Submitted:
27 February 2026
Posted:
28 February 2026
You are already at the latest version
Abstract
Hyaluronic acid (HA)–based nanocapsules containing plant-derived bioactives are promising formulations for dermatological applications. In this study, nanocapsules containing extracts of Arnica montana, Calendula officinalis and Aesculus hippocastanum were synthesized and their structural and functional properties were characterized. Scanning electron microscopy confirmed the formation of spherical nanostructures with uniform morphology, while rheological analyses demonstrated stable viscoelastic behavior suitable for topical application. Their antimicrobial potential was assessed on microorganisms isolated from multiple regions of healthy human skin and opportunistic pathogens. A diverse panel of approx.. 100 bacterial and fungal isolates was identified using MALDI-TOF MS. Antimicrobial activity of formulations was compared with commonly used disinfectants: H2O2, octenidine, isopropanol and topical ophthalmic antiseptic. Arnica-based formulations showed the strongest inhibitory effect against both Gram-positive and Gram-negative bacteria, whereas chestnut extract demonstrated selective activity against Candida spp. Calendula-based formulation exhibited limited antimicrobial activity. These findings demonstrate that plant-extract-loaded HA nanocapsules exhibit selective antimicrobial properties dependent on extract type and microbial group, supporting their potential as multifunctional components of future dermatological formulations.
Keywords:
1. Introduction
2. Materials and Methods
2.1. Preparation of Nanocomposites
2.1.1. Preparation of Hyaluronic Acid Gel
2.1.2. Preparation of Nanoemulsions
2.1.3. Preparation of the Control Sample (H0)
2.1.4. Preparation of Nanocomposite Formulations
2.1.5. Sample Preparation for Analysis
2.2. Scanning Electron Microscopy
2.3. FTIR Spectroscopy
2.4. UV-Vis Spectroscopy
2.5. Color Measurement
2.6. Rheological Measurement
2.7. Texture Analyses
2.8. Antimicrobial Activity Assays
2.9. Statistical Analyses
3. Results and Discussion
3.1. Scanning Electron Microscopy-Based Determination of the Obtained Nanocapsules
3.2. FTIR Spectroscopy
3.3. UV-VIS
- Aesculus hippocastanum (AH): The spectrum is dominated by a sharp, intense peak at ~264 nm. This absorption corresponds to the Band II (benzoyl system) transitions, likely attributable to coumarin glycosides (e.g., esculin, fraxin) and phenolic acids, which are the primary bioactive constituents of horse chestnut [24].
