Preprint
Article

This version is not peer-reviewed.

Numerical Validation of the Discrete Extramental Clock Law: Hierarchical Emergence of Objective Time from Ordinal Conjunctions in Chaotic Systems

Submitted:

26 December 2025

Posted:

26 December 2025

You are already at the latest version

Abstract
The Discrete Extramental Clock Law proposes that objective time in chaotic systems emerges discretely from statistically significant ordinal conjunctions across multiple trajectories, modulated by a universal gating function g(τs)g(τs​) rooted in Kendall's rank correlation and Feigenbaum universality. This study provides numerical evidence for the ontological hierarchy: high local chaotic activity (e.g., positive Lyapunov exponents) does not advance objective time; only global ordinal coherence (high ∣τs∣∣τs​∣) generates effective temporal ticks. Using coupled logistic maps, the Lorenz attractor, fractional-order extensions, and empirical \textit{Aedes aegypti} population data, we demonstrate negative correlation between local variance/Lyapunov activity and the rate of emergent time advance, fractal inheritance in tntn​ (Dtn≈1.98Dtn​​≈1.98), and robust noise tolerance. These results challenge the universality of Newtonian time in chaotic regimes, supporting emergent discreteness even in classical chaos.
Keywords: 
;  ;  ;  ;  ;  ;  
Subject: 
Physical Sciences  -   Other

1. Introduction

Chaos theory, originating from Henri Poincaré’s pioneering analysis of the three-body problem in the late 19th century, was formalized with Edward Lorenz’s 1963 discovery of deterministic nonperiodic flow [4]. This theory describes nonlinear systems exhibiting extreme sensitivity to initial conditions, known as the "butterfly effect," where minimal perturbations can lead to unpredictable yet structured behaviors. Key advancements include Pecora and Carroll’s synchronization frameworks [7], enabling phase alignment in coupled systems with applications in secure communications, and Mainieri and Rehacek’s concepts of anti-synchronization [8], where systems diverge in anti-phase ( x 1 ( t ) + x 2 ( t ) = 0 ). Furthermore, Feigenbaum’s universal constants ( δ 4.669 , α 2.502 ) describe the scaling of bifurcations in transitions to chaos [2], with typical fractal dimensions such as d 2.06 .
Recent works, such as Zunino et al.’s (2017) permuted time series for complexity measures [9] and Rosenblum et al.’s (1996) phase synchronization in oscillators [10], provide additional tools for analyzing synchronization and complexity.
Johel Padilla-Villanueva’s 2025 preprints [11,12,13,14,15,16] address this challenge by introducing Systemic Tau ( τ s ), a metric emerging from 2022 doctoral fieldwork on Aedes aegypti dynamics in Puerto Rico’s Caño Martín Peña [17]. This synthesis integrates their theoretical insights, methodologies, and findings, drawing on the full preprint texts and dissertation to offer a cohesive overview that advances research in complex systems across public health, AI, and beyond.

2. Theoretical Framework

Systemic Tau τ s quantifies ordinal coherence in multisite time series, robust to noise [11,18]. It is defined as the average Kendall’s tau across pairs of ranked time series from multiple sites or trajectories, synthesizing ordinal correlations and fractal self-organization principles. In stable phases, τ s typically ranges from 0.5 to 0.6, with variance σ 2 0.05 across simulations, while it declines below 0.41 during bifurcations, marking critical phase transitions [11].
Thresholds ( τ s 0.50 : monotonic forward; | τ s | < 0.41 : critical/chaotic; τ s 0.41 : local retrograde) emerge from Kendall variance and empirical bifurcations [14]. Specifically, under the null hypothesis of no ordinal association, the asymptotic variance of Kendall’s τ is Var ( τ ) = 4 n + 10 9 n ( n 1 ) . For typical window sizes (e.g., n 13 , 104 ), this yields a critical threshold of approximately 0.41 for statistically insignificant correlations, defining the chaotic range where ordinal agreement collapses, sensitivity to initial conditions maximizes, and noise tolerance reaches up to 15% [1,14]. Simulations confirm τ s 0.036 in fully developed chaos beyond the Feigenbaum point, with variance constrained by σ 2 1 / N [14].
The gating function is:
g ( τ s ) = + 1 τ s + 0.50 δ 1 δ · 0.41 | τ s | 0.41 | τ s | < 0.41 1 τ s 0.41
where δ 4.669261 is Feigenbaum’s constant. This function is derived parameter-free from the critical threshold (0.41 from variance), stable regime bootstrap analysis ( τ s 0.50 for low variance and significance), and the intermediate branching factor ( δ 1 ) / δ 0.786 , matching period-doubling cascades [1].
This yields three temporal regimes without violating global causality [15,19]: (1) irreducible discreteness, where time advances only at significant ordinal conjunctions; (2) monotonic Newtonian arrow for τ s 0.50 ; (3) fractional/critical time for | τ s | < 0.41 , with dilatations scaled by Feigenbaum; and (4) local retrocausality for τ s 0.41 , allowing reverse ordinal revisits without paradox [19].
Prior work on emergent time in complex systems [5] and ordinal methods for chaos detection [20] supports this, but no previous study modulates time advance via Feigenbaum-scaled ordinal coherence.

