Preprint
Article

This version is not peer-reviewed.

Preparation and Properties Study of One-Part Additive Curing Silicone Composites Applying in Advanced Packaging

Submitted:

02 March 2026

Posted:

03 March 2026

You are already at the latest version

Abstract
In 2.5D/3D stacked advanced packaging, one-part additive curing silicone composites are widely employed to achieve structural bonding and efficient heat dissipation. In this study, a thermally conductive silicone adhesive was prepared using medium viscosity vinyl silicone oil, hydrogen containing silicone oil, and micron-sized alumina powder as the primary components. The results demonstrated that the adhesive exhibited excellent thermal and mechanical performance. Specifically, its thermal decomposition temperature exceeded 400 °C, the thermal conductivity reached over 1.80 W·m⁻¹·K⁻¹, and the thermal resistance was below 12.0 °C·cm²·W⁻¹. The shear strength exceeded 5.00 MPa. Furthermore, after exposure to uHAST for 384 h, 1,000 thermal cycles, and thermal aging for 1,000 h, the adhesive maintained stable thermal conductivity and mechanical properties. The thermal conductivity remained above 1.70 W·m⁻¹·K⁻¹, and the shear strength remained higher than 5.00 MPa. In addition, the tensile modulus was maintained below 100 MPa, and the coefficient of linear thermal expansion was less than 160 ppm·°C⁻¹. Overall, the comprehensive performance of the adhesive satisfies the reliability requirements for advanced packaging substrates and heat dissipation lid assemblies.
Keywords: 
;  ;  

1. Introduction

In the post-Moore’s Law era, advanced packaging technologies have become increasingly important in semiconductor manufacturing. Driven by the demand for higher performance, greater integration density, and continued miniaturization, chips are evolving at an unprecedented pace, and 2.5D/3D stacked architectures have been widely adopted and commercialized. However, with the proliferation of 2.5D/3D stacked chips, the heat flux generated by densely integrated functional units during operation increases significantly. This results in a rapid rise in the internal temperature of the chip and intensifies thermal stress among micro-scale components [1,2,3,4,5,6,7,8]. It has been reported that for every 2 °C increase in chip temperature, reliability may decrease by approximately 10%. The high heat flux density therefore poses a serious threat to device reliability and service lifetime, highlighting the urgent need for efficient thermal management strategies to dissipate excess heat in a timely manner. In chip thermal management, the heat spreader (thermal lid) and thermal interface materials (TIMs) play critical roles. The TIM serves as a filler medium between the heat spreader and the flip chip or substrate, where its thermal conductivity and interfacial bonding strength are particularly important. Throughout the service life of the device, the material must withstand various reliability evaluations while maintaining stable thermal and mechanical performance [9,10,11].
Thermally conductive silicone, typically formulated as a one-part addition-curing system, is a flexible composite consisting of an organosilicone matrix and thermally conductive fillers [11,12,13,14]. This material exhibits excellent low-temperature resistance, weatherability, electrical insulation, and resistance to moisture and corrosion. Owing to the intrinsic softness of the silicone matrix, it possesses a low elastic modulus and generates minimal internal stress, thereby providing effective stress buffering and vibration damping capabilities [15,16,17,18].Although most commercially available one-part addition-curing thermally conductive silicone can achieve thermal conductivity exceeding 1.80 W·m⁻¹·K⁻¹, their performance may deteriorate under extreme service conditions, such as elevated temperature, high humidity, or other harsh environments [19,20,21,22,23,24,25]. These adverse service conditions may significantly degrade the mechanical properties of the material, leading to interfacial debonding, cracking, or cohesive failure of the silicone layer. Therefore, in addition to maintaining high thermal conductivity, the material must exhibit adequate mechanical strength, toughness, and long-term stability.Rigorous environmental reliability evaluations enable the early detection of deformation, fatigue, and aging phenomena in thermally conductive silicone, thereby preventing detachment, damage, or failure of the heat spreader assembly. Such reliability assurance is essential to guarantee the thermal management efficiency and long-term operational stability of flip-chip ball grid array (FCBGA) packages.
In this work, a one-part thermally conductive silicone adhesive was prepared by blending medium-viscosity vinyl silicone oil, hydrogen-containing silicone oil, composite micron-sized Al₂O₃ fillers, surface treatment agents, thixotropic agents, inhibitors, catalysts, and pigments. Under a simulated chip assembly scenario, its aging resistance and reliability were systematically evaluated and compared with those of a commercially available thermally conductive adhesive. The developed material exhibited superior performance across all tested parameters.The comprehensive properties satisfy the reliability requirements for FCBGA packages and heat spreader assemblies, demonstrating strong potential for practical application. The thermomechanical stress in ball grid array packages primarily arises from external temperature fluctuations, mismatch in the coefficients of linear thermal expansion (CTE) among constituent materials, and the elastic modulus of the adhesive layer. During thermal cycling, materials with a lower CTE and a suitably moderate modulus are desirable to effectively mitigate thermally induced stress [26].

