Preprint
Article

This version is not peer-reviewed.

Halo Phenomena in Light to Medium Mass Nuclei with Three-Body Models

Submitted:

23 January 2026

Posted:

26 January 2026

You are already at the latest version

Abstract
Short-lived nuclear systems with light to medium masses are showing halo phenomena in regions of the nuclear chart that where still unexplored when halo nuclei were discovered 40 years ago. We study these exotic systems with three-body models including nucleon-nucleon correlations with the aim of reproducing measurable properties like radii and electromagnetic transitions strengths.\\ \noindent On the nuclear-rich side, drip-line fluorine isotopes are showing clear signs of a halo structure \cite{Fort20,Casa20,JSin20}: recently we proposed that $^{29}$F is a moderate two-neutron halo nucleus with a large radius and a strong B(E1) response to the continuum. The three-body model place it at the borders of the island of inversion and this is corroborated by new data. According to our models, the next interesting isotope, $^{31}$F, also has large spatial extension due to p-wave components and enhanced B(E1) response, pointing to a speculative halo structure \cite{GSin22}.\\ \noindent On the proton-rich side, we have studied the $^{102}$Sb system, as composed of a $^{100}$Sn core plus a proton-neutron correlated subsystem \cite{Oish25}. We find that the weakening of the proton-neutron correlations with respect to the bare deuteron indicates that this is a one-proton emitter. We have proposed that the presence of resonant state and its decay might provide a crucial benchmark for this system.
Keywords: 
;  ;  ;  

1. Introduction

The year 2025 marks the 40th year anniversary of the discovery of halo nuclei to which this conference in Beijing is dedicated. The experimental verification by Isao Tanihata and colleagues at RIKEN (Japan) [6], that the radius of the heaviest lithium isotopes significantly deviates from the simple A 1 / 3 Fermi rule has challenged our views of basic nuclear physics. This initial accomplishment is an important cornerstone and must be celebrated because it has generated a sort of butterfly effect in nuclear physics, with far-reaching consequences that were unimaginable only 40 years ago. It has spurred new developments in quantum mechanics and the rise of new theoretical ideas, the first of which is the interpretations of halos as extended nucleon orbitals by Jonson and Geissel [7] (see Figure 1). One- and two-neutron halos have been found in many isotopes of the nuclear chart, especially far from stability line, where the imbalance of neutrons over protons makes it easier to populate low- near-threshold energy levels that are more prone to give rise to extended halos and a wealth of new phenomena. This, in turn, has demanded for new data and the experiments have pushed the limits of our reach far beyond the valley of stability venturing deep into the region of the nuclear chart where unstable systems little by little fade toward the drip-line.
The field is now too big to attempt a balanced and complete review, therefore I will concentrate on the contribution given by the Padova group, mainly initiated by the keen interest of the late Prof. Vitturi in this matter, and including the work of all the post-docs, collaborators and friends that have participated to this adventure.
While ab initio theories are theoretically superior to empirical few-body models, they still struggle to reproduce the physics of halo and cluster nuclei. Consequently, there remains a significant opportunity for our current approach to provide meaningful new results, particularly for medium-mass nuclei.
In the next sections, we will discuss very briefly some of the most successful works that we have published in recent years on the topic of halo phenomena, cluster nuclei, three-body models and pairing interactions. In particular, the results of the three-body model based on the hyper-spherical formalism for 29F and 31F will be described, highlighting the relations with the island of inversion. Then, another work dealing with proton-neutron correlations will be discussed for the interesting case of 102Sb, where an effective weakening of the p-n interaction is in place.

