Submitted:
02 March 2026
Posted:
03 March 2026
You are already at the latest version
Abstract

Keywords:
1. Introduction
2. Materials and Method
2.1. Chemicals and Solutions
2.2. Electrochemical Instrument and Setup
2.3. Electrochemical Data Processing
2.4. Theoretical Determination of Permanganate Index
- Ascorbic acid (C₆H₈O₆)
- 2.
- Salicylic acid (C₇H₆O₃)
- 3.
- p-benzoquinone (C6H4O2)
- 4.
- Phenol (C₆H₅OH)
- 5.
- Gallic acid (C₇H₆O₅)
- 6.
- Oxalic acid (H₂C₂O₄)
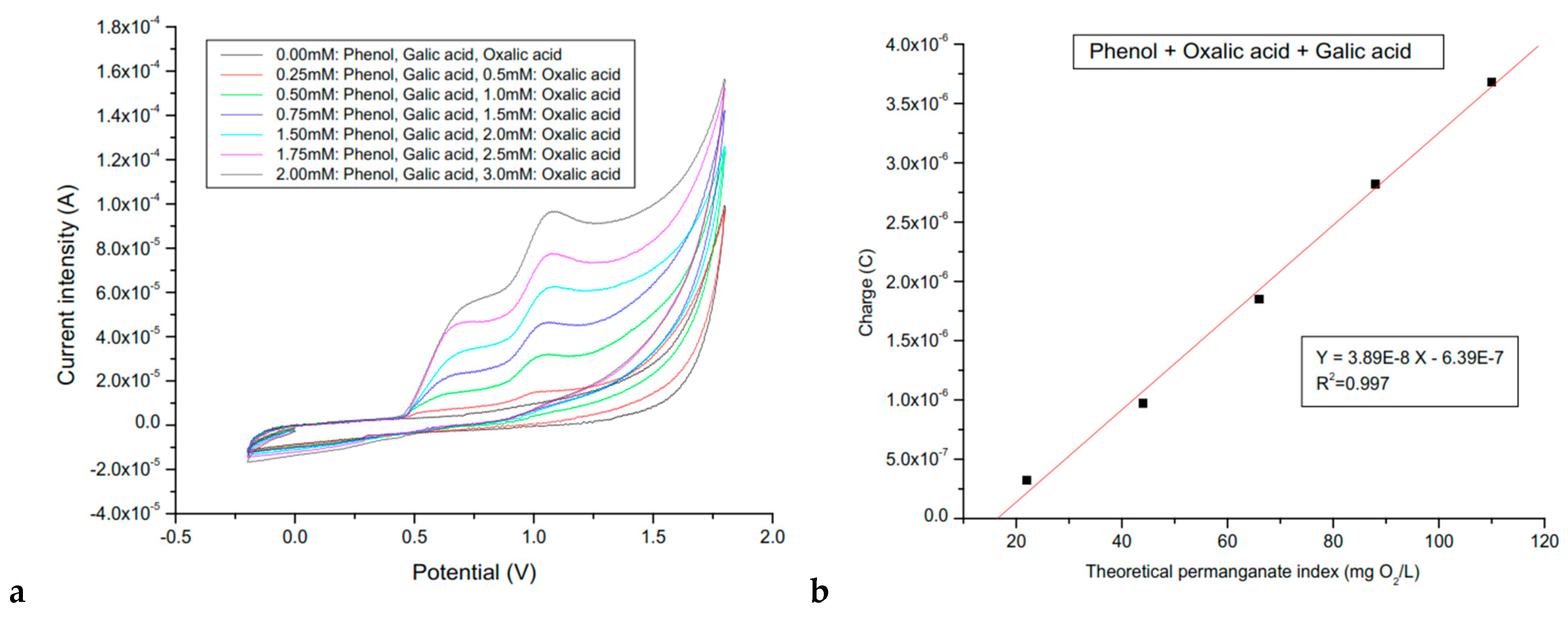
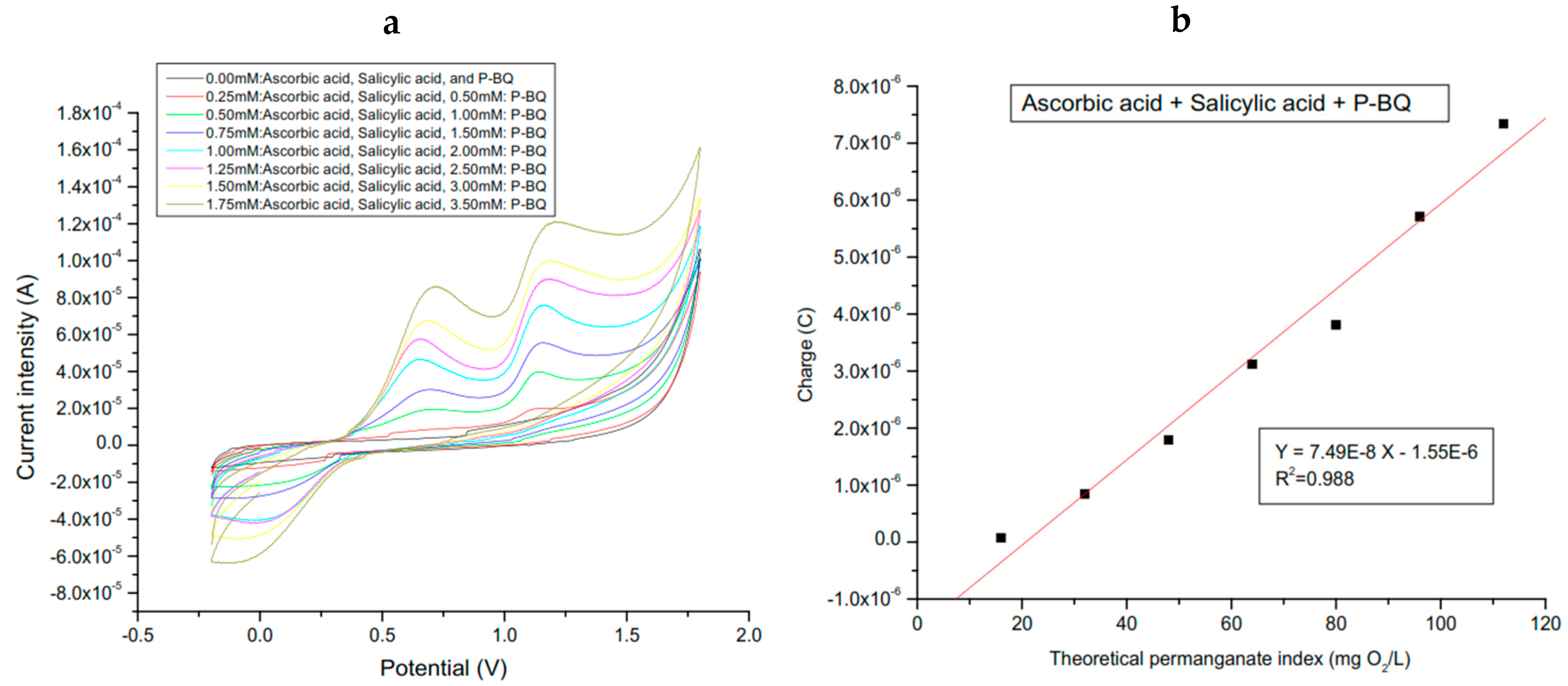
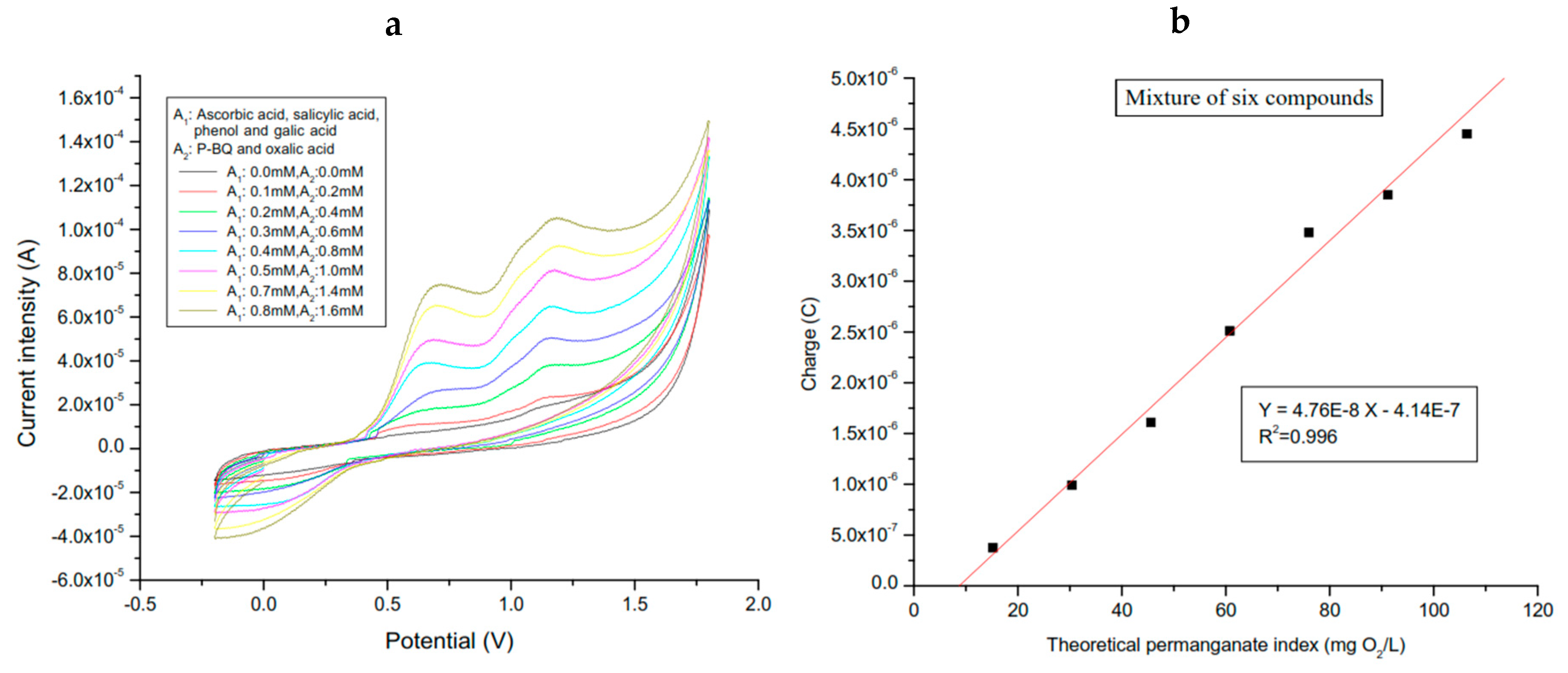
3. Results and Discussion
3.1. Single Compound Analysis
3.2. Multiple Compounds Analysis
4. Conclusions
Supplementary Materials
Funding
Declaration of interest
Abbreviation list:
References
- M. Gavrilescu, K. Demnerová, J. Aamand, S. Agathos, and F. Fava, “Emerging pollutants in the environment: present and future challenges in biomonitoring, ecological risks and bioremediation,” N Biotechnol, vol. 32, no. 1, pp. 147–156, Jan. 2015, doi: 10.1016/j.nbt.2014.01.001. [CrossRef]
- Q. Zhou, J. Zhang, J. Fu, J. Shi, and G. Jiang, “Biomonitoring: An appealing tool for assessment of metal pollution in the aquatic ecosystem,” Anal Chim Acta, vol. 606, no. 2, pp. 135–150, Jan. 2008, doi: 10.1016/j.aca.2007.11.018. [CrossRef]
- K. S. Egorova and V. P. Ananikov, “Toxicity of Metal Compounds: Knowledge and Myths,” Organometallics, vol. 36, no. 21, pp. 4071–4090, Nov. 2017, doi: 10.1021/acs.organomet.7b00605. [CrossRef]