2. Materials and Methods

All reagents used in this study were commercially available. Vinyl-terminated polydimethylsiloxane (Vi-PDMS), silicone resin, and poly(dimethylsiloxane-co-methylhydrosiloxane) (industrial grade) were supplied by Ningbo Runhe High-Tech Materials Co., Ltd. Hydride-terminated polydimethylsiloxane and hexamethylcyclotrisiloxane (analytical grade) were purchased from Shanghai Titan Scientific Co., Ltd. Micron-sized Al₂O₃ powder (reagent grade) was provided by U-BOND Material Technology Co., Ltd. Silica gel, dimethyl maleate, vinyltrimethoxysilane, γ-(2,3-epoxypropoxy)propyltrimethoxysilane, and a vinyl siloxane–platinum complex catalyst (reagent grade) were obtained from Guangdong Wengjiang Chemical Reagent Co., Ltd.
Vinyl-terminated polydimethylsiloxane (10-15 wt%), poly(dimethylsiloxane-co-methylhydrosiloxane) (0.5-1.5 wt%), micron-sized Al₂O₃ powder (83-93 wt%), and a vinyl siloxane–platinum complex catalyst (0.2 wt%) were sequentially weighed and homogeneously mixed using a dynamic mixer to obtain the thermally conductive silicone adhesive, designated as UB-5715. To evaluate its performance at both the material and device levels, the commercially available thermally conductive adhesive DOWSIL™ 4450 (4450) was used as a reference sample.
Fourier transform infrared (FT-IR) spectra were recorded using the attenuated total reflectance (ATR) method on a Thermo Scientific Nicolet iS5 spectrometer. Differential scanning calorimetry (DSC) measurements were carried out on a Netzsch DSC 204 F1 instrument at a heating rate of 10 °C·min⁻¹ under a nitrogen atmosphere.Thermogravimetric analysis (TGA) was performed using a Netzsch TG 209 F3 thermal analyzer at a heating rate of 20 °C·min⁻¹. Rheological properties were characterized using an Anton Paar MCR 302e rheometer. Thermal conductivity and thermal resistance were measured using an LW-9389 thermal resistance tester. Mechanical properties were evaluated using a CMT6503 universal testing machine.
The thermal conductivity and thermal resistance of the conductive adhesive were determined using a steady-state method, based on Fourier’s law, as expressed in Eq. (1):
k = q grad T = Q L S t Δ T = W L S Δ T
where W represents the heating power, L denotes the specimen thickness, S signifies the specimen area and t indicates time [25].
The thermal resistance equation of the specimen at steady-state heat flux is shown in Eq. (2):
R = s w × Δ T
In the formula, R is the thermal resistance, and Δ T is the temperature difference between the hot end and the cold end. Therefore, the relationship between the thermal conductivity ( k ) and thermal resistance ( R ) of the specimen can be obtained according to Eq. (1) and (2), as shown in Eq. (3):
R = 1 k L
The reliability evaluation was conducted under the following conditions: the high-temperature storage test (HTST)was conducted in accordance with the JEDEC JESD22-A103 standard under the condition of 150 °C for 1000 h. The temperature cycling test (TCT) was performed following the JEDEC JESD22-A104 standard, with a temperature range of −40 to 125 °C for 1,000 cycles.The standard Unbiased Highly Accelerated Stress Test (uHAST), per JESD22-A118, is conducted under high pressure, at 130°C, and 85% relative humidity, without electrical bias.