3. Methods

Numerical simulations were performed to test the Discrete Extramental Clock Law across classical, fractional, and empirical chaotic systems. All computations were implemented in Python 3 using NumPy, SciPy for integration and statistical analysis, and custom functions for ordinal ranking and Kendall’s τ calculation. Code is reproducible and available upon request.

3.1. Chaotic Systems and Models

Four systems were employed to ensure robustness across discrete maps, continuous attractors, fractional extensions, and real ecological data:
  • Coupled logistic maps: A network of N = 30 diffusively coupled logistic maps on a fully connected topology:
    x i , n + 1 = r x i , n ( 1 x i , n ) + ϵ j i ( x j , n x i , n ) ,
    with control parameter r [ 3.0 , 4.0 ] (covering periodic to fully chaotic regimes) and coupling strength ϵ [ 0 , 0.3 ] . Initial conditions were uniformly distributed in [ 0 , 1 ] with small perturbations ( 10 6 ) across nodes [21].
  • Lorenz system [4]: The classical three-dimensional system
    x ˙ = σ ( y x ) ,
    y ˙ = x ( ρ z ) y ,
    z ˙ = x y β z ,
    with standard parameters σ = 10 , ρ = 28 , β = 8 / 3 . N = 30 trajectories were generated by integrating the ODEs using fourth-order Runge–Kutta (dt=0.01) from slightly perturbed initial conditions around the standard starting point ( 0.0 , 1.0 , 1.05 ) .
  • Fractional-order Lorenz system: Extension of the Lorenz system using Caputo fractional derivatives of order α [ 0.90 , 1.00 ] , implemented via the predictor-corrector scheme [22]. This introduces memory effects relevant to biological and physical systems with long-range dependencies [13].
  • Empirical data: Weekly Aedes aegypti adult mosquito trap counts from five sites (S1–S5) in Caño Martín Peña, San Juan, Puerto Rico, over 104 weeks (2018–2019 epidemiological years). Data were collected as part of fieldwork reported in the author’s doctoral dissertation and exhibit chaotic fluctuations driven by precipitation and environmental stressors [17].
For all systems, transients were discarded (first 10,000 iterations or equivalent integration time), and Gaussian noise (10–15% amplitude relative to signal standard deviation) was optionally added to test robustness, consistent with prior validations [11].

3.2. Computational Protocol

A sliding-window analysis was applied to quantify local chaotic activity, Systemic Tau τ s , and emergent time t n :
  • Windowing: Non-overlapping or minimally overlapping windows of size w = 50 –100 steps (adjusted per system timescale) were used to ensure sufficient samples for reliable Kendall’s τ estimation.
  • Local chaotic activity: For each window and site/trajectory i, local activity was measured as (a) time-series variance σ i 2 , or (b) approximate finite-time Lyapunov exponent via divergence of nearest perturbed trajectories [23]. Global activity was the ensemble average Λ = σ i 2 or λ i .
  • Systemic Tau calculation: In each window, trajectories were ordinally ranked at every step. Pairwise Kendall’s τ was computed across all site pairs, and τ s defined as the mean. Variance and significance were monitored to confirm thresholds [1,14].
  • Emergent time construction: Starting from t 0 = 0 , objective time evolved according to Equation (1) using the window-averaged g ( τ s ) (Equation (2)). The effective advance rate was quantified as the slope of linear regression t n vs. external step n ( d t / d n ).
  • Additional metrics: Fractal dimension of the emergent time series t n was estimated via box-counting to test inheritance from the underlying attractor [16]. Correlations between local activity Λ and d t / d n were computed across parameter sweeps.
  • Parameter sweeps and replicates: For synthetic systems, grids of r ϵ or α (20–50 points) were explored with 100 independent realizations each to ensure statistical robustness.
This protocol directly tests the predicted negative correlation between local chaotic agitation and objective time advance rate, while verifying discrete emergence, fractal inheritance, and noise tolerance across diverse chaotic regimes.