2. New Insights on the Structure of 29F at the Border of the Island of Inversion

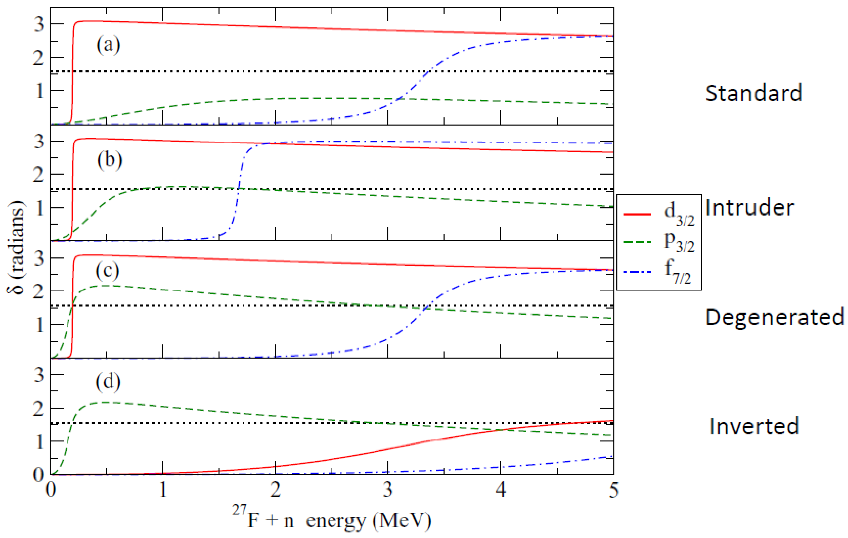
In 2020, the results of two new experiments have been published. Ref. [8] has provided various measurements of reaction cross sections for beams of 29F on carbon, essentially confirming the large matter radius and the two-neutron halo structure of this isotope. In Ref. [9], new spectroscopic information on the sub-system 28F was measured that proved crucial for our interpretation of these systems. The central point is the role played by the 2 p 3 / 2 orbital in determining the structure and the halo nature of 29F. About the same time, we had reported the results of a three-body approach on 29F = 27F + 2 n where we analyzed various hypotheses for the ordering of the single-particle levels, that we called standard, intruder, degenerate and inverted scenarios in Ref. [3]. It is not uncommon that, moving to the drip-lines, large energy gaps that are associated to shell gaps, close and rearrange to such an extent that some states of the N = 3 pf-shell might come lower than some states in the N = 2 sd-shell, giving a shell inversion, as shown in Figure 2. The region between 30Ne and 34Mg, where this phenomenon occurs, is thus called island of inversion. We believe that 29F must also be part of this island, extending its southern shore.
The details of the hyper-spherical approach that we used to model this system are summarized in Ref.[3] and more can be found in Ref. [10,11]. The core-neutron interaction is a Woods-Saxon plus spin-orbit adjusted to the available experimental information in 28F, while the neutron-neutron potential is chosen as the Gogny-Pires-Tourreil (GPT) potential. A small phenomenological Gaussian three-body potential is added to the hamiltonian. The resulting phase shifts for the 27F + n system are shown in Figure 3 for the various scenarios.
Subsequently, the 29F (27F+n + n) wave functions are built within the hyper-spherical harmonics expansion formalism (HHE) and the three-body hamiltonian is then diagonalized in a Transformed Harmonic Oscillator (THO) basis, that allows some control over the density of states in the continuum region. This is necessary because we want to calculate the ground and excited states, but we also want to calculate low-lying continuum states, in order to study the electric dipole excitations to the continuum.
Soon after the publication of the new experimental data [9], we refined our model coming up in Ref. [1] with the scenario that we believe is the correct one for 29F, i.e. an inverted scenario (D), but not too far from the degenerate one. We have also calculated the dipole strength distribution (with a total cumulative strength of about 2 e 2 f m 2 ), see Figure 4, and predicted the Relativistic Coulomb Excitation cross-section, suggesting how this could lead to a further confirmation of these results. These two quantities are proportional at low energy and in certain regimes.
In a subsequent in-depth analysis, [2], we have studied the convergence of the HHE method with the hyper-angular momentum for the dipole distribution. We employed continuum states in a pseudostate approach using THO basis and we calculated form factors that are used in continuum-discretized coupled-channels (CDCC) calculations to describe low-energy scattering. Our predictions show the typical low-lying enhancement of the E1 response expected for halo nuclei and the relevance of dipole couplings for low-energy reactions on heavy targets.