- Z. Kyselova, “Toxicological aspects of the use of phenolic compounds in disease prevention,” Interdiscip Toxicol, vol. 4, no. 4, pp. 173–183, Dec. 2011, doi: 10.2478/v10102-011-0027-5. [CrossRef]
- Y. Wen, G. Schoups, and N. van de Giesen, “Organic pollution of rivers: Combined threats of urbanization, livestock farming and global climate change,” Sci Rep, vol. 7, no. 1, p. 43289, Feb. 2017, doi: 10.1038/srep43289. [CrossRef]
- K. C. Jones and P. de Voogt, “Persistent organic pollutants (POPs): state of the science,” Environmental Pollution, vol. 100, no. 1–3, pp. 209–221, 1999, doi: 10.1016/S0269-7491(99)00098-6. [CrossRef]
- Y. Wen, G. Schoups, and N. van de Giesen, “Organic pollution of rivers: Combined threats of urbanization, livestock farming and global climate change,” Sci Rep, vol. 7, no. 1, p. 43289, Feb. 2017, doi: 10.1038/srep43289. [CrossRef]
- Y. Wen, G. Schoups, and N. van de Giesen, “Organic pollution of rivers: Combined threats of urbanization, livestock farming and global climate change,” Sci Rep, vol. 7, no. 1, p. 43289, Feb. 2017, doi: 10.1038/srep43289. [CrossRef]
- M. M. Mekonnen and A. Y. Hoekstra, “Four billion people facing severe water scarcity,” Sci Adv, vol. 2, no. 2, Feb. 2016, doi: 10.1126/sciadv.1500323. [CrossRef]