- Calendula officinalis (CO): While exhibiting the UV peaks characteristic of phenolics, the CO spectrum is distinguished by a broader absorption profile that extends into the visible region (>400 nm). This elevated baseline and “tailing” effect are indicative of the presence of carotenoids (e.g., lutein, beta-carotene), which are well-known chromophores in calendula flowers [22,25].
3.4. Color Parameters of Emulsions
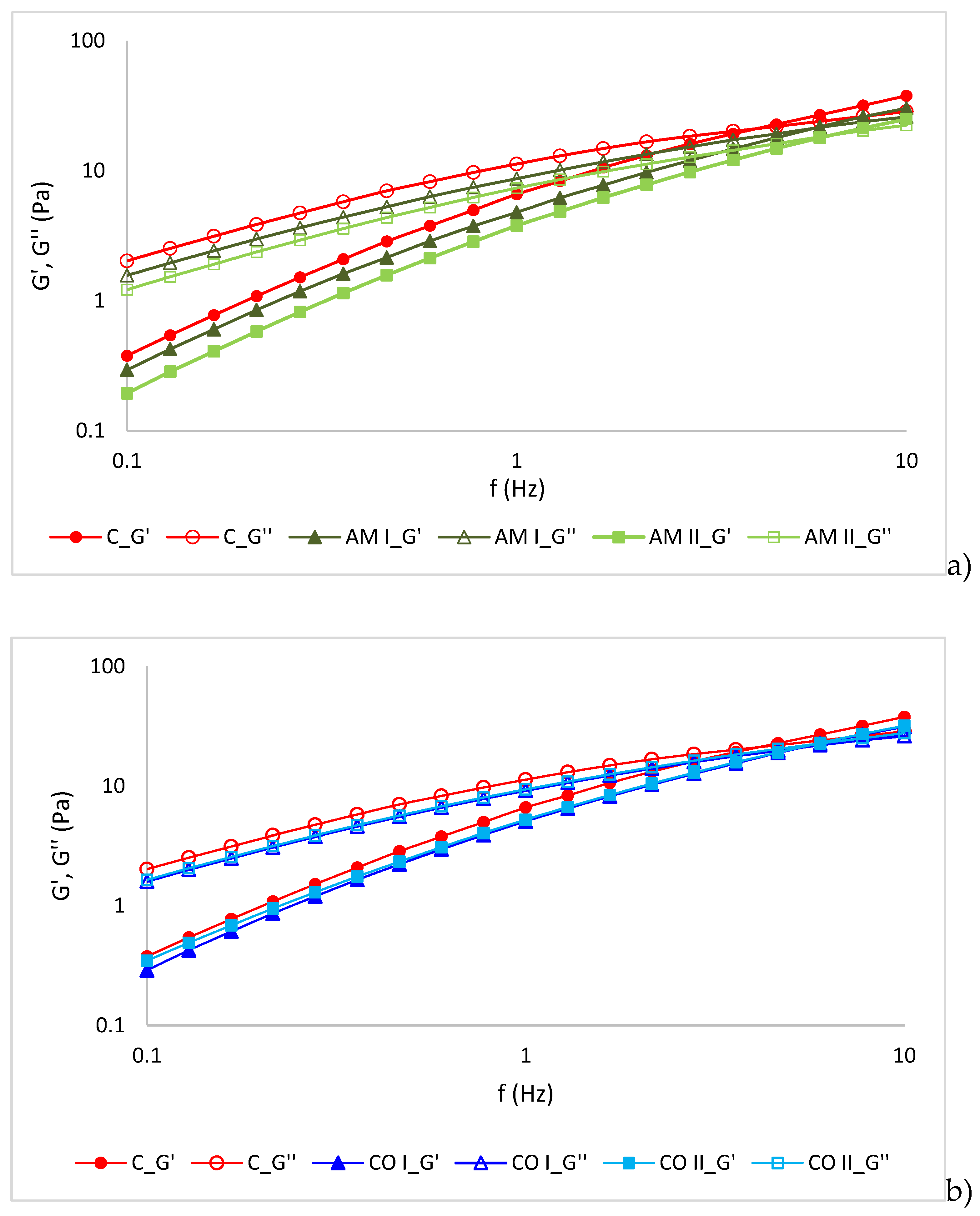
3.5. Rheological Properties of Emulsions
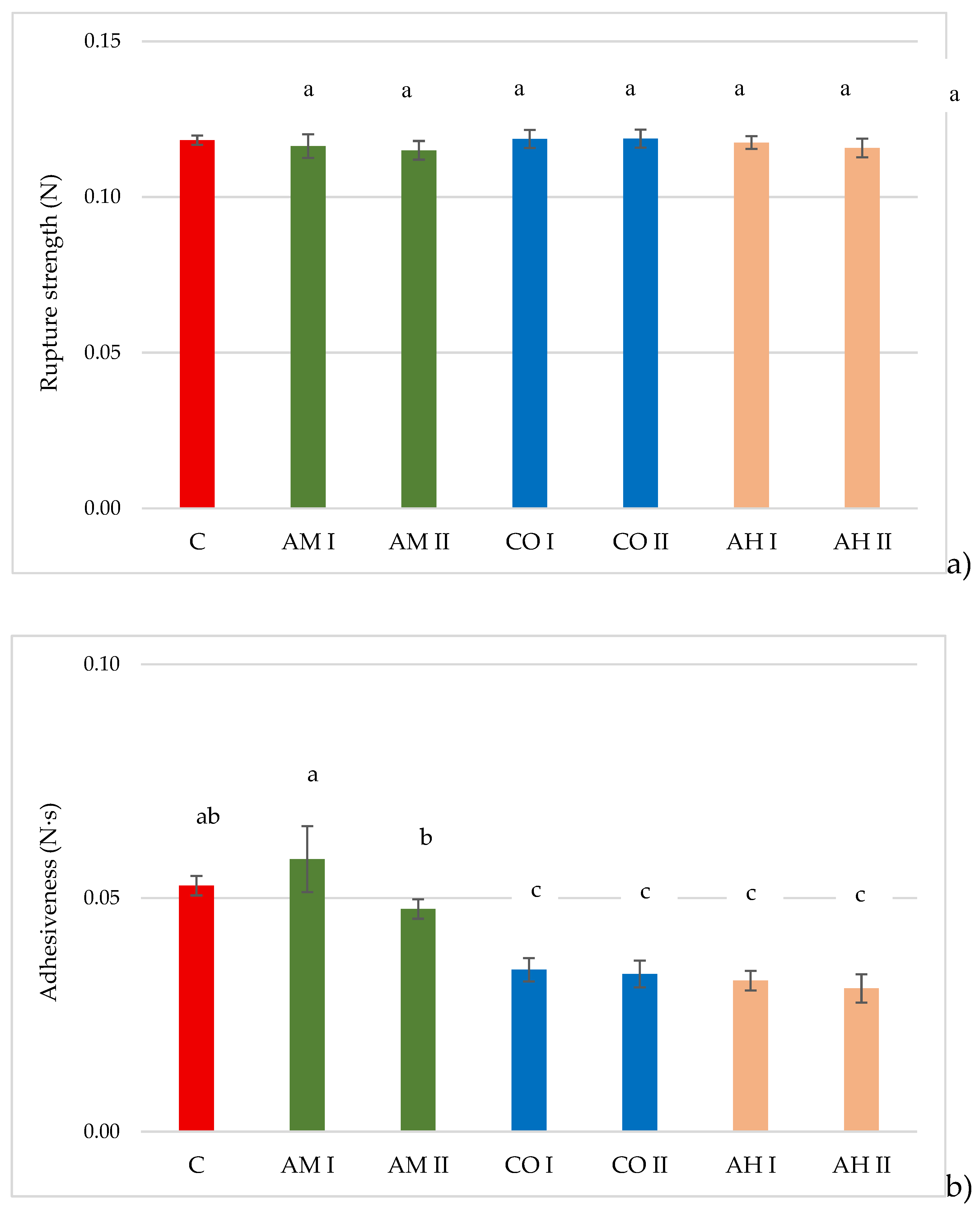
3.6. Texture Properties of Emulsions
3.7. Preliminary Screening of Plant-Based Emulsions and Reference Antiseptics
4. Conclusions
Author Contributions
Funding
Institutional Review Board Statement
Informed Consent Statement
Data Availability Statement
Conflicts of Interest
References
- Adamczyk, K.; Garncarczyk, A.A.; Antończak, P.P. The Microbiome of the Skin. Dermatology Review/Przegląd Dermatologiczny 2018, 105, 285–297. [Google Scholar] [CrossRef]
- Belkaid, Y.; Segre, J.A. Dialogue between Skin Microbiota and Immunity. Science 2014, 346, 954–959. [Google Scholar] [CrossRef]
- Wanke, I.; Skabytska, Y.; Kraft, B.; Peschel, A.; Biedermann, T.; Schittek, B. Staphylococcus Aureus Skin Colonization Is Promoted by Barrier Disruption and Leads to Local Inflammation. Experimental dermatology 2013, 22, 153–155. [Google Scholar] [CrossRef]
- Kononowicz, W.S.; Malara, B. Post-Treatment Physiological Effects, Adverse Effects and Complications after the Selected Aesthetic Treatments. Review of the Literature 2021, 10, 211–216. [Google Scholar] [CrossRef]
- Cedillo-Cortezano, M.; Martinez-Cuevas, L.R.; López, J.A.M.; Barrera López, I.L.; Escutia-Perez, S.; Petricevich, V.L. Use of Medicinal Plants in the Process of Wound Healing: A Literature Review. Pharmaceuticals 2024, 17, 303. [Google Scholar] [CrossRef]
- Pourshahidi, S.; Sheykhbahaei, N. Effectiveness of Herbal Based Medications in the Treatment of Oral Lichen Planus: A Review Article. Journal of Herbal Medicine 2021, 29, 100458. [Google Scholar] [CrossRef]
- King, M. The Management of Bruising Following Nonsurgical Cosmetic Treatment. The Journal of clinical and aesthetic dermatology 2017, 10, E1–E4. [Google Scholar]
- Sherban, A.; Wang, J. V; Geronemus, R.G. Growing Role for Arnica in Cosmetic Dermatology: Lose the Bruise. Journal of cosmetic dermatology 2021, 20, 2062–2068. [Google Scholar] [CrossRef]
- Walendziak, W.; Villegas, N.R.; Douglas, T.E.L.; Kozlowska, J. Phytochemical Studies of Plant Extracts Enclosed in Chitosan Microparticles and the Effect of Phytoformulations on Skin Condition. European Polymer Journal 2025, 233, 113968. [Google Scholar] [CrossRef]