3. Extensions to 31F: radii, B(E1) and Halo Structure

The next interesting system in this chain of fluorine isotopes is 31F: this nucleus is studied here as a core of 29F plus two neutrons. Admittedly, this is not ideal, because 29F is already seen as a 27F core plus two neutrons, so that a more appropriate set-up would consider a five-body model with 4 valence neutrons. As this was beyond our reach, we tried with the three-body model, relying on the fact that the core has been found to posses only a moderate halo.
If, as in Figure 2, the 1 d 3 / 2 and p f 3 / 2 orbitals are switched, 29F has (ideally) 4 neutrons in the p state and the next isotope, 31F might have a very similar structure with the crucial p shell filled and some neutrons in the next shell. Therefor, a delicate balance is in place between the more tightening effect of two extra neutrons in a high angular momentum state (not leading to halo) and an even lower binding energy (that leads to halo formation). It might turn out that 31F is less of a pronounced halo that its predecessor!
Again, we have built several different scenarios, stretching the models’ parameters to the limits in all possible ways, and we have examined the consequences. The radii obtained in all the scenarios indicate, without much spread, that 31F has an extended halo structure, as can be seen in Figure 5 and far from the A 1 / 3 behaviour.
Without repeating the analysis in Ref. [4], our results indicate that the crucial factor is the dominance of pf-shell configurations, with various degrees of p-wave components. In all cases they point to increased radius and larger B(E1), the hallmarks of a halo formation. We predicted a total integrated B(E1) strengths of in excess of 2.6 e 2 f m 2 , compatible with the formation of a halo.
This nucleus still defies a proper experimental verification due to the extreme neutron-to-proton ratio and thus low experimental beam intensity.

4. p-n Correlations in the External Orbitals of 102Sb

We move now, from neutron-neutron correlations in neutron-rich nuclei to proton-neutron correlations in proton-rich nuclei.
The 100Sn, located at the crossing of the N = 50 and Z = 50 magic number lines, is a bound system. The 101Sn system, i.e. a 100Sn +n, is also bound, while the mirror 101Sb = 100Sn +p is not bound. Therefore, we are looking at a critical proton-drip line region, where the addition of a single proton is sufficient to change the game. The 1+ ground state of 102Sb = 100Sn +p+n is an interesting nucleus, because it is interpreted as an effective deuteron built out of the orbitals surrounding the 100Sn core. In Ref. [5] it is suggested that it might be a proton emitter due to a weakening effect of the proton-neutron (p-n) interaction with respect to a bare deuteron. A time-dependent three-body calculation (similar to the approach adopted by Oishi in Ref.[12]) is performed, based on the quantum evolution operator in which the hamiltonian (with center of mass correction) is modeled as in Figure 6.
The effective proton-neutron interaction is corrected by a factor f p n v p n ( r p , r n ) , such that f p n = 1 gives back the bare deuteron interaction.
The 1+ ground state of 102Sb is suggested as a possible proton emitter unbound resonance. This conclusion is reached by assuming a weakening effect on the proton-neutron (pn) interaction with respect to a bare deuteron. An analogous, but less dramatic, reduction is necessary to reproduce the empirical binding energies of similar systems with lower mass: 42Sc(1+) and 18Fgs. The results are reported in Figure 7.
We expect that realistic calculation give a coefficient f that is way smaller than 1 and in this case f = 0.92 is the threshold for binding. Thus, it is very likely that 102Sb is an unbound nucleus, prone to proton emission.
If one tries a simple power-law fit of the f p n coefficient from Figure 7 with masses, including bare deuteron, fluorine and scandium, one gets for tin a value of about f p n 0.33 , that is much lower than the threshold. Another observation is that the coefficients lowers with increasing , because forming a deuteron becomes progressively harder for orbitals with higher angular momentum. Therefore, going from f to g, one expects a lowering.
This system might prove very important in order to further constraint the p-n interaction, therefore experiments should be planned to search for a low-lying 1+ resonance in the spectrum of 102Sb.