- J. Karpińska and U. Kotowska, “Removal of Organic Pollution in the Water Environment,” Water (Basel), vol. 11, no. 10, p. 2017, Sep. 2019, doi: 10.3390/w11102017. [CrossRef]
- A. Chmayssem, “Développement d’un procédé électrochimique et de capteurs associés pour le traitement de perturbateurs endocriniens phénoliques dans les eaux,” 2023. [Online]. Available: https://theses.hal.science/tel-04085829.
- J. Du et al., “Linking Water Quality Indicators in Stable Reservoir Ecosystems: Correlation Analysis and Ecohydrological Implications,” Water (Basel), vol. 16, no. 24, p. 3600, Dec. 2024, doi: 10.3390/w16243600. [CrossRef]
- A. Matilainen, M. Vepsäläinen, and M. Sillanpää, “Natural organic matter removal by coagulation during drinking water treatment: A review,” Adv Colloid Interface Sci, vol. 159, no. 2, pp. 189–197, Sep. 2010, doi: 10.1016/j.cis.2010.06.007. [CrossRef]
- W.-Q. Xie and Y.-X. Gong, “Measurement of permanganate index in environmental water via indirect phase-conversion strategy.,” J Chromatogr A, vol. 1728, p. 464987, Aug. 2024, doi: 10.1016/j.chroma.2024.464987. [CrossRef]
- J. R. Laszakovits, A. Kerr, and A. A. MacKay, “Permanganate Oxidation of Organic Contaminants and Model Compounds.,” Environ Sci Technol, vol. 56, no. 8, pp. 4728–4748, Apr. 2022, doi: 10.1021/acs.est.1c03621. [CrossRef]
- W.-Q. Xie and Y.-X. Gong, “Measurement of permanganate index in environmental water via indirect phase-conversion strategy,” J Chromatogr A, vol. 1728, p. 464987, Aug. 2024, doi: 10.1016/j.chroma.2024.464987. [CrossRef]