- Butkeviciute, A.; Ramanauskiene, K.; Kurapkiene, V.; Janulis, V. Dermal Penetration Studies of Potential Phenolic Compounds Ex Vivo and Their Antioxidant Activity In Vitro. Plants (Basel, Switzerland) 2022, 11. [Google Scholar] [CrossRef]
- Balazs, E.A.; Denlinger, J.L. Clinical Uses of Hyaluronan. In Ciba Foundation Symposium 143 - The Biology of Hyaluronan; Novartis Foundation Symposia, 2007; pp. 265–285. ISBN 9780470513774. [Google Scholar]
- Krystyjan, M.; Majka, P.; Sobolewska-Zielińska, J.; Turek, K.; Michalski, O.; Khachatryan, K.; Khachatryan, G. Enrichment of Apple–Plum Fruit Mousse with Vitamin D3 and Sea Buckthorn Oil Using Pectin-Based Encapsulation: A Study of Physicochemical and Sensory Properties. International Journal of Molecular Sciences 2025, 26, 11480. [Google Scholar] [CrossRef]
- Krystyjan, M.; Khachatryan, G.; Khachatryan, K.; Lenart-Boroń, A.; Socha, R.; Potoniec, Z. The Fortification of Fruit Mousses with Encapsulated Bioactive Compounds in a Potato Starch Matrix as an Example of Novel Functional Foods. International Journal of Molecular Sciences 2026, 27, 1106. [Google Scholar] [CrossRef]
- Krystyjan, M.; Khachatryan, G.; Ciesielski, W.; Buksa, K.; Sikora, M. Preparation and Characteristics of Mechanical and Functional Properties of Starch/Plantago Psyllium Seeds Mucilage Films. Starch - Stärke 2017, 69, 1700014. [Google Scholar] [CrossRef]
- Krystyjan, M.; Ciesielski, W.; Khachatryan, G.; Sikora, M.; Tomasik, P. Structure, Rheological, Textural and Thermal Properties of Potato Starch – Inulin Gels. LWT - Food Science and Technology 2015, 60, 131–136. [Google Scholar] [CrossRef]
- Khachatryan, G.; Khachatryan, L.; Krystyjan, M.; Lenart-Boroń, A.; Krzan, M.; Kulik, K.; Białecka, A.; Grabacka, M.; Nowak, N.; Khachatryan, K. Preparation of Nano/Microcapsules of Ozonated Olive Oil in Hyaluronan Matrix and Analysis of Physicochemical and Microbiological (Biological) Properties of the Obtained Biocomposite. International Journal of Molecular Sciences 2022, 23. [Google Scholar] [CrossRef]
- Khachatryan, G.; Khachatryan, K.; Krystyjan, M.; Krzemińska-Fiedorowicz, L.; Lenart-Boroń, A.; Białecka, A.; Krupka, M.; Krzan, M.; Blaszyńska, K.; Hanula, M.; et al. Synthesis and Investigation of Physicochemical and Biological Properties of Films Containing Encapsulated Propolis in Hyaluronic Matrix. Polymers 2023, 15. [Google Scholar] [CrossRef]