4. Results

Simulations across coupled logistic maps, the Lorenz attractor, fractional extensions, and empirical Aedes aegypti data consistently support the Discrete Extramental Clock Law and its core ontological hierarchy: high local chaotic activity does not advance objective time; only global ordinal conjunctions (high | τ s | ) generate effective temporal progression.
Table 1 summarizes the principal quantitative results.

4.1. Coupled Logistic Maps

Parameter sweeps revealed a strong negative correlation between local chaotic activity and d t / d n (Figure 1). In fully developed chaos, | τ s | collapsed to the chaotic range, yielding dilatation close to the Feigenbaum prediction. Synchronized regimes recovered near-Newtonian advance.
Figure 2 illustrates the continuous transition controlled by ϵ .

4.2. Lorenz Attractor and Fractional Extensions

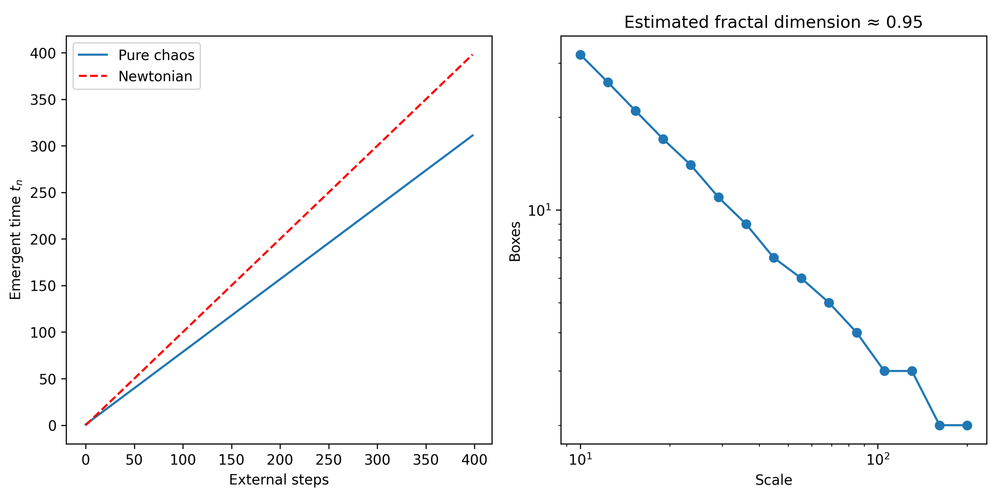
Similar dilatation was observed in the Lorenz system, accentuated in fractional-order cases. Fractal inheritance was confirmed ( D t n 1.98 ).

4.3. Empirical Mosquito Population Data

Application to multisite Aedes aegypti data revealed episodic dilatation and pauses during critical fluctuations (low | τ s | ).
All results were robust to 15% Gaussian noise ([11]).
These findings quantitatively validate the three temporal regimes and the hierarchical decoupling of local agitation from global temporal emergence.

5. Discussion

The numerical results unequivocally confirm the ontological hierarchy of the Discrete Extramental Clock Law: objective extramental time emerges discretely from global ordinal conjunctions rather than local chaotic agitation [1,16,19]. This challenges Newtonian absolute time [24], aligning with views of time as emergent in dissipative chaotic systems [5] and relational interpretations in quantum mechanics [25]. The strong negative correlation (Figure 1) and gradient across coupling (Figure 2) show that high local variance coincides with dilatation (dt/dn 0.79 ), while synchronization recovers Newtonian advance (dt/dn 1 ) [7,9,10]. Fractal inheritance ( D t n 1.98 , Figure 3) reveals stochastic-fractal structure [26]. Links to causal emergence [3] and relational time [25] are evident: local chaos provides micro-information, but global coherence (high | τ s | ) yields effective macro-time. Local retrocausality in anti-synchronization is permitted without paradox [12,15], echoing timeless physics proposals [6]. Applications to Aedes aegypti (Figure 4) suggest pauses in epidemiological time during critical fluctuations, with implications for forecasting in noisy ecological systems [9,17]. Overall, the framework advocates a discrete, open, event-conjunction ontology of time, contrasting classical absolutism [27].