- J. Li et al., “Oxidative transformation of emerging organic contaminants by aqueous permanganate: Kinetics, products, toxicity changes, and effects of manganese products,” Water Res, vol. 203, p. 117513, Sep. 2021, doi: 10.1016/j.watres.2021.117513. [CrossRef]
- S. Jianxun and M. Haiqiong, “Comparative analysis of domestic and foreign standards for permanganate index determination,” Discover Chemistry, vol. 2, no. 1, p. 51, Mar. 2025, doi: 10.1007/s44371-025-00129-8. [CrossRef]
- C. Kumunda, A. S. Adekunle, B. B. Mamba, N. W. Hlongwa, and T. T. I. Nkambule, “Electrochemical Detection of Environmental Pollutants Based on Graphene Derivatives: A Review,” Front Mater, vol. 7, Feb. 2021, doi: 10.3389/fmats.2020.616787. [CrossRef]
- A. S. Pavitt and P. G. Tratnyek, “Electrochemical characterization of natural organic matter by direct voltammetry in an aprotic solvent,” Environ Sci Process Impacts, vol. 21, no. 10, pp. 1664–1683, 2019, doi: 10.1039/C9EM00313D. [CrossRef]
- Z. Pang, Y. Cai, W. Xiong, J. Xiao, and J. Zou, “A spectrophotometric method for measuring permanganate index (CODMn) by N,N-diethyl-p-phenylenediamine (DPD),” Chemosphere, vol. 266, p. 128936, Mar. 2021, doi: 10.1016/j.chemosphere.2020.128936. [CrossRef]
- Allen J. Bard and Larry R. Faulkner, Electrochemical Methods: Fundamentals and Applications, 2nd Ed., no. 12. 2001.
