 0.2 |
4.6 ± 0.1 4.8 ± 0.2 |
ns ns |
| Grand mean | 5.2 ± 0.2 | 5.1 ± 0.2 | ns | 8.3 ± 0.4 | 8.1 ± 0.4 | ns | 8.6 ± 0.3 | 8.6 ± 0.3 | ns | 4.6 ± 0.2 | 4.7 ± 0.2 | ns |
| Leaf trait | Year 1 | Year 2 | |||||||||||||||||
|
Spring SummerY1 |
Summer |
Spring SummerY1 |
Summer SummerY2 |
||||||||||||||||
| Outside OTC | Inside OTC | Outside OTC | Inside OTC | Outside OTC | Inside OTC | Outside OTC | Inside OTC | ||||||||||||
| Population 1 | Mean | SE | Mean | SE | Mean | SE | Mean | SE | Mean | SE | Mean | SE | Mean | SE | Mean | SE | |||
| SLA | 164.97 | 2.65 | 177.78 | 2.36 | 151.03 | 1.85 | 157.75 | 1.84 | 144.12 | 1.79 | 155.52 | 2.43 | 157.56 | 2.46 | 178.83 | 2.49 | |||
| LDMC | 0.156 | 0.001 | 0.151 | 0.002 | 0.223 | 0.003 | 0.222 | 0.002 | 0.205 | 0.002 | 0.202 | 0.002 | 0.193 | 0.003 | 0.183 | 0.003 | |||
| SLWC | 0.033 | 0.001 | 0.032 | 0.001 | 0.024 | 0.001 | 0.022 | 0.001 | 0.027 | 0.001 | 0.026 | 0.001 | 0.026 | 0.001 | 0.026 | 0.001 | |||
| LT | 0.039 | 0.001 | 0.037 | 0.001 | 0.030 | 0.001 | 0.028 | 0.001 | 0.034 | 0.001 | 0.032 | 0.001 | 0.032 | 0.001 | 0.031 | 0.001 | |||
| Population 2 | |||||||||||||||||||
| SLA | 176.30 | 4.22 | 186.06 | 2.70 | 152.17 | 3.30 | 163.25 | 3.14 | 144.60 | 2.62 | 160.23 | 2.79 | 166.87 | 3.19 | 168.60 | 3.58 | |||
| LDMC | 0.157 | 0.002 | 0.157 | 0.002 | 0.231 | 0.003 | 0.228 | 0.002 | 0.195 | 0.002 | 0.190 | 0.003 | 0.191 | 0.003 | 0.186 | 0.003 | |||
| SLWC | 0.030 | 0.001 | 0.029 | 0.001 | 0.022 | 0.001 | 0.021 | 0.001 | 0.029 | 0.001 | 0.026 | 0.001 | 0.026 | 0.001 | 0.025 | 0.001 | |||
| LT | 0.036 | 0.001 | 0.034 | 0.002 | 0.028 | 0.001 | 0.027 | 0.001 | 0.036 | 0.001 | 0.032 | 0.001 | 0.032 | 0.001 | 0.031 | 0.001 | |||
| Pooled Populations | |||||||||||||||||||
| SLA | 170.26 | 2.54 | 181.64 | 2.14 | 151.56 | 1.81 | 160.32 | 1.79 | 144.34 | 1.53 | 157.72 | 1.85 | 161.92 | 2.08 | 174.06 | 2.25 | |||
| LDMC | 0.157 | 0.001 | 0.154 | 0.001 | 0.227 | 0.002 | 0.225 | 0.002 | 0.200 | 0.002 | 0.196 | 0.002 | 0.192 | 0.002 | 0.184 | 0.002 | |||
| SLWC | 0.032 | 0.001 | 0.030 | 0.001 | 0.023 | 0.001 | 0.022 | 0.001 | 0.028 | 0.001 | 0.026 | 0.001 | 0.026 | 0.001 | 0.026 | 0.001 | |||
| LT | 0.037 | 0.001 | 0.036 | 0.001 | 0.029 | 0.001 | 0.028 | 0.001 | 0.035 | 0.002 | 0.032 | 0.001 | 0.032 | 0.001 | 0.031 | 0.001 | |||
| SLA | LDMC | SLWC | LT | |||||||||||||
| A. Between-subjects | ||||||||||||||||
| Source of variation | df | F | p | df | F | p | df | F | p | df | F | p | ||||
| Population (P) | 1 | 3.73 | .0569 | 1 | 0.00 | .9539 | 1 | 7.84 | .0063 | 1 | 7.10 | .0092 | ||||
| Treatment (T) | 1 | 32.70 | .0001 | 1 | 8.02 | .0058 | 1 | 12.42 | .0007 | 1 | 15.44 | .0002 | ||||
| P x T | 1 | 0.78 | .3786 | 1 | 0.08 | .7819 | 1 | 0.33 | .5680 | 1 | 0.15 | .6966 | ||||