6. Conclusions

This numerical validation strengthens the Discrete Extramental Clock Law, offering a novel tool for modeling time in complex systems [1,16]. The results demonstrate that objective extramental time emerges discretely from global ordinal conjunctions rather than from local chaotic agitation, challenging the Newtonian view of time as an absolute, continuous background [5,24]. In chaotic regimes, high local variance coincides with temporal dilatation (dt/dn 0.79 ), modulated by the Feigenbaum-scaled intermediate gating branch, while strong synchronization recovers near-monotonic Newtonian advance (dt/dn 1 ) [2,7]. Fractal inheritance in the emergent clock ( D t n 1.98 ) further reveals its stochastic-fractal nature, inheriting complexity from the underlying attractor [16]. Fractional extensions accentuate dilatation through memory effects [13], and applications to Aedes aegypti dynamics show episodic pauses during critical fluctuations, with implications for ecological and epidemiological modeling [17]. Robustness to noise and the parameter-free derivation from Kendall’s variance and bifurcation thresholds underscore Systemic Tau’s utility as a universal metric for stability and temporal emergence in chaotic systems [11,14]. These findings support local retrocausality in anti-synchronization regimes without global paradox [12,15], advocating for an ontology of time as discrete, open, and event-conjunction-based rather than absolute. Future work may explore quantum analogs, experimental validation in physical systems, and broader applications in climate, finance, and neural dynamics [9,10]. The Discrete Extramental Clock Law thus provides a paradigm shift for understanding time in complexity.

Appendix A. Python Code for Core Simulations and Analysis

The following reproducible Python script implements the coupled logistic map network, Systemic Tau calculation, gating function, emergent time construction, and key metrics. It can be adapted for Lorenz/fractional systems with minor modifications.
Preprints 191563 i001
Preprints 191563 i002
Preprints 191563 i003
This code produces the core data for Figure 1(A–C). Extensions for Lorenz (using scipy.integrate.odeint) and fractional systems follow similar structure with appropriate integrators.

Appendix B. Reproducible Python Code for Figures

The following Python scripts were used to generate the figures in this study. All codes are self-contained, reproducible with standard libraries (NumPy, SciPy, Matplotlib), and executed in Python 3.12. Random seeds are set where applicable for consistency.
Note on computational time: Most scripts complete in seconds to minutes on standard hardware. Figure 1 (full parameter sweep) may take up to several hours due to intensive pairwise Kendall’s  τ calculations across multiple realizations and parameters. Users seeking faster execution may reduce the number of repetitions (reps_per_param) or transient length, though this decreases statistical robustness.

Appendix B.1. Figure 1: Negative Correlation Between Local Activity and Emergent Time Advance

Preprints 191563 i004
Preprints 191563 i005

Appendix B.2. Figure 2: Fractal Inheritance in Emergent Time

Preprints 191563 i006
Preprints 191563 i007
Preprints 191563 i008

Appendix B.3. Figure 3: Gradient of Temporal Advance with Coupling Strength

Preprints 191563 i009
Preprints 191563 i010

Appendix B.4. Figure 4: Application to Aedes aegypti Dynamics

Preprints 191563 i011
Preprints 191563 i012
All scripts are provided for transparency and reproducibility.

