Submitted:
22 December 2025
Posted:
24 December 2025
You are already at the latest version
Abstract
Medicinal plants have become increasingly important due to the diversity and bactericidal potential of many species. They can work as an alternative to the use of antimicrobials in the treatment of bacterial infections, which may represent impairment to health. Considering the importance of alternative compounds, we aimed to evaluate the antimicrobial activity in vitro of medicinal plants Stryphnodendron adstringens (Mart.) Coville, known as barbatimão, Baccharis crispa Spreng, known as carqueja and Azadiractha indica, known as neem. S. adstringens and B. crispa were used as extract and obtained from plants collected in the municipality of Bambuí, state of Minas Gerais, Brazil. A. indica was evaluated as extract and oil, and the crushed leaves and oil were purchased from a commercial company. Antimicrobial activity was determined by the minimum bactericidal concentration (MBC) test against Staphylococcus aureus, Streptococcus agalactiae, Streptococcus uberis, Escherichia coli, and Salmonella spp, isolated from bovine mastitis. The bacteria were submitted to the MBC test at concentrations of 100, 50, 25, 12.5, 6.25, 3.12, 1.56, 0.78, 0.39, 0.19 and 0.09 mg/mL. The bacteria evaluated were sensitive to most plant extracts for at least one of the concentrations evaluated, except for Gram-negative bacteria, Escherichia coli, and Salmonella spp. There was no activity of B. crispa extract and A. indica against E. coli and neither of A. indica extract against Salmonella spp. even at the highest concentration evaluated. S. adstringens was considered the extract with the highest activity against the bacteria evaluated and S. uberis the most susceptible to antimicrobial action. The results indicate the antimicrobial activity of the compounds and a possible application of these for the development of biotechnological products against the main bacteria causing bovine mastitis, becoming an alternative to the use of antibiotics.
Keywords:
1. Introduction
2. Materials and Methods
2.1. Material Sampling and Extract Preparation
2.2. Strains
2.3. Inoculum Preparation
2.4. Determination of Minimum Bactericidal Concentration (MBC)
2.5. Paper Spray Mass Spectrometry
2.6. Statistical Analysis
3. Results and Discussion
3.1. Antimicrobial Activity
3.2. Mass Spectrometry with Paper Spray Ionization
3.2.1. Stryphnodendron adstringens (Mart.) Coville
3.2.2. Baccharis crispa Spreng
3.2.3. Azadiractha indica
4. Conclusions
5. Patents
Author Contributions
Institutional Review Board Statement
Informed Consent Statement
Data Availability Statement
Acknowledgments
Conflicts of Interest
References
- Makovec, J.A.; Ruegg, P.L. Antimicrobial Resistance of Bacteria Isolated from Dairy Cow Milk Samples Submitted for Bacterial Culture: 8,905 Samples (1994–2001). J. Am. Vet. Med. Assoc. 2003, 222, 1582–1589. [Google Scholar] [CrossRef] [PubMed]
- Valde, J.P.; Lawson, L.G.; Lindberg, A.; Agger, J.F.; Saloniemi, H.; Østerås, O. Cumulative Risk of Bovine Mastitis Treatments in Denmark, Finland, Norway and Sweden. Acta Vet. Scand. 2004, 45, 201–210. [Google Scholar] [CrossRef] [PubMed]
- Hand, K.J.; Godkin, A.; Kelton, D.F. Milk Production and Somatic Cell Counts: A Cow-Level Analysis. J. Dairy Sci. 2012, 95, 1358–1362. [Google Scholar] [CrossRef]
- DANMAP. Use of Antimicrobial Agents and Occurrence of Antimicrobial Resistance in Bacteria from Food Animals, Food and Humans in Denmark. Available online: http://orbit.dtu.dk/files/140535625/DANMAP_2016_LOW_241017.pdf (accessed on 24 April 2021).
