Submitted:
25 May 2025
Posted:
27 May 2025
You are already at the latest version
Abstract

Keywords:
1. Introduction
2. Theoretical Aspects and Fundamental Definitions
2.1. The Dirichlet Eta Function and Its Associated Vector Field
2.2. The Expression for the Poincaré Index
2.3. Detailed Description of Parameters and Formulas Leading to the New Dynamical System
2.4. Coordinates Change
3. Equations of the New System
4. Simulations
4.1. Example 1: - 10000 Iterations


4.2. Example 2: - 90000 Iterations


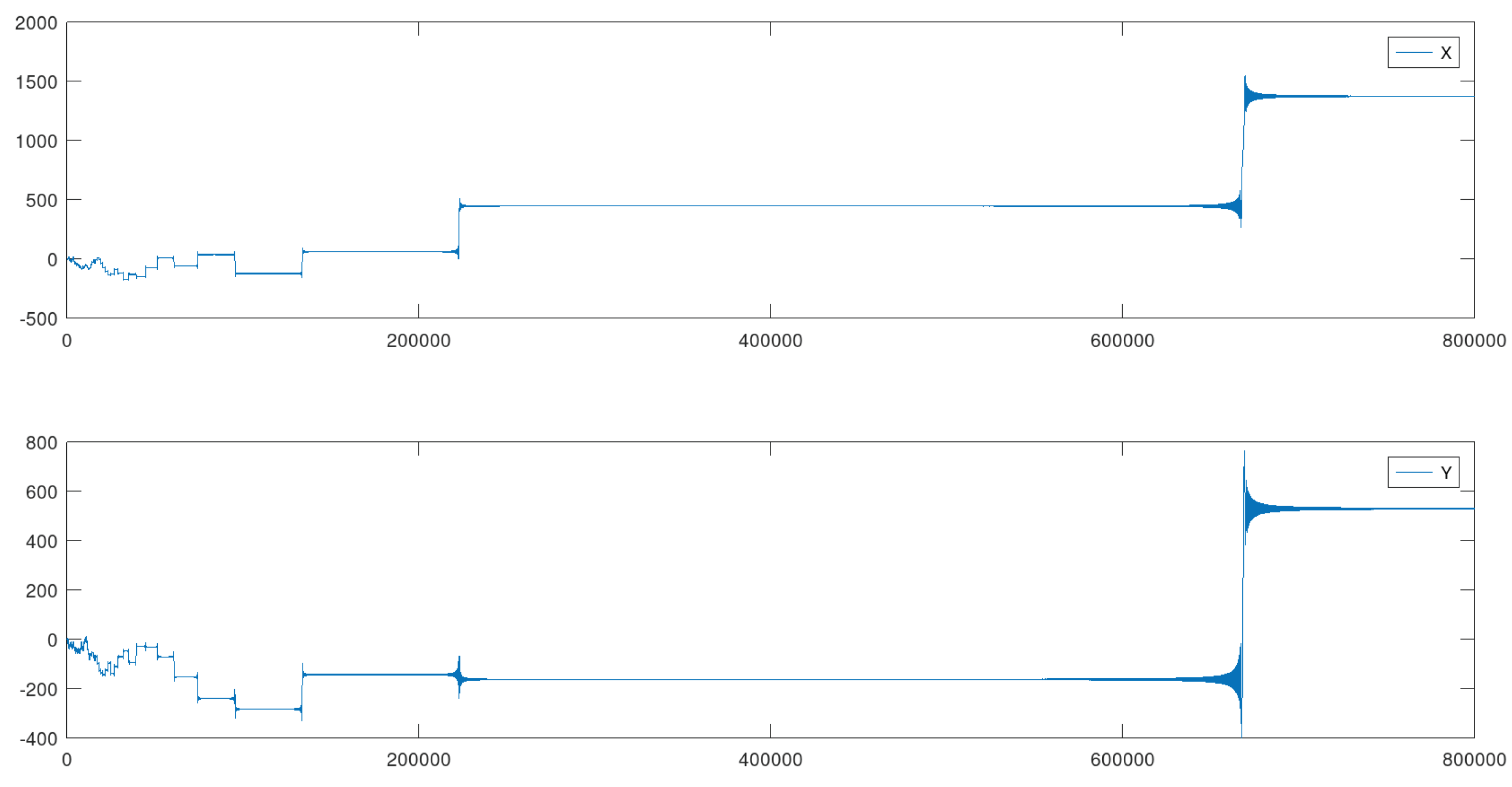
4.3. Example 3: - 800000 ITERATIONS



4.4. Example 4: - 1400000 Iterations



4.5. Example 5: - 1200 Iterations


4.6. Example 6: - 11000000 Iterations



4.7. Source Code Used in the Tests
| Listing 1: Example Octave script |
![]() |
5. Conclusions
6. Important Observation
References
- ALEKSANDROV, Alexander G. The Poincaré index and its applications. Universe, v. 8, n. 4, p. 223, 2022. [CrossRef]
- A. A. Andronov, E. A. Leontovich, I. I. Gordon and A. G. Maier, Qualitative Theory of Second-Order Dynamic Systems. Halsted Press, New York, 1973.
- A. A. Andronov, E. A. Leontovich, I. I. Gordon and A. G. Maier, Theory of Bifurcations of Dynamical Systems on a Plane. Wiley, New York, 1973.
- N. ARWASHAN, THE RIEMANN HYPOTHESIS AND THE DISTRIBUTION OF PRIME NUMBERS, Nova Science Publisher Inc, 2021.
- V. I. Arnold, Mathematical Methods of Classical Mechanics, Springer, New York , 1989..
- V. I. Arnold, Geometrical Methods in the Theory of Ordinary Differential Equations, Springer, New York , 1983..
- D. K. Arrowsmith and C. M. Place, Ordinary Differential Equations. A Qualitative Approach with Applications. Chapman & Hall, London, 1982.
- F. Brauer , J. A. Nohel, The Qualitative Theory of Ordinary Differential Equations: An Introduction. Courier Corporation, New York,1989.
- S.Bressler,J. Kelso. Cortical coordination dynamics and cognition. Trends in Cogn Sci 5: 26-36, 2001. [CrossRef]
- J. C. P. Campuzano. El Monstruo del Lago Ness: Espirales con series de numeros complejos. https://bestiariotopologico.blogspot.com/2019/10/el-monstruo-del-lago-ness-espirales-con.html.
- J. Derbyshire, Prime Obsession: Bernhard Riemann and the Greatest Unsolved Problem in Mathematics. New York, Penguin, 2004.
- Edwards, H. M. Riemann’s Zeta Function. New York: Dover, 2001.
- J. Guckenheimer and P. Holmes, Nonlinear Oscillations, Dynamical Systems, and Bifurcations of Vector Fields, Springer , New York , 2013.
- H. Haken. Beyond attractor neural networks for pattern recognition. Nonlinear Phenomena in Complex Systems 9: 163-172, 2006.
- J. K. Hale, Ordinary Differential Equations. Robert E. Krieger Publishing Co. Inc., New York,1980.