3. Results and Discussion

3.1. Strutural Analysis

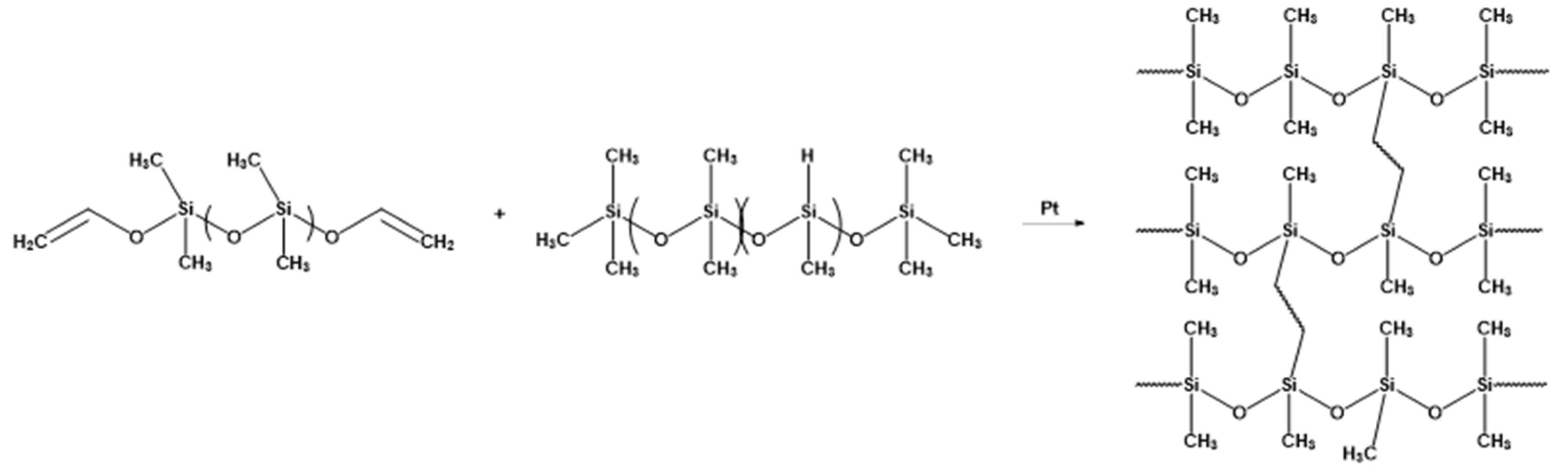
Figure 1. Synthetic Structure Diagram of UB-5715.
Figure 1. Synthetic Structure Diagram of UB-5715.
Preprints 201007 g001
Figure 2 presents the FT-IR spectrum of UB-5715. The characteristic absorption peak at approximately 2962 cm⁻¹ corresponds to the stretching vibration of –CH₃ groups, while the bending vibration of C–H is observed near 1416 cm⁻¹. The absorption band at around 1258 cm⁻¹ is attributed to the vibration of Si–CH₃ groups, and the strong peak centered at approximately 1014 cm⁻¹ corresponds to the stretching vibration of the Si–O–Si backbone. In addition, the in-plane bending vibration of –CH₃ is detected near 793 cm⁻¹. These characteristic peaks confirm the successful formation of the silicone network structure, indicating that the synthesis proceeded as expected.