- Lenart-Boroń, A.; Stankiewicz, K.; Bulanda, K.; Czernecka, N.; Heliasz, M.; Hunter, W.; Ratajewicz, A.; Khachatryan, K.; Khachatryan, G. In Vitro Antibacterial Activity of Ozonated Olive Oil against Bacteria of Various Antimicrobial Resistance Profiles Isolated from Wounds of Companion Animals. International Journal of Molecular Sciences 2024, 25. [Google Scholar] [CrossRef]
- Dias, M.I.; Albiston, C.; Añibarro-Ortega, M.; Ferreira, I.C.F.R.; Pinela, J.; Barros, L. Sonoextraction of Phenolic Compounds and Saponins from Aesculus Hippocastanum Seed Kernels: Modeling and Optimization. Industrial Crops and Products 2022, 185, 115142. [Google Scholar] [CrossRef]
- Mahmoud, M.H.; Mehaya, fathy m; abu-salem, ferial m. ENCAPSULATION OF POMEGRANATE SEED OIL USING W/O/W NANO-EMULSION TECHNIQUE FOLLOWED BY SPRAY DRYING AND ITS APPLICATION IN JELLY FORM. Journal of microbiology, biotechnology and food sciences 2020, 10, 449–453. [Google Scholar] [CrossRef]
- Cortez-Trejo, M.C.; Wall-Medrano, A.; Gaytán-Martínez, M.; Mendoza, S. Microencapsulation of Pomegranate Seed Oil Using a Succinylated Taro Starch: Characterization and Bioaccessibility Study. Food Bioscience 2021, 41, 100929. [Google Scholar] [CrossRef]
- Adiba, A.; Razouk, R.; Haddioui, A.; Ouaabou, R.; Hamdani, A.; Kouighat, M.; Hssaini, L. FTIR Spectroscopy-Based Lipochemical Fingerprints Involved in Pomegranate Response to Water Stress. Heliyon 2023, 9, e16687. [Google Scholar] [CrossRef] [PubMed]
- Ivanova, D.; Deneva, V.; Zheleva-Dimitrova, D.; Balabanova-Bozushka, V.; Nedeltcheva, D.; Gevrenova, R.; Antonov, L. Quantitative Characterization of Arnicae Flos by RP-HPLC-UV and NIR Spectroscopy. Foods 2019, 8, 9. [Google Scholar] [CrossRef]
- Mekonnen, K.D. Fourier Transform Infrared Spectroscopy as a Tool for Identifying the Unique Characteristic Bands of Lipid in Oilseed Components: Confirmed via Ethiopian Indigenous Desert Date Fruit. Heliyon 2023, 9, e14699. [Google Scholar] [CrossRef] [PubMed]
- Jerman, I.; Ogrizek, L.; Pihir, J.; Senica, M. Interactions of Highly Diluted Arnica Montana Extract with Water Across Glass Interfaces †. International Journal of Molecular Sciences 2025, 26, 1115. [Google Scholar] [CrossRef] [PubMed]
- Petrova, M.; Geneva, M.; Trendafilova, A.; Miladinova-Georgieva, K.; Dimitrova, L.; Sichanova, M.; Nikolova, M.; Ivanova, V.; Dimitrova, M.; Sozoniuk, M. Antioxidant Capacity and Accumulation of Caffeoylquinic Acids in Arnica Montana L. In Vitro Shoots After Elicitation with Yeast Extract or Salicylic Acid. Plants 2025, 14, 967. [Google Scholar] [CrossRef]
- Sausserde, R.; Kampuss, K. COMPOSITION OF CAROTENOIDS IN CALENDULA ( CALENDULA OFFICINALIS L.) FLOWERS. Foodbalt 2014, 13–18. [Google Scholar]