- P. Hartman, Ordinary Differential Equations. John Wiley & Sons, New York, 1964.
- K Ikeda, K. Otsuka,K. Matsumoto. Maxwell-Bloch turbulence. Prog. Theor. Phys. Suppl. 99: 295-324, 1989. [CrossRef]
- K. Knopp, Theory and Application of Infinite Series, Dover, 1990.
- S. Lang, Complex Analysis, 4th ed., Springer-Verlag, 1999.
- C. H. C. Little , K. L. Teo , B. van Brunt, Real Analysis via Sequences and Series, Springer, New York, 2015. [CrossRef]
- J.H. Loxton, The Graphs of Exponential Sums, Mathematika 30, pp. 153-163, 1983. [CrossRef]
- R. Marangell, Index Theory Lecture Notes, University of Sydney, 2017.
- D. McKenzie, Samsara: An Exploration of the Hidden Forces that Shape and Bind Us, Mantra Books, 2022.
- J. Milnor. On the concept of attractor. Comm Math Phys 99: 177-195, 1985. [CrossRef]
- M. Mureşan, A Concrete Approach to Classical Analysis, Springer-Verlag, New York, 2009. [CrossRef]
- Z. Nitecki, Differentiable Dynamics - An Introduction to the Orbit Structure of Diffeomorphisms. The MIT Press, New York, 1971.
- H. Oliveira, Existence of Zeros for Holomorphic Complex Functions: A Dynamical Systems Approach. Preprints 2023, 2023090357. [CrossRef]
- H. Oliveira, A Modest Contribution to the Riemann Hypothesis Using the Poincaré Index. Preprints 2023, 2023090513. [CrossRef]
- L. Perko, Differential Equations and Dynamical Systems. Springer Science & Business Media, New York , 2001.
- E. C. Titchmarsh.. The Theory of the Riemann Zeta Function, 2nd edition, Oxford University Press, 1986.
- I. Tsuda I,E. Korner E, H. Shimizu. Memory dynamics in asynchronous neural networks. Prog Theor Phys 78:51-71, 1987. [CrossRef]
- I. Tsuda. The plausibility of a chaotic brain theory, The Behavioral and Brain Sciences 24 (4), 2002. [CrossRef]
- I. Tsuda. Toward an interpretation of dynamic neural activity in terms of chaotic dynamical systems. Behav. Brain Sci. 24: 793-847, 2001. [CrossRef]
- I. Tsuda., T. Umemura. Chaotic itinerancy generated by coupling of Milnor attractors. Chaos 13: 926-936, 2003. [CrossRef]
- S. Wiggins. An introduction to applied nonlinear dynamical systems and chaos 2nd ed., Springer, 2003.


Disclaimer/Publisher’s Note: The statements, opinions and data contained in all publications are solely those of the individual author(s) and contributor(s) and not of MDPI and/or the editor(s). MDPI and/or the editor(s) disclaim responsibility for any injury to people or property resulting from any ideas, methods, instructions or products referred to in the content. |
© 2025 by the author. Licensee MDPI, Basel, Switzerland. This article is an open access article distributed under the terms and conditions of the Creative Commons Attribution (CC BY) license (http://creativecommons.org/licenses/by/4.0/).