3.2. Thermal Properties

The thermomechanical properties of the conductive silicone were characterized by DSC and TGA for both uncured (wet) and cured (dry) samples, and the corresponding results are presented in Figure 3. UB-5715 exhibited significantly enhanced thermal stability. The decomposition temperature (Td, defined at 2% weight loss) reached 417 °C, which is markedly higher than that of the reference adhesive (362 °C for 4450). These results indicate the superior thermal resistance of UB-5715 under elevated temperature conditions.
The Tg of UB-5715 was determined to be -45 °C, which is comparable to that of DOWSIL™ 4450 (approximately -46 °C). These results indicate that both silicone adhesives remain in a rubbery state at low temperatures, thereby exhibiting excellent low-temperature flexibility and resistance to embrittlement.The exothermic curing peaks of the two thermally conductive silicone were primarily distributed within the temperature ranges of 115-130 °C and 120-150 °C, respectively. To minimize performance variations caused by differences in curing temperature, a unified curing temperature of 125 °C was selected for subsequent sample preparation and testing.
To further evaluate the thermal stability and dimensional reliability of cured UB-5715, the coefficient of thermal expansion (CTE) was measured and compared with that of 4450. As shown in Figure 3, the CTE of UB-5715 was 144.02 ppm·°C⁻¹, which is 3.63 ppm·°C⁻¹ higher than that of the reference adhesive.Despite this slight increase, UB-5715 maintains a relatively low CTE, enabling good dimensional stability over a broad temperature range. Such controlled thermal expansion behavior is beneficial for reducing thermally induced stress in packaging structures and ensuring reliable chip encapsulation under extreme operating conditions.

3.3. Rheological Properties

As shown in Figure 3, the peak curing temperatures of both UB-5715 and 4450 are distributed within the range of 115-130 °C. Therefore, a representative curing temperature of 125 °C was selected to evaluate the curing kinetics and isothermal holding behavior.The curing behavior of the uncured mixtures was characterized using an Anton Paar MCR 302e rheometer. The temperature was increased from 25 °C to 125 °C at a heating rate of 5 °C·min⁻¹, followed by isothermal holding at 125 °C for 30 min. The curing rates and viscoelastic evolution of UB-5715 and 4450 were then compared to assess differences in their curing characteristics.
As shown in the figure, the gelation time of UB-5715 was 195.62 s, while that of 4450 was 176.65 s, indicating that the initial curing rates of the two materials are comparable.
Figure 4. Time dependent variation of storage modulus and loss modulus at 125 ℃ a) UB-5715, b) 4450.
Figure 4. Time dependent variation of storage modulus and loss modulus at 125 ℃ a) UB-5715, b) 4450.
Preprints 201007 g004

3.4. Thermal Conductivity

The measured thermal conductivity and thermal resistance values of UB-5715 and 4450 are summarized in Table 1. Compared with 4450, UB-5715 achieved a thermal conductivity of 1.80 W·m⁻¹·K⁻¹, demonstrating excellent heat transfer capability. Both thermally conductive silicones satisfy the thermal conductivity requirements for flip-chip ball grid array (FCBGA) assembly, ensuring effective heat dissipation during device operation.

3.5. The Reliability Evaluation of Thermal Conductive Silicone Adhesive

3.5.1. Reliability of Thermal Conductivity

As shown in Figure 5, the thermal conductivity of both UB-5715 and 4450 decreased to varying degrees after prolonged aging under uHAST, HTST, and TCT. Under high-temperature and high-humidity conditions, the silicone matrix may undergo oxidative or hydrolytic degradation due to exposure to oxygen and moisture. In addition, organic or inorganic additives within the composite may gradually decompose, volatilize, or leach out over time, thereby impairing the integrity of the thermally conductive network and reducing heat transfer efficiency. The decline in thermal conductivity observed during thermal cycling can be attributed to fatigue effects induced by repeated thermal expansion and contraction. These cyclic stresses may generate microstructural damage and localized stress concentration within the silicone matrix, further disrupting heat conduction pathways. Despite these effects, the maximum reduction in thermal conductivity of UB-5715 during reliability testing was only 5.6% (from 1.80 to 1.70 W·m⁻¹·K⁻¹), demonstrating its excellent thermal stability and resistance to environmental degradation.