5. Conclusions

The long quest for the halo nuclei, initiated 40 years ago is not anywhere concluded. Experimental physicists are conceiving new accelerators to push the limits of the asymmetry and the intensity frontiers and new detectors to enhance our discovering potential and enlarge the number of measured observables. Theorists are inventing new models, comparing with experimental data, adjusting the theories and repeating the process, spiraling towards a comprehensive description of nuclear physics far from stability. Forty years later, the excitement for this endeavor remains as strong as ever.

Funding

This research was funded by the University of Padova and by the INFN (MONSTRE initiative).

Acknowledgments

I acknowledge my direct collaborators J. Casal, W. Horiuchi, E. Lanza, T. Oishi, Gagandeep Singh, Jagjit Singh, and the late A. Vitturi.

Conflicts of Interest

The author declares no conflicts of interest.

References

  1. Fortunato, L. The 29F nucleus as a lighthouse on the coast of the island of inversion. Commun. Phys. 2020, 3, 132. [Google Scholar] [CrossRef]
  2. Casal, J. Electric dipole response of low-lying excitations in the two-neutron halo nucleus 29F. Phys.Rev.C 2020, 102, 064627. [Google Scholar] [CrossRef]
  3. Singh, J. Exploring two-neutron halo formation in the ground state of 29F within a three-body model. Phys.Rev.C 2020, 101, 024310. [Google Scholar] [CrossRef]
  4. Singh, G. Exploring the halo character and dipole response in the dripline nucleus 31F. Phys.Rev.C 2022, 105, 014328. [Google Scholar] [CrossRef]
  5. Oishi, T. One-proton emission from 102Sb and its sensitivity to the proton-neutron interaction. Phys.Rev.C 2025, 111, 034307. [Google Scholar] [CrossRef]
  6. Tanihata, I. Measurements of Interaction Cross Sections and Nuclear Radii in the Light p-Shell. Phys.Rev.Lett. 1985, 55, 2676. [Google Scholar] [CrossRef] [PubMed]
  7. Jonson, B.; Geissel, H. The neutron halo of extremely neutron-rich nuclei. Europhysics Letters 1987, 4, 409. [Google Scholar] [CrossRef]
  8. Bagchi, S. Two-neutron halo is unveiled in 29F. Phys.Rev.Lett. 2020, 124, 222504. [Google Scholar] [CrossRef] [PubMed]
  9. Revel, A.; et al. Extending the southern shore of the island of inversion to 28F. Phys.Rev.Lett. 2020, 124, 152502. [Google Scholar] [CrossRef] [PubMed]
  10. Nielsen, E.; Fedorov, D.; Jensen, A.; Garrido, E. The three-body problem with short-range interactions. Phys. Rep. 2001, 347, 373. [Google Scholar] [CrossRef]
  11. Casal, J. Weakly-bound three-body nuclear systems: Structure, reactions and astrophysical implications. Ph.D. thesis, Universidad de Sevilla, Spain, 2016. [Google Scholar]
  12. Oishi, T. Two-fermion emission from spin-singlet and triplet resonances in one dimension. J. Phys. G: Nucl. Part. Phys. 2018, 45, 105101. [Google Scholar] [CrossRef]
Figure 1. Basic idea of a halo (text in Italian) as an extended and diluted region around a thicker core.
Figure 1. Basic idea of a halo (text in Italian) as an extended and diluted region around a thicker core.
Preprints 195726 g001
Figure 2. Standard (left) and inverted (right) single-particle energy level ordering. States in the N=2 and N=3 shells (with different parity, blue and red respectively) are labeled by the usual set of quantum numbers in the shell model. Inversion occur when the energy gap between these shells disappears and one or more of the energy levels of the N=3 shell comes lower than some of the N=2 shell.
Figure 2. Standard (left) and inverted (right) single-particle energy level ordering. States in the N=2 and N=3 shells (with different parity, blue and red respectively) are labeled by the usual set of quantum numbers in the shell model. Inversion occur when the energy gap between these shells disappears and one or more of the energy levels of the N=3 shell comes lower than some of the N=2 shell.