- Halasa, T.; Nielen, M.; de Roos, A.P.W.; van Hoorne, R.; Jong, G.; Lam, T.J.G.M.; Werven, T.; Hogeveen, H. Production Loss Due to New Subclinical Mastitis in Dutch Dairy Cows Estimated with a Test-Day Model. J. Dairy Sci. 2009, 92, 599–606. [Google Scholar] [CrossRef] [PubMed]
- Leite, J.A.; Pereira, H.P.; Borges, C.A.V.; Alves, B.R.C.; Ramos, A.I.A.P.; Martins, M.F.; Arcuri, E.F. Lytic Bacteriophages as a Potential Alternative to Control Staphylococcus aureus. Pesqui. Agropecu. Bras. 2019, 54, 1–9. [Google Scholar] [CrossRef]
- Cohen, M.L. Epidemiology of Drug Resistance: Implications for a Post-Antimicrobial Era. Science 1992, 257, 1050–1055. [Google Scholar] [CrossRef]
- Ribeiro, A.Q.; Leite, J.P.V.; Dantas-Barros, A.M. Profile of Herbal Medicine Use in Community Pharmacies of Belo Horizonte under the Influence of National Legislation. Rev. Bras. Farmacogn. 2005, 15, 65–70. [Google Scholar] [CrossRef]
- Toledo, C.E.M. Estudos Anatômico, Químico e Biológico de Cascas e Extratos Obtidos de Barbatimão (Stryphnodendron adstringens). Master’s Thesis, Universidade Estadual Paulista, Araraquara, Brazil, 2002; p. 115 pp. [Google Scholar]
- Macedo, M.; Ferreira, A.R. Medicinal Plants Used for Dermatological Treatments in Communities of the Upper Paraguay River Basin, Mato Grosso. Rev. Bras. Farmacogn. 2004, 14, 40–44. [Google Scholar] [CrossRef]
- Del Vitto, L.A.; Petenatti, E.M.; Petenatti, M.E. Introducción a la Herboristería; Serie Técnica Herbario UNSL: San Luis, Argentina, 2002; pp. 10–61. [Google Scholar]
- Roig, F. Flora Medicinal Mendocina: Las Plantas Medicinales y Aromáticas de la Provincia de Mendoza; EDIUNC: Mendoza, Argentina, 2001. [Google Scholar]
- Abdullah, F.; Subramanian, P. The Feeding Response of Epilachna indica (Coleoptera: Coccinellidae Epilachninae) Towards Extracts of Azadirachta indica. J. Entomol. 2008, 5, 77–90. [Google Scholar] [CrossRef]
- Agbenin, N.O.; Emechebe, A.M.; Marley, P.S. Evaluation of Neem Seed Powder for Fusarium Wilt and Meloidogyne Control on Tomato. Arch. Phytopathol. Plant Prot. 2004, 37, 319–326. [Google Scholar] [CrossRef]
- Subramaniam, S.K.; Siswomihardjo, W.; Sunarintyas, S. The Effect of Different Concentrations of Neem (Azadirachta indica) Leaves Extract on the Inhibition of Streptococcus mutans (In Vitro). Dent. J. (Majalah Kedokteran Gigi) 2005, 38, 176–179. [Google Scholar] [CrossRef]
- Costa, J.P.R.; Almeida, A.C.; Martins, A.C.; Rodrigues, M.N.; Santos, C.A.; Menezes, I.R. Antimicrobial Activity of Rosmarinus officinalis Essential Oil and Stryphnodendron adstringens Extract Against Bacteria Isolated from Milk. Rev. Biotemas 2011, 24, 1–6. [Google Scholar]
- Sousa, J.N. Obtenção de Extratos Padronizados a Partir da Casca de Stryphnodendron adstringens (Mart.) Coville (Fabaceae) e Avaliações Biológicas In Vitro. Master’s Thesis, Universidade Federal de Goiás, Goiânia, Brazil, 2014; pp. 34–47. [Google Scholar]
- Brazilian Pharmacopedia. Farmacopeia dos Estados Unidos do Brasil, 2nd ed.; Siqueira: São Paulo, Brazil, 1959. [Google Scholar]
- Avancini, C.A.M.; Wiest, J.M.; Dall’Agnol, R.; Haas, J.S.; Poser, G.L. Antimicrobial Activity of Plants Used in the Prevention and Control of Bovine Mastitis in Southern Brazil. Lat. Am. J. Pharm. 2008, 27, 894–899. [Google Scholar]
- Sukanya, S.L.; Sudisha, J.; Hariprasad, P.; Niranjana, S.R.; Prakash, H.S.; Fathima, S.K. Antimicrobial Activity of Leaf Extracts of Indian Medicinal Plants Against Clinical and Phytopathogenic Bacteria. Afr. J. Biotechnol. 2009, 8, 6677–6682. [Google Scholar]
- Mistry, K.S.; Sanghvi, Z.; Parmar, G.; Shah, S. The Antimicrobial Activity of Azadirachta indica, Mimusops elengi, Tinospora cordifolia, Ocimum sanctum and 2% Chlorhexidine Gluconate on Common Endodontic Pathogens: An In Vitro Study. Eur. J. Dent. 2014, 8, 172–177. [Google Scholar]
- Farmacopeia Brasileira, 5th ed.; Agência Nacional de Vigilância Sanitária (ANVISA): Brasília, Brazil, 2010; Volume 2.