3.5.2. Reliability of Mechanical Property

Figure 6. The reliability of shear strength was evaluated under a) uHAST, b) HTST, and c) TCT.
Figure 6. The reliability of shear strength was evaluated under a) uHAST, b) HTST, and c) TCT.
Preprints 201007 g006
Shear strength is a critical parameter for evaluating the interfacial bonding performance of thermally conductive silicone adhesives. Compared with 4450, UB-5715 exhibited superior shear strength and bonding stability, with values consistently remaining above 5.50 MPa throughout the aging process. Notably, the shear strength of UB-5715 slightly increased after prolonged aging, which may be attributed to further crosslinking or post-curing reactions promoted by elevated temperature and humidity conditions.
In flip-chip ball grid array (FCBGA) packaging, both the stability of the tensile modulus and the coefficient of thermal expansion (CTE) are of paramount importance. A stable and moderate tensile modulus helps maintain structural integrity and stress buffering within the adhesive layer, while a lower CTE reduces thermally induced stress on the chip and interconnects. Moreover, wider temperature excursions can generate greater thermomechanical stress due to CTE mismatch among different packaging components [14].
As shown in Figure 7, the average tensile modulus of UB-5715 was lower than that of 4450, remaining below 75 MPa. The relatively lower modulus indicates improved flexibility and stress-buffering capability of the adhesive layer, which is beneficial for maintaining interfacial integrity in packaging applications. The fluctuation amplitude of UB-5715 was approximately 30 MPa, significantly smaller than that of 4450 (approximately 70 MPa), demonstrating superior mechanical stability during aging.Furthermore, the coefficient of thermal expansion (CTE) of UB-5715 remained relatively stable throughout the aging process, consistently staying below 160 ppm·°C⁻¹. This controlled thermal expansion behavior contributes to reduced thermomechanical stress and enhanced reliability in flip-chip packaging structures.

3.5.3. Analysis of Morphology After Aging

As shown in Figure 8a,e, both UB-5715 and 4450 initially form continuous and dense thermal interface layers. After exposure to three different aging tests, UB-5715 exhibited no visible cracks or surface defects, maintaining excellent morphological stability at the micron scale. In contrast, as clearly observed in Figure 8b,c,f,g, significant filler aggregation appeared on the surface of 4450 after high-temperature aging and thermal cycling tests. Such filler accumulation may disrupt the uniformity of the thermal conduction network and deteriorate interfacial contact, thereby leading to a marked decline in heat dissipation performance.

4. Conclusions

In summary, a high-thermal-conductivity silicone thermal interface material, designated as UB-5715, was successfully prepared using 50-90 parts of low-viscosity vinyl silicone oil and 2-10 parts of hydrogen-containing silicone oil, combined with 500-1200 parts of micron-sized alumina as the thermally conductive filler. The physicochemical, thermal, and mechanical properties of the material were systematically characterized. The results demonstrate that UB-5715 achieves the targeted thermal conductivity, while exhibiting excellent thermal stability with a Td exceeding 400 °C. The shear strength reached above 5.00 MPa, indicating strong interfacial bonding capability. Furthermore, after exposure to uHAST, HTST, and TCT reliability evaluation, UB-5715 maintained stable thermal conductivity and mechanical performance. Overall, the developed material satisfies the reliability requirements for chip-heat spreader assembly and advanced packaging applications, demonstrating promising potential for practical implementation in high-performance electronic devices.

Author Contributions

Conceptualization, Yuwen Xu; Methodology, Yuwen Xu; Software, Wenfei Wang; Validation, Liangjun Liu; Formal analysis, Yuwen Xu; Investigation, Yuwen Xu; Resources, Haibing Yang; Data curation, Minghua Jiang and Kun Jia; Writing – original draft, Yuwen Xu; Writing – review & editing, Yuwen Xu; Visualization, Tingxin Chen and Kun Jia; Supervision, Kun Jia; Project administration, Yuwen Xu.