Preprints 195726 g002
Figure 3. Phase shifts for the 27F + n system, d 3 / 2 , p 3 / 2 and f 7 / 2 states for the four scenarios mentioned in the text. The dotted black line indicates π / 2 .
Figure 3. Phase shifts for the 27F + n system, d 3 / 2 , p 3 / 2 and f 7 / 2 states for the four scenarios mentioned in the text. The dotted black line indicates π / 2 .
Preprints 195726 g003
Figure 4. Electric dipole strength (ground state to continuum) as a function of the 27F+ n + n energy. The dashed line indicates the cumulative integral. The dash-dotted line is the corresponding Relativistic Coulomb Excitation cross section, scaled to the same maximum to illustrate the decreasing proportionality with the energy (see Ref.[1]).
Figure 4. Electric dipole strength (ground state to continuum) as a function of the 27F+ n + n energy. The dashed line indicates the cumulative integral. The dash-dotted line is the corresponding Relativistic Coulomb Excitation cross section, scaled to the same maximum to illustrate the decreasing proportionality with the energy (see Ref.[1]).
Preprints 195726 g004
Figure 5. Matter radius of fluorine isotopes as a function of A. Experimental values are shown in black, while those for 27,29F were extracted from Ref. [8]. The solid red line corresponds to the R 0 A 1 / 3 fit for A = 20 29 , while the shaded area gives the region of 99.99% confidence level in the fit. The colored symbols (squares, diamonds,triangles) represent the different schemes under consideration (see legend and Ref. [4]) and they all point to an extended halo.
Figure 5. Matter radius of fluorine isotopes as a function of A. Experimental values are shown in black, while those for 27,29F were extracted from Ref. [8]. The solid red line corresponds to the R 0 A 1 / 3 fit for A = 20 29 , while the shaded area gives the region of 99.99% confidence level in the fit. The colored symbols (squares, diamonds,triangles) represent the different schemes under consideration (see legend and Ref. [4]) and they all point to an extended halo.
Preprints 195726 g005
Figure 6. Three-body model coordinates for 102Sb (V-type coordinate system).
Figure 6. Three-body model coordinates for 102Sb (V-type coordinate system).
Preprints 195726 g006
Figure 7. Proton-neutron separation energies for antimony, scandium and fluorine isotopes that are analogous of an effective deuteron out of closed shells (tin, calcium and oxygen cores, respectively).
Figure 7. Proton-neutron separation energies for antimony, scandium and fluorine isotopes that are analogous of an effective deuteron out of closed shells (tin, calcium and oxygen cores, respectively).
Preprints 195726 g007
Disclaimer/Publisher’s Note: The statements, opinions and data contained in all publications are solely those of the individual author(s) and contributor(s) and not of MDPI and/or the editor(s). MDPI and/or the editor(s) disclaim responsibility for any injury to people or property resulting from any ideas, methods, instructions or products referred to in the content.
Copyright: This open access article is published under a Creative Commons CC BY 4.0 license, which permit the free download, distribution, and reuse, provided that the author and preprint are cited in any reuse.
Prerpints.org logo

Preprints.org is a free preprint server supported by MDPI in Basel, Switzerland.

Subscribe

Disclaimer

Terms of Use

Privacy Policy

Privacy Settings

© 2026 MDPI (Basel, Switzerland) unless otherwise stated