- Clinical & Laboratory Standards Institute (CLSI). Performance Standards for Antimicrobial Disk and Dilution Susceptibility Tests for Bacteria Isolated from Animals; CLSI: Wayne, PA, USA, 2008; Volume 28, Issue 8, pp. 24–35. [Google Scholar]
- Aizawa, H. Morphology of Polysorbate 80 (Tween 80) Micelles in Aqueous Dimethyl Sulfoxide Solution. J. Appl. Crystallogr. 2010, 43, 630–631. [Google Scholar] [CrossRef]
- R Core Team. R: A Language and Environment for Statistical Computing; R Foundation for Statistical Computing: Vienna, Austria, 2020. Available online: http://www.R-project.org/ (accessed on 10 January 2020).
- Costa, E.S.; Hiruma-Lima, C.A.; Lima, E.O.; Sucupira, G.C.; Bertolin, A.O.; Lolis, S.F.; Andrade, F.D.P.; Vilegas, W.; Souza-Brito, A.R.M. Antimicrobial Activity of Some Medicinal Plants of the Cerrado, Brazil. Phytother. Res. 2008, 22, 705–707. [Google Scholar] [CrossRef]
- Baskaran, A.S.; Kazmer, G.W.; Hinckley, L.; Andrew, S.M.; Venkitanarayanan, K. Antibacterial Effect of Plant-Derived Antimicrobials on Major Bacterial Mastitis Pathogens In Vitro. J. Dairy Sci. 2009, 92, 1423–1429. [Google Scholar] [CrossRef]
- Babita, P.; Hari, D.B.; Jin, S.L.; Soon, G.H.; Hyun, W.S.; Joung, H.Y. Antibacterial Potential of Antarctic Lichens Against Human Pathogenic Gram-Positive Bacteria. Phytother. Res. 2008, 22, 1269–1271. [Google Scholar]
- Walter, C.; Shinwari, Z.K.; Afzal, I.; Malik, R.N. Antibacterial Activity in Herbal Products Used in Pakistan. Pak. J. Bot. 2011, 43, 155–162. [Google Scholar]
- Palacios, P.; Gutkind, G.; Rondina, R.V.; de Torres, R.; Coussio, J.D. Genus Baccharis. II. Antimicrobial Activity of B. crispa and B. notosergilla. Planta Med. 1983, 48, 128. [Google Scholar] [CrossRef]
- Ranjan, R.; Swarup, D.; Patra, R.C.; Nandi, D. Bovine Protothecal Mastitis: A Review. CAB Rev. Perspect. Agric. Vet. Sci. Nutr. Nat. Resour. 2006, 1, 1–7. [Google Scholar]
- Mossini, S.A.G.; Kemmelmeier, C. The Neem Tree (Azadirachta indica A. Juss.): Multiple Uses. Acta Farm. Bonaer. 2005, 24, 139–148. [Google Scholar]
- Arroteia, C.C.; Kemmelmeier, C.; Junior, M.M. Effect of Aqueous and Oily Extracts of Neem [Azadirachta indica A. Juss (Meliaceae)] on Patulin Production in Apples Contaminated with Penicillium expansum. Ciênc. Rural 2007, 37, 1518–1523. [Google Scholar] [CrossRef]
- Kasper, S.; Müller, W.E.; Volz, H.P.; Möller, H.J.; Koch, E.; Dienel, A. Silexan in Anxiety Disorders: Clinical Data and Pharmacological Background. World J. Biol. Psychiatry 2018, 19, 412–420. [Google Scholar] [CrossRef] [PubMed]
- Barbosa, C.R.; Pantoja, J.C.; Fernandes, T.; Chagas, R.A.; Souza, C.G.; Santos, A.R.; Vargas Junior, F.M. Bioactive Compounds of Barbatimão (Stryphnodendron sp.) as Dietary Additive in Lamb Diets. Agriculture 2023, 13(3), 664. [Google Scholar] [CrossRef]
- Souza-Moreira, T.M.; Queiroz-Fernandes, G.M.; Pietro, R.C.L.R. Stryphnodendron Species Known as “Barbatimão”: A Comprehensive Report. Molecules 2018, 23(4), 910. [Google Scholar] [CrossRef]