Funding

This research received no external funding.

Institutional Review Board Statement

Not applicable.

Informed Consent Statement

Not applicable.

Data Availability Statement

The original contributions presented in this study are included in the article. Further inquiries can be directed to the corresponding author.

Conflicts of Interest

Declare conflicts of interest or state “The authors declare no conflicts of interest.” Authors must identify and declare any personal circumstances or interest that may be perceived as inappropriately influencing the representation or interpretation of reported research results. Any role of the funders in the design of the study; in the collection, analyses or interpretation of data; in the writing of the manuscript; or in the decision to publish the results must be declared in this section. If there is no role, please state “The funders had no role in the design of the study; in the collection, analyses, or interpretation of data; in the writing of the manuscript; or in the decision to publish the results”.

References

  1. Abdullah, M.F.; Lee, H.W. Technology Review of CNTs TSV in 3D IC and 2.5D Packaging: Progress and Challenges from an Electrical Viewpoint. Microelectronic Engineering 2024, 290, 112189. [Google Scholar] [CrossRef]
  2. Liang, C.-W.; Sung, Y.-C.; Hwang, S.-J.; Shih, M.-H.; Liao, W.-H.; Lin, T.-H.; Yang, D.-Y. Fan-out Panel-Level Package Warpage and Reliability Analyses Considering the Fabrication Process. Journal of Manufacturing Processes 2024, 119, 649–665. [Google Scholar] [CrossRef]
  3. Feng, C.-Y.; Zhang, P.; Wang, D.-W.; Zhao, W.-S.; Wang, J.; Christodoulides, P. Hybrid Neural Network Based Multi-Objective Optimal Design of Hybrid Pin-Fin Microchannel Heatsink for Integrated Microsystems. International Communications in Heat and Mass Transfer 2024, 159, 108137. [Google Scholar] [CrossRef]
  4. Yao, Y.; An, Y.; Dong, J.; Wang, Y.; Tu, K.N.; Liu, Y. Effect of Joule Heating on the Reliability of Microbumps in 3D IC. Journal of Materials Research and Technology 2024, 31, 3374–3382. [Google Scholar] [CrossRef]
  5. Xue, L.; Li, X.; Zhang, H. Thermal Stress and Drop Stress Analysis Based on 3D Package Reliability Study. Microelectronics Reliability 2023, 141, 114888. [Google Scholar] [CrossRef]
  6. Shih, M.-K.; Shih, S.; Liao, T.-W.; Chen, D.-L.; Liu, D.S.; Tarng, D. Investigation into Thermo-Mechanical Reliability of Copper Trace Lines in Stacked Dies Ball Grid Array Packaging. Microelectronics Reliability 2022, 130, 114488. [Google Scholar] [CrossRef]
  7. Li, Z.; Tan, J.; Li, J.; et al. A review on thermal management of light- emitting diodes:From package-level to system-level. Applied Thermal Engineering 2024, 257, 124145. [Google Scholar] [CrossRef]
  8. Kafil M. Razeeb.; Eric Dalton.; Graham Lawerence William Cross.; Anthony James Robinson. International Materials Reviews 2018, 1(18), 1–21. [CrossRef]
  9. Wu, Y.; Zhang, C.; Tu, W.; Du, G.; Zeng, X.; Sun, R.; Xu, Y.; Ren, L. Compliant Thermal Interface Materials via Introducing Pendent Chains into Polymer Networks for Chip Cooling. Composites Communications 2023, 37, 101452. [Google Scholar] [CrossRef]
  10. qi, Si; Fang, Cui; Na, Jiang; Liyi, Song; Ding, Shi Peng. Flexible Films for Smart Thermal Management: Influence of Structure Construction of a Two-Dimensional Graphene Network on Active Heat Dissipation Response Behavior. ACS Appl. Mater. Interfaces 2019, 11(33), 30352–30359. [Google Scholar] [CrossRef] [PubMed]