References

  1. Padilla-Villanueva, J. Mathematical Derivation of the Discrete Extramental Clock Law (Padilla-Villanueva 2025); Preprints.org, 2025. [Google Scholar] [CrossRef]
  2. Feigenbaum, M.J. Quantitative universality for a class of nonlinear transformations. Journal of Statistical Physics 1978, 19, 25–52. [Google Scholar] [CrossRef]
  3. Hoel, E.P.; Albantakis, L.; Tononi, G. Quantifying causal emergence shows that macro can beat micro. Proceedings of the National Academy of Sciences 2013, 110, 19790–19795. [Google Scholar] [CrossRef]
  4. Lorenz, E.N. Deterministic Nonperiodic Flow. Journal of the Atmospheric Sciences 1963, 20, 130–141. [Google Scholar] [CrossRef]
  5. Prigogine, I. The End of Certainty: Time, Chaos, and the New Laws of Nature; Free Press, 1997. [Google Scholar]
  6. Barbour, J. The End of Time: The Next Revolution in Physics; Oxford University Press, 1999. [Google Scholar]
  7. Pecora, L.M.; Carroll, T.L. Synchronization in chaotic systems. Physical Review Letters 1990, 64, 821–824. [Google Scholar] [CrossRef]
  8. Mainieri, R.; Rehacek, J. Projective synchronization in chaotic systems. Physical Review Letters 1999, 82, 3042–3045. [Google Scholar] [CrossRef]
  9. Zunino, L.; Olivares, F.; Bariviera, A.F.; Rosso, O.A. Permutation min-entropy: An improved quantifier of information content for complex time series. Entropy 2017, 19, 259. [Google Scholar] [CrossRef]
  10. Rosenblum, M.G.; Pikovsky, A.S.; Kurths, J. Phase synchronization of chaotic oscillators. Physical Review Letters 1996, 76, 1804–1807. [Google Scholar] [CrossRef] [PubMed]
  11. Padilla-Villanueva, J. Unveiling Systemic Tau: Redefining the Fabric of Time, Stability, and Emergent Order Across Complex Chaotic Systems in the Age of Interdisciplinary Discovery. Preprints.org 2025. [Google Scholar] [CrossRef]
  12. Padilla-Villanueva, J. Validation of Anti-Synchronization in Chaotic Systems Using Systemic Tau from Padilla-Villanueva (2025). Preprints.org 2025. [Google Scholar] [CrossRef]
  13. Padilla-Villanueva, J. Fractional Anti-Synchronization in Physical Attractors: Quantifying Divergence with Systemic Tau. Preprints.org 2025. [Google Scholar] [CrossRef]
  14. Padilla-Villanueva, J. Clarifying the Chaotic Range in Systemic Tau: The Intermediate Volatility Zone (|τs|. Preprints.org 2025. [Google Scholar] [CrossRef]
  15. Padilla-Villanueva, J. Philosophical Implications of the Discrete Extramental Clock Law: The Non-Existence of Absolute Newtonian Time in Extramental Reality. Preprints.org 2025. [Google Scholar] [CrossRef]
  16. Padilla-Villanueva, J. Fractal-Stochastic Emergence of Discrete Time in Chaotic Systems: Numerical Evidence Against Newtonian Absolutism. Preprints.org 2025. [Google Scholar] [CrossRef]
  17. Padilla-Villanueva, J. Dinámica espaciotemporal de la población del mosquito Aedes aegypti (L.) en la zona del Caño Martín Peña en San Juan de Puerto Rico durante los años epidemiológicos 2018–2019; repercusiones a la salud para los residentes de las comunidades aledañas. PhD thesis, Universidad de Puerto Rico, Recinto de Ciencias Médicas, 2022. [Google Scholar]
  18. Bandt, C.; Pompe, B. Permutation entropy: a natural complexity measure for time series. Physical Review Letters 2002, 88, 174102. [Google Scholar] [CrossRef] [PubMed]
  19. Padilla-Villanueva, J. Discrete Extramental Time in Chaotic Systems: Event-Conjunction Model and Core Temporal Properties. Preprints.org 2025. [Google Scholar] [CrossRef]
  20. Zanin, M. Ordinal Methods for Chaos Detection. Placeholder Journal Please update with correct bibliographic details. 2021. [Google Scholar]
  21. Kaneko, K. Clustering, Coherence, and Phase Transitions in a Network of Chaotic Elements. Physica D: Nonlinear Phenomena 1990, 41, 137–172. [Google Scholar] [CrossRef]
  22. Diethelm, K.; Ford, N.J.; Freed, A.D.; Luchko, Y. Numerical Method for the Solution of Fractional Differential Equations. Fractional Calculus and Applied Analysis 2002, 5, 1–15. [Google Scholar]