- V. Climent and J. M. Feliu, “Cyclic Voltammetry,” in Encyclopedia of Interfacial Chemistry, Elsevier, 2018, pp. 48–74. doi: 10.1016/B978-0-12-409547-2.10764-4. [CrossRef]
- M. Antuch, “Theoretical approach to the elliptic cyclic voltammetry of diffusionless redox couples,” Journal of Electroanalytical Chemistry, vol. 995, p. 119294, Oct. 2025, doi: 10.1016/j.jelechem.2025.119294. [CrossRef]
- H. Masoumi, S. Khazalpour, and M. Jamshidi, “Electrochemical study of 2-amino-5-mercapto-1,3,4-thiadiazole in the absence and presence of p -benzoquinone: an efficient strategy for the electrosynthesis of new 1,3,4-thiadiazole derivatives,” RSC Adv, vol. 13, no. 5, pp. 3083–3094, 2023, doi: 10.1039/D2RA07250E. [CrossRef]
- W. Tang et al., “Formation of highly toxic p-benzoquinones byproducts during ozonation of cresols,” Journal of Environmental Sciences, vol. 154, pp. 495–508, Aug. 2025, doi: 10.1016/j.jes.2024.08.034. [CrossRef]
- N. R. Nicomel, L. Y. Li, B. A. Mohamed, and S. S. Ramim, “Adsorption of p-benzoquinone at low concentrations from aqueous media using biosolid-based activated carbon,” J Environ Manage, vol. 316, p. 115263, Aug. 2022, doi: 10.1016/j.jenvman.2022.115263. [CrossRef]
- P. S. Guin, S. Das, and P. C. Mandal, “Electrochemical Reduction of Quinones in Different Media: A Review,” International Journal of Electrochemistry, vol. 2011, pp. 1–22, 2011, doi: 10.4061/2011/816202. [CrossRef]
- P. S. Guin, S. Das, and P. C. Mandal, “Electrochemical Reduction of Quinones in Different Media: A Review,” International Journal of Electrochemistry, vol. 2011, pp. 1–22, 2011, doi: 10.4061/2011/816202. [CrossRef]
- F. Leitão, D. Galrito, L. C. Branco, H. Cruz, and P. S. Branco, “Electrochemical Studies of Benzoquinone, Hydrobenzoquinone, Diphenoquinone and Hydrodiphenoquinone-Based Compounds,” Electrochemical Science Advances, vol. 5, no. 5, Oct. 2025, doi: 10.1002/elsa.70006. [CrossRef]
- A. M. Pisoschi, A. Pop, A. I. Serban, and C. Fafaneata, “Electrochemical methods for ascorbic acid determination,” Electrochim Acta, vol. 121, pp. 443–460, Mar. 2014, doi: 10.1016/j.electacta.2013.12.127. [CrossRef]
- K. S. Ngai, W. T. Tan, Z. Zainal, R. M. Zawawi, and M. Zidan, “Voltammetry Detection of Ascorbic Acid at Glassy Carbon Electrode Modified by Single-Walled Carbon Nanotube/Zinc Oxide,” Int J Electrochem Sci, vol. 8, no. 8, pp. 10557–10567, Aug. 2013, doi: 10.1016/S1452-3981(23)13131-2. [CrossRef]
- S. Choi et al., “Redox-Transition from Irreversible to Reversible Vitamin C by Pore Confinement in Microporous Carbon Network,” ACS Appl Mater Interfaces, vol. 14, no. 32, pp. 36557–36569, Aug. 2022, doi: 10.1021/acsami.2c07719. [CrossRef]
- R. Abdel-Hamid and E. F. Newair, “Adsorptive stripping voltammetric determination of gallic acid using an electrochemical sensor based on polyepinephrine/glassy carbon electrode and its determination in black tea sample,” Journal of Electroanalytical Chemistry, vol. 704, pp. 32–37, Sep. 2013, doi: 10.1016/j.jelechem.2013.06.006. [CrossRef]