  11. Wang, W.; Zhou, W.; Shi, H. e al.Soft and thermally conductive gels by introducing free-movable polymer chains into network Polymer. 2023, 267, 125642. [Google Scholar] [CrossRef]
  12. Tan, J.; Zhu, G.; Yang, F.; Zhang, S.; Wu, Q.; Xu, L.; Li, Y.; Tan, L.; Meng, X.; Yu, J.; et al. Multi-Scale-Filler Reinforcement Strategy Enabled Stretchable Silicone Elastomer with Synergistically Enhanced Thermal Conductivity and Mechanical Strength. Composites Part A: Applied Science and Manufacturing 2023, 175, 107784. [Google Scholar] [CrossRef]
  13. Lin, Z.; Jin, H.; Deng, H.; Zu, Z.; Huang, H.; Zhang, L.; Xiang, H. Robust, Self-Healable, Recyclable and Thermally Conductive Silicone Composite as Intelligent Thermal Interface Material. Composite Structures 2024, 332, 117932. [Google Scholar] [CrossRef]
  14. Deng, M.; Xu, Y.; Gao, K.; et al. A graphene nanoflake-based flexible composite phase change material for enhanced heat dissipation in chip cooling. Applied Thermal Engineering 2024, 245, 122908. [Google Scholar] [CrossRef]
  15. Li, Z.; Sun, Y.; Hu, F.; et al. An overview of polymer-based thermally conductive functional. Journal of Materials Science & Technology 2024, 218, 191–210. [Google Scholar] [CrossRef]
  16. Liu, J.; Fang, Z.; An, J.; Bao, C. Effect of the Cross-Linking of Polyorganosiloxane on Highly Thermally Conductive Silicone Rubber’s Mechanical, Dielectric, and Thermally Conductive Properties and Thermal Reliability. Composites Communications 2024, 45, 101781. [Google Scholar] [CrossRef]
  17. Jinkins, K.R.; Li, S.; Arafa, H.; Jeong, H.; Lee, Y.J.; Wu, C.; Campisi, E.; Ni, X.; Cho, D.; Huang, Y.; et al. Thermally Switchable, Crystallizable Oil and Silicone Composite Adhesives for Skin-Interfaced Wearable Devices. Sci. Adv. 2022, 8. [Google Scholar] [CrossRef]
  18. Tian, XU. Thermal Management Materials for Electronic Packaging: Preparation, Characterization, and Devices. John Wiley & Sons, 2023; pp. 290–291. [Google Scholar]
  19. Liu, H.; Hu, J.; Yang, W.; et al. Honeycomb networks of boron nitride/nanodiamond with interlocking interfaces enhance the application reliability of silicone rubber thermal conductivity composites. Polymer Composites 2024, 45(10), 9064–9078. [Google Scholar] [CrossRef]
  20. Hu, X.; Wei, S.; Zhang, Y.; Lin, Q.; Chen, X.; Cai, L.; Dong, H.; Song, Y.; Qu, Z.; Wu, C. Preparation of Thermal Interface Materials with High Thermal Conductivity through the Synergistic Effect of Monoalkoxy-Terminated Polysiloxane and Branched Siloxane Oligomers. European Polymer Journal 2024, 211, 113042. [Google Scholar] [CrossRef]
  21. Ye, B.; Li, L.; Dai, K.; et al. Facile preparation of thermally conductive fiber film by self-assembling interconnected boron nitride nanosheets for effective thermal interface materials. Polymer Composites 2024, 45(9), 8426–8435. [Google Scholar] [CrossRef]
  22. Yongdong, Wu; Chenxu, Zhang; Wendian, Tu; Guoping, Du; Xiaoliang, Zeng; Rong, Sun; Yonglun, Xu; Linlin, Ren. Compliant thermal interface materials via introducing pendent chains into polymer networks for chip cooling. Composites Communications 2023, 37, 101452. [Google Scholar]
  23. Liu, W.; Liu, Y.; Zhong, S.; et al. Soft and Damping Thermal Interface Materials with Honeycomb-Board-Mimetic Filler Network for Electronic Heat Dissipation Small. 2024, 20(35), 2400115. [Google Scholar]