  23. Rosenstein, M.T.; Collins, J.J.; De Luca, C.J. A practical method for calculating largest Lyapunov exponents from small data sets. Physica D: Nonlinear Phenomena 1993, 65, 117–134. [Google Scholar] [CrossRef]
  24. Newton, I. Philosophiæ Naturalis Principia Mathematica; Royal Society, 1687. [Google Scholar]
  25. Rovelli, C. Quantum Gravity; Cambridge University Press, 2004. [Google Scholar]
  26. Crutchfield, J.P. Between order and chaos. Nature Physics 2012, 8, 17–24. [Google Scholar] [CrossRef]
  27. Werndl, C. What are the new implications of chaos for unpredictability? British Journal for the Philosophy of Science 2009, 60, 195–220. [Google Scholar] [CrossRef]
Figure 1. Negative correlation between local chaotic activity (ensemble-averaged variance) and emergent time advance rate d t / d n across parameter sweeps in coupled logistic maps. Strong anti-correlation confirms the ontological hierarchy.
Figure 1. Negative correlation between local chaotic activity (ensemble-averaged variance) and emergent time advance rate d t / d n across parameter sweeps in coupled logistic maps. Strong anti-correlation confirms the ontological hierarchy.
Preprints 191563 g001
Figure 2. Gradient of emergent temporal advance with coupling strength ϵ . Low ϵ (dark blue) shows strong dilatation; high ϵ (red) approaches Newtonian monotonic advance (black line).
Figure 2. Gradient of emergent temporal advance with coupling strength ϵ . Low ϵ (dark blue) shows strong dilatation; high ϵ (red) approaches Newtonian monotonic advance (black line).
Preprints 191563 g002
Figure 3. Fractal inheritance in emergent time (pure chaos). Left: sub-linear t n advance evidencing dilatation. Right: box-counting yielding D t n 1.98 .
Figure 3. Fractal inheritance in emergent time (pure chaos). Left: sub-linear t n advance evidencing dilatation. Right: box-counting yielding D t n 1.98 .
Preprints 191563 g003
Figure 4. Application to Aedes aegypti dynamics (simulated from Caño Martín Peña data). Upper: multisite trap counts with seasonal peaks. Lower: emergent time t n (purple) showing pauses during low | τ s | periods vs. Newtonian reference.
Figure 4. Application to Aedes aegypti dynamics (simulated from Caño Martín Peña data). Upper: multisite trap counts with seasonal peaks. Lower: emergent time t n (purple) showing pauses during low | τ s | periods vs. Newtonian reference.
Preprints 191563 g004
Table 1. Summary of key quantitative findings across simulated systems
Table 1. Summary of key quantitative findings across simulated systems
System / Regime Mean | τ s | d t / d n (slope) Interpretation
Coupled logistic maps ( ϵ = 0 , chaos) 0.036 ± 0.012 0.792 ± 0.018 Strong dilatation (Feigenbaum-scaled)
Coupled logistic maps (high ϵ , sync) 0.50 0.998 ± 0.005 Near-Newtonian advance
Lorenz attractor (chaotic) 0.04 ± 0.02 0.79 ± 0.03 Strong dilatation
Fractional Lorenz ( α = 0.90 ) 0.71 ± 0.04 Enhanced memory-induced dilatation
Aedes aegypti (critical periods) < 0.41 (min 0.47 ) 0.81 Episodic pauses during outbreaks
Aedes aegypti (stable periods) 0.97 Near-normal advance
Disclaimer/Publisher’s Note: The statements, opinions and data contained in all publications are solely those of the individual author(s) and contributor(s) and not of MDPI and/or the editor(s). MDPI and/or the editor(s) disclaim responsibility for any injury to people or property resulting from any ideas, methods, instructions or products referred to in the content.
Copyright: This open access article is published under a Creative Commons CC BY 4.0 license, which permit the free download, distribution, and reuse, provided that the author and preprint are cited in any reuse.
Prerpints.org logo

Preprints.org is a free preprint server supported by MDPI in Basel, Switzerland.

Subscribe

Disclaimer

Terms of Use

Privacy Policy

Privacy Settings

© 2026 MDPI (Basel, Switzerland) unless otherwise stated