- R. M. L. M. Sandrini, B. G. da Silva, and C. A. Angelucci, “Electrochemical Quantification of Gallic Acid: The Role of Voltammetric Parameter Optimization via Multivariate Experimental Design,” Electroanalysis, vol. 37, no. 8, Aug. 2025, doi: 10.1002/elan.70033. [CrossRef]
- S. I. Ekonomou, O. Doran, A. Crew, and J. P. Hart, “Electrochemical Behaviour of the Antioxidant Gallic Acid Using a Low-Cost Screen-Printed Carbon Sensor and Its Exploitation for Banana Wine Analysis,” Foods, vol. 14, no. 23, p. 4070, Nov. 2025, doi: 10.3390/foods14234070. [CrossRef]
- F. Manea et al., “Electrochemical Oxidation and Determination of Oxalic Acid at an Exfoliated Graphite-Polystyrene Composite Electrode,” Sensors, vol. 7, pp. 615–627, 2007, [Online]. Available: www.mdpi.org/sensors.
- F. Manea et al., “Electrochemical Oxidation and Determination of Oxalic Acid at an Exfoliated Graphite-Polystyrene Composite Electrode,” Sensors, vol. 7, no. 4, pp. 615–627, Apr. 2007, doi: 10.3390/s7040615. [CrossRef]
- M. D. Baravkar and B. L. V. Prasad, “Selective electro-oxidation of phenol to 1,4-hydroquinone employing carbonaceous electrodes: surface modification is the key,” New Journal of Chemistry, vol. 46, no. 5, pp. 2518–2525, 2022, doi: 10.1039/D1NJ04640C. [CrossRef]
- A. Chmayssem and D. Hauchard, “New detection method for alkylphenol traces in water based on an integrated electrochemical cell sensor,” Revue des Sciences de l’Eau, vol. 28, no. 1, pp. 35–40, 2015, doi: 10.7202/1030005ar. [CrossRef]
- N. Belhadj Tahar and A. Savall, “Electropolymerization of phenol on a vitreous carbon electrode in alkaline aqueous solution at different temperatures,” Electrochim Acta, vol. 55, no. 2, pp. 465–469, Dec. 2009, doi: 10.1016/j.electacta.2009.08.040. [CrossRef]
- A. Chmayssem and D. Hauchard, “Direct ultra-trace detection of alkylphenols in water using a cavity carbon-paste microelectrode sensor,” Desalination Water Treat, vol. 83, 2017, doi: 10.5004/dwt.2017.20740. [CrossRef]
- L. Kiss, F. Kovács, H. Li, A. Kiss, and S. Kunsági-Máté, “Electrochemical polymerization of phenol on platinum and glassy carbon electrodes in mesityl oxide,” Chem Phys Lett, vol. 754, p. 137642, Sep. 2020, doi: 10.1016/j.cplett.2020.137642. [CrossRef]
- J. Kaur, R. Malik, and D. Gangwar, “A Reliable Cyclic Voltammetry Technique for the Degradation of Salicylaldehyde: Electrode Kinetics,” Nature Environment and Pollution Technology, vol. 20, no. 5, Dec. 2021, doi: 10.46488/NEPT.2021.v20i05.012. [CrossRef]
- Y. Luo et al., “Effects of low concentration of gallic acid on the growth and microcystin production of Microcystis aeruginosa,” Science of The Total Environment, vol. 916, p. 169765, Mar. 2024, doi: 10.1016/j.scitotenv.2023.169765. [CrossRef]
- A. Kumar, N. Alami-Mejjati, M. Bouvet, and R. Meunier-Prest, “Electrochemical oxidation of gallic acid: A reexamination of the reaction mechanism in aqueous medium,” Electrochim Acta, vol. 460, p. 142622, Aug. 2023, doi: 10.1016/j.electacta.2023.142622. [CrossRef]