- Haładyn, K.; Wojdyło, A.; Nowicka, P. Isolation of Bioactive Compounds (Carotenoids, Tocopherols, and Tocotrienols) from Calendula Officinalis L., and Their Interaction with Proteins and Oils in Nanoemulsion Formulation. Molecules 2024, 29, 4184. [Google Scholar] [CrossRef]
- Jarzębski, M.; Smułek, W.; Siejak, P.; Kobus-Cisowska, J.; Pieczyrak, D.; Baranowska, H.M.; Jakubowicz, J.; Sopata, M.; Białopiotrowicz, T.; Kaczorek, E. Aesculus Hippocastanum L. Extract as a Potential Emulsion Stabilizer. Food Hydrocolloids 2019, 97, 105237. [Google Scholar] [CrossRef]
- Michalak, M.; Błońska-Sikora, E.M.; Paradowska, K.; Zielińska, A. Pharmaceutical Availability of Hydrogels with Extracts of Arnica Montana, Aesculus Hippocastanum and Ruscus Aculeatus and Their Potential Use as Antioxidant Polyphenol-Rich Material. Medical Studies/Studia Medyczne 2023, 39, 223–229. [Google Scholar] [CrossRef]
- Kasprzak, M.M.; Berski, W.; Krystyjan, M.; Jamróz, E.; Florczuk, A.; Tkaczewska, J.; Zając, M.; Domagała, J.; Lett, A.M.; Ptasznik, S. Effects of Fibre Addition and Processing on the Stability, Rheology and in Vitro Gastric Digestion of Whey Protein-Xanthan Gum Stabilised Emulsions with High Oil Phase. LWT 2023, 178, 114465. [Google Scholar] [CrossRef]
- Krystyjan, M.; Dobosz-Kobędza, A.; Sikora, M.; Baranowska, H.M. Influence of Xanthan Gum Addition on the Short- and Long-Term Retrogradation of Corn Starches of Various Amylose Content. Polymers 2022, 14. [Google Scholar] [CrossRef]
- QUINTANA, J.M.; CALIFANO, A.N.; ZARITZKY, N.E.; PARTAL, P.; FRANCO, J.M. LINEAR AND NONLINEAR VISCOELASTIC BEHAVIOR OF OIL-IN-WATER EMULSIONS STABILIZED WITH POLYSACCHARIDES. Journal of Texture Studies 2002, 33, 215–236. [Google Scholar] [CrossRef]
- Milas, M.; Rinaudo, M.; Roure, I.; Al-Assaf, S.; Phillips, G.O.; Williams, P.A. Comparative Rheological Behavior of Hyaluronan from Bacterial and Animal Sources with Cross-Linked Hyaluronan (Hylan) in Aqueous Solution. Biopolymers 2001, 59, 191–204. [Google Scholar] [CrossRef] [PubMed]
- Khachatryan, G.; Khachatryan, K.; Krystyjan, M.; Krzan, M.; Khachatryan, L. Functional Properties of Composites Containing Silver Nanoparticles Embedded in Hyaluronan and Hyaluronan-Lecithin Matrix. International journal of biological macromolecules 2020, 149, 417–423. [Google Scholar] [CrossRef] [PubMed]
- Venerová, T.; Pekař, M. Rheological Properties of Gels Formed by Physical Interactions between Hyaluronan and Cationic Surfactants. Carbohydrate Polymers 2017, 170, 176–181. [Google Scholar] [CrossRef]