- Gomes, P.W.; Pamplona, T.C.; Navegantes-Lima, K.C.; Quadros, L.B.; Oliveira, A.L.; Santos, S.M.; da Silva, M.N. Chemical Composition and Antibacterial Action of Stryphnodendron pulcherrimum Bark Extract, “Barbatimão” Species: Evaluation of Its Use as a Topical Agent. Arab. J. Chem. 2021, 14(6), 103183. [Google Scholar] [CrossRef]
- Ricardo, L.M.; Dias, B.M.; Mügge, F.L.; Leite, V.V.; Brandão, M.G. Evidence of Traditionality of Brazilian Medicinal Plants: The Case Studies of Stryphnodendron adstringens (Mart.) Coville (Barbatimão) Barks and Copaifera spp. (Copaíba) Oleoresin in Wound Healing. J. Ethnopharmacol. 2018, 219, 319–336. [Google Scholar] [CrossRef]
- Polce, S.A.; Burke, C.; França, L.M.; Kramer, B.; Paes, A.M.D.A.; Carrillo-Sepulveda, M.A. Ellagic Acid Alleviates Hepatic Oxidative Stress and Insulin Resistance in Diabetic Female Rats. Nutrients 2018, 10(5), 531. [Google Scholar] [CrossRef]
- Suručić, R.; Radović Selgrad, J.; Kundaković-Vasović, T.; Lazović, B.; Travar, M.; Suručić, L.; Škrbić, R. In Silico and In Vitro Studies of Alchemilla viridiflora Rothm—Polyphenols’ Potential for Inhibition of SARS-CoV-2 Internalization. Molecules 2022, 27(16), 5174. [Google Scholar] [CrossRef]
- Mallmann, A.S.V.; de Castro Chaves, R.; de Oliveira, N.F.; Oliveira, I.C.M.; Capibaribe, V.C.C.; Valentim, J.T.; de Sousa, F.C.F. Is Riparin III a Promising Drug in the Treatment for Depression? Eur. J. Pharm. Sci. 2021, 162, 105824. [Google Scholar] [CrossRef] [PubMed]
- Jiang, C.; Wang, S.; Wang, Y.; Wang, K.; Huang, C.; Gao, F.; Li, Y. Polyphenols from Hickory Nut Reduce the Occurrence of Atherosclerosis in Mice by Improving Intestinal Microbiota and Inhibiting Trimethylamine N-oxide Production. Phytomedicine 2024, 128, 155349. [Google Scholar] [CrossRef] [PubMed]
- Formato, M.; Piccolella, S.; Zidorn, C.; Pacifico, S. UHPLC-HRMS Analysis of Fagus sylvatica (Fagaceae) Leaves: A Renewable Source of Antioxidant Polyphenols. Antioxidants 2021, 10(7), 1140. [Google Scholar] [CrossRef]
- Morais-Campos, R.; Lima, L.M.A.L.L.; da Silva, A.G.; Santiago, R.O.; Paz, I.A.; Cabral, P.H.B.; do Nascimento, N.R.F. Rutin Ameliorates Nitrergic and Endothelial Dysfunction on Vessels and Corpora Cavernosa of Diabetic Animals. Res. Vet. Sci. 2023, 161, 163–172. [Google Scholar] [CrossRef] [PubMed]
- Alizadeh, S.R.; Ebrahimzadeh, M.A. Quercetin Derivatives: Drug Design, Development, and Biological Activities, a Review. Eur. J. Med. Chem. 2022, 229, 114068. [Google Scholar] [CrossRef]
- Straßmann, S.; Passon, M.; Schieber, A. Chemical Hemisynthesis of Sulfated Cyanidin-3-O-glucoside and Cyanidin Metabolites. Molecules 2021, 26(8), 2146. [Google Scholar] [CrossRef]
- Fraga-Corral, M.; Otero, P.; Cassani, L.; Echave, J.; Garcia-Oliveira, P.; Carpena, M.; Simal-Gandara, J. Traditional Applications of Tannin Rich Extracts Supported by Scientific Data: Chemical Composition, Bioavailability and Bioaccessibility. Foods 2021, 10(2), 251. [Google Scholar] [CrossRef]