- A. Iacob, F. Manea, J. Schoonman, and N. Vaszilcsin, “Voltammetric/amperometric detection of salicylic acid in water on carbon nanotubes-epoxy composite electrodes,” 2015, pp. 543–553. doi: 10.2495/SD150481. [CrossRef]
- D. Evans, J. P. Hart, and G. Rees, “Voltammetric behaviour of salicylic acid at a glassy carbon electrode and its determination in serum using liquid chromatography with amperometric detection,” Analyst, vol. 116, no. 8, p. 803, 1991, doi: 10.1039/an9911600803. [CrossRef]
- A. Torriero, “Voltammetric determination of salicylic acid in pharmaceuticals formulations of acetylsalicylic acid,” Talanta, vol. 62, no. 2, pp. 247–254, Feb. 2004, doi: 10.1016/j.talanta.2003.07.005. [CrossRef]
- A. Chmayssem et al., “Development of a multiparametric (bio)sensing platform for continuous monitoring of stress metabolites,” Talanta, vol. 229, 2021, doi: 10.1016/j.talanta.2021.122275. [CrossRef]
- A. Chmayssem et al., “Characterization of the Impact of Classical Cell-culture Media on the Response of Electrochemical Sensors,” Electroanalysis, vol. 34, no. 7, 2022, doi: 10.1002/elan.202100534. [CrossRef]
- M. Palys, “The separation of overlapping peaks in cyclic voltammetry by means of semi-differential transformation,” Talanta, vol. 38, no. 7, pp. 723–733, Jul. 1991, doi: 10.1016/0039-9140(91)80192-3. [CrossRef]
- T. R. Garrick et al., “Quantifying Volume Change in Porous Electrodes via the Multi-Species, Multi-Reaction Model,” J Electrochem Soc, vol. 170, no. 6, p. 060548, Jun. 2023, doi: 10.1149/1945-7111/acdf8b. [CrossRef]
- M. Kowalcze and M. Jakubowska, “Multivariate approach in voltammetric identification and simultaneous determination of eugenol, carvacrol, and thymol on boron-doped diamond electrode,” Monatshefte für Chemie - Chemical Monthly, vol. 150, no. 6, pp. 991–1002, Jun. 2019, doi: 10.1007/s00706-019-02394-7. [CrossRef]
- A. M. Fenton Jr. and F. R. Brushett, “Using voltammetry augmented with physics-based modeling and Bayesian hypothesis testing to identify analytes in electrolyte solutions,” Journal of Electroanalytical Chemistry, vol. 904, p. 115751, Jan. 2022, doi: 10.1016/j.jelechem.2021.115751. [CrossRef]
- R. B. Keithley, R. Mark Wightman, and M. L. Heien, “Multivariate concentration determination using principal component regression with residual analysis,” TrAC Trends in Analytical Chemistry, vol. 28, no. 9, pp. 1127–1136, Oct. 2009, doi: 10.1016/j.trac.2009.07.002. [CrossRef]










Disclaimer/Publisher’s Note: The statements, opinions and data contained in all publications are solely those of the individual author(s) and contributor(s) and not of MDPI and/or the editor(s). MDPI and/or the editor(s) disclaim responsibility for any injury to people or property resulting from any ideas, methods, instructions or products referred to in the content. |
© 2026 by the authors. Licensee MDPI, Basel, Switzerland. This article is an open access article distributed under the terms and conditions of the Creative Commons Attribution (CC BY) license (http://creativecommons.org/licenses/by/4.0/).