| Error | 86 | 86 | 86 | 86 | ||||||||||||
| B. Within-subject | ||||||||||||||||
| Source of variation | Wilks' λ | F | df | p | Wilks'λ | F | df | p | Wilks'λ | F | df | p | Wilks'λ | F | df | p |
| Year (Y) | 0.6749 | 41.43 | 1,86 | .0001 | 0.9550 | 4.05 | 1,86 | .0474 | 0.9999 | 0.00 | 1,86 | .9927 | 0.9986 | 0.12 | 1,86 | .7338 |
| Season (S) | 0.9761 | 2.05 | 1,86 | .1558 | 0.1180 | 643.01 | 1,86 | .0001 | 0.1543 | 471.19 | 1,86 | .0001 | 0.2034 | 336.86 | 1,86 | .0001 |
| Y x S | 0.2075 | 328.41 | 1,86 | .0001 | 0.0609 | 1326.2 | 1,86 | .0001 | 0.2506 | 257.17 | 1,86 | .0001 | 0.3792 | 140.88 | 1,86 | .0001 |
| P x Y | 0.9236 | 7.12 | 1,86 | .0091 | 0.7980 | 21.77 | 1,86 | .0001 | 0.6906 | 38.52 | 1,86 | .0001 | 0.6831 | 39.90 | 1,86 | .0001 |
| P x S | 0.9546 | 4.09 | 1,86 | .0462 | 0.8939 | 10.21 | 1,86 | .0020 | 0.9996 | 0.04 | 1,86 | .8516 | 0.9996 | 0.04 | 1,86 | .8508 |
| P x Y x S | 0.9919 | 0.70 | 1,86 | .4046 | 0.9597 | 3.61 | 1,86 | .0607 | 0.9562 | 3.94 | 1,86 | .0504 | 0.9507 | 4.46 | 1,86 | .0377 |
| T x Y | 0.9843 | 1.38 | 1,86 | .2442 | 0.9726 | 2.42 | 1,86 | .1234 | 0.9903 | 0.85 | 1,86 | .3603 | 0.9910 | 0.78 | 1,86 | .3785 |
| T x S | 0.9900 | 0.87 | 1,86 | .3538 | 0.9972 | 0.24 | 1,86 | .6266 | 0.9812 | 1.64 | 1,86 | .2031 | 0.9585 | 3.73 | 1,86 | .0569 |
| T x Y x S | 0.9999 | 0.01 | 1,86 | .9290 | 0.9860 | 1.22 | 1,86 | .2724 | 0.9947 | 0.46 | 1,86 | .5002 | 0.9710 | 2.57 | 1,86 | .1124 |
| Source of variation | SLA | LDMC | SLWC | LT | |||||||||||
| df | F | p | df | F | p | df | F | p | df | F | p | ||||
| Year1 | |||||||||||||||
| Contrast variable: summer – spring | |||||||||||||||
| Mean | 1 | 162.03 | .0001 | 1 | 2509.31 | .0001 | 1 | 718.92 | .0001 | 1 | 448.63 | .0001 | |||
| Treatment | 1 | 0.70 | .4054 | 1 | 0.27 | .6045 | 1 | 0.13 | .7195 | 1 | 0.08 | .7784 | |||
| Error | 88 | 88 | 88 | 88 | |||||||||||
| Year2 | |||||||||||||||
| Contrast variable: summer – spring | |||||||||||||||
| Mean | 1 | 100.70 | .0001 | 1 | 26.17 | .0001 | 1 | 234.75 | .0001 | 1 | 27.43 | .0001 | |||
| Treatment | 1 | 0.13 | .7180 | 1 | 0.99 | .3225 | 1 | 2.04 | .1569 | 1 | 5.93 | .0169 | |||
| Error | 88 | 88 | 88 | 88 | |||||||||||
Disclaimer/Publisher’s Note: The statements, opinions and data contained in all publications are solely those of the individual author(s) and contributor(s) and not of MDPI and/or the editor(s). MDPI and/or the editor(s) disclaim responsibility for any injury to people or property resulting from any ideas, methods, instructions or products referred to in the content. |
© 2023 by the authors. Licensee MDPI, Basel, Switzerland. This article is an open access article distributed under the terms and conditions of the Creative Commons Attribution (CC BY) license (http://creativecommons.org/licenses/by/4.0/).