- Kharaziha, M.; Scheibel, T.; Salehi, S. Multifunctional Naturally Derived Bioadhesives: From Strategic Molecular Design toward Advanced Biomedical Applications. Progress in Polymer Science 2024, 150, 101792. [Google Scholar] [CrossRef]
- Almuqbil, R.M.; Aldhubiab, B. Bioadhesive Nanoparticles in Topical Drug Delivery: Advances, Applications, and Potential for Skin Disorder Treatments. Pharmaceutics 2025, 17. [Google Scholar] [CrossRef]
- Al-Smadi, K.; Ali, M.; Zhu, J.; Abdoh, A.; Phan, K.; Mohammed, Y. Advances in Characterization of Transdermal and Topical Products Using Texture Analyzer Systems. AAPS PharmSciTech 2025, 26, 157. [Google Scholar] [CrossRef]
- Andrzejczuk, S.; Sozoniuk, M.; Sugier, D. Preliminary Assessment of Arnica Montana L. Extract: Antimicrobial Activity Against Acinetobacter Baumannii and Biofilm-Related Gene Expression Profiling. Genes 2025, 16, 1473. [Google Scholar] [CrossRef] [PubMed]
- Žitek, T.; Postružnik, V.; Knez, Ž.; Golle, A.; Dariš, B.; Knez Marevci, M.; Arnica Montana, L. Supercritical Extraction Optimization for Antibiotic and Anticancer Activity. Frontiers in Bioengineering and Biotechnology 2022, 10-2022. [Google Scholar] [CrossRef]
- Ejiohuo, O.; Folami, S.; Maigoro, A.Y. Calendula in Modern Medicine: Advancements in Wound Healing and Drug Delivery Applications. European Journal of Medicinal Chemistry Reports 2024, 12, 100199. [Google Scholar] [CrossRef]
- Melnyk, N.; Skowrońska, W.; Popowski, D.; Piwowarski, J.; Granica, S. From Tradition to Mechanism: Anti-Inflammatory and Microbiota-Modulating Effects of Calendula Officinalis and Matricaria Recutita Extracts on the Skin. Prospects in Pharmaceutical Sciences 2025. [Google Scholar] [CrossRef]
- Dridi, A.; Reis, F.S.; Pires, T.C.S.P.; Calhelha, R.C.; Pereira, C.; Zaghdoudi, K.; Ferreira, I.C.F.R.; Barros, L.; Barreira, J.C.M. Aesculus Hippocastanum L.: A Simple Ornamental Plant or a Source of Compelling Molecules for Industry? Separations 2023, 10, 160. [Google Scholar] [CrossRef]
- Roy, A.; Geetha, R. V; Lakshmi, T. Evaluation of the Antimycotic Activity of Aqueous and Ethanolic Extracts of Aesculus Hippocastanum – An In Vitro Study. International Journal of Drug Development and Research 2011, 3, 335–338. [Google Scholar]
- Dahiya, P.; Purkayastha, S. Phytochemical Screening and Antimicrobial Activity of Some Medicinal Plants Against Multi-Drug Resistant Bacteria from Clinical Isolates. Indian journal of pharmaceutical sciences 2012, 74, 443–450. [Google Scholar] [CrossRef]