  24. Yu, Y.; Wang, M.; Foix, D.; Li, S. Rheological Study of Epoxy Systems Blended with Poly(Ether Sulfone) of Different Molecular Weights. Ind. Eng. Chem. Res. 2008, 47, 9361–9369. [Google Scholar] [CrossRef]
  25. Bagetti Jeronimo, M.; Schindele, J.; Straub, H.; Gromala, P.J.; Wunderle, B.; Zimmermann, A. On the Influence of Lid Materials for Flip-Chip Ball Grid Array Package Applications. Microelectronics Reliability 2023, 140, 114869. [Google Scholar] [CrossRef]
  26. Huang, T.; Zhang, X.; Wang, T.; et al. Self-Modifying Nanointerface Driving Ultrahigh Bidirectional Thermal Conductivity Boron Nitride-Based Composite Flexible Films. Nano-Micro Letters 2023, 15(1), 2. [Google Scholar] [CrossRef]
Figure 2. FT-IR spectrum of thermal conductive silicone adhesive UB-5715.
Figure 2. FT-IR spectrum of thermal conductive silicone adhesive UB-5715.
Preprints 201007 g002
Figure 3. Thermomechanical properties of thermal conductive silicone adhesive a) Thermal weight loss curve at 25~900 ℃, b) DSC curve at -75~25 ℃, c) DSC curve at 25~180 ℃, d) Thermal expansion coefficient curves.
Figure 3. Thermomechanical properties of thermal conductive silicone adhesive a) Thermal weight loss curve at 25~900 ℃, b) DSC curve at -75~25 ℃, c) DSC curve at 25~180 ℃, d) Thermal expansion coefficient curves.
Preprints 201007 g003
Figure 5. The reliability of thermal conductivity was evaluated under a) uHAST, b) HTST, and c) TCT.
Figure 5. The reliability of thermal conductivity was evaluated under a) uHAST, b) HTST, and c) TCT.
Preprints 201007 g005
Figure 7. The reliability of tensile modulus was under a) uHAST, b) 150 °C, and c) thermal cycle of -45 to 150 °C. And the reliability of CTE was under d) uHAST, e) 150 ℃, f) thermal cycle of -45 to 150 °C.
Figure 7. The reliability of tensile modulus was under a) uHAST, b) 150 °C, and c) thermal cycle of -45 to 150 °C. And the reliability of CTE was under d) uHAST, e) 150 ℃, f) thermal cycle of -45 to 150 °C.
Preprints 201007 g007
Figure 8. The SEM images of UB-5715 in (a) initial, (b) HTST, (c) TCT and (d) uHAST. The second line is the SEM images of 4450 under corresponding conditions.
Figure 8. The SEM images of UB-5715 in (a) initial, (b) HTST, (c) TCT and (d) uHAST. The second line is the SEM images of 4450 under corresponding conditions.
Preprints 201007 g008
Table 1. Conductive properties of silicone adhesive.
Table 1. Conductive properties of silicone adhesive.
Sample Thermal Conductivity
W·m-1·K-1
Thermal Resistance
·cm2·W-1
UB-5715 1.80 10.947
4450 1.70 11.134
Disclaimer/Publisher’s Note: The statements, opinions and data contained in all publications are solely those of the individual author(s) and contributor(s) and not of MDPI and/or the editor(s). MDPI and/or the editor(s) disclaim responsibility for any injury to people or property resulting from any ideas, methods, instructions or products referred to in the content.
Copyright: This open access article is published under a Creative Commons CC BY 4.0 license, which permit the free download, distribution, and reuse, provided that the author and preprint are cited in any reuse.
Prerpints.org logo

Preprints.org is a free preprint server supported by MDPI in Basel, Switzerland.

Subscribe

Disclaimer

Terms of Use

Privacy Policy

Privacy Settings

© 2026 MDPI (Basel, Switzerland) unless otherwise stated