| Samples | L* (D65) | a* (D65) | b* (D65) | C* | h* | ∆E* | |
|---|---|---|---|---|---|---|---|
| C | 97.00±0.55a | 0.06±0.03f | 0.97±0.05g | 0.97±0.05g | 1.51±0.03c | - | |
| AM I | 57.30±0.02e | -0.66±0.01g | 28.35±0.04d | 28.36±0.04c | 178.45±0.00a | 48.23±0.04 | |
| AM II | 45.26±0.06f | 2.71±0.01b | 28.83±0.06c | 16.77±0.02f | 1.55±0.00b | 34.99±0.01 | |
| CO I | 67.45±0.01b | 0.80±0.01d | 29.67±0.05b | 29.68±0.05b | 1.54±0.00b | 41.20±0.03 | |
| CO II | 65.03±0.45d | 3.50±0.02a | 34.79±0.19a | 34.97±0.19a | 1.47±0.00e | 46.67±0.30 | |
| AH I | 65.78±0.02c | 0.41±0.01e | 16.67±0.32f | 16.77±0.02e | 1.55±0.00b | 18.31±0.02 | |
| AH II | 67.56±0.03b | 1.58±0.01c | 19.45±0.07e | 19.52±0.07d | 1.49±0.00d | 15.66±0.07 | |
| C | AM I | AM II | CO I | CO II | AH I | AH II | ||||||||
|---|---|---|---|---|---|---|---|---|---|---|---|---|---|---|
![]() | ||||||||||||||
| Preparation | Gram-positive | Gram-negative | Yeasts |
|---|---|---|---|
| Arnica (I) | 15.50 (6.9) | 3.31 (4.6) | 0.50 (1.7) |
| Arnica (II) | 21.81 (10.9) | 8.46 (5.3) | 5.25 (9.8) |
| Calendula (I) | 1.53 (3.7) | 0.69 (2.5) | 0.50 (1.7) |
| Calendula (II) | 2.38 (5.2) | 0 (0) | 5.17 (9.3) |
| Chestnut (I) | 6.50 (7.2) | 0 (0) | 6.50 (8.9) |
| Chestnut (II) | 10.50 (8.3) | 0.77 (2.8) | 11.08 (10.7) |
| Control (Hyal) | 0 (0) | 0 (0) | 0 (0) |
| Stye eye lipogel | 17.41 (20.2) | 0 (0) | 4.17 (9.9) |
| Surface disinfectant | 36.00 (16.3) | 15.38 (7.2) | 24.00 (19.8) |
| Skin disinfectant | 44.13 (10.0) | 23.77 (3.8) | 46.75 (15.3) |
| Hydrogen peroxide | 53.75 (7.29) | 42.77 (12.9) | 43.25 (19.6) |
| Microbial group (n) | parameter | AI | AII | Control |
|---|---|---|---|---|
| Gram-positives (n=76) | mean | 11.96 | 15.30 | 0 |
| median | 12 | 14 | 0 | |
| SD | 7.22 | 10.35 | 0 | |
| Gram-negatives (n=19) | mean | 4.84 | 8.74 | 0 |
| median | 0 | 10 | 0 | |
| SD | 5.52 | 5.81 | 0 | |
| Candida yeasts (n=15) | mean | 2.07 | 5.93 | 0 |
| median | 0 | 0 | 0 | |
| SD | 4.54 | 9.27 | 0 |
Disclaimer/Publisher’s Note: The statements, opinions and data contained in all publications are solely those of the individual author(s) and contributor(s) and not of MDPI and/or the editor(s). MDPI and/or the editor(s) disclaim responsibility for any injury to people or property resulting from any ideas, methods, instructions or products referred to in the content. |
© 2026 by the authors. Licensee MDPI, Basel, Switzerland. This article is an open access article distributed under the terms and conditions of the Creative Commons Attribution (CC BY) license (http://creativecommons.org/licenses/by/4.0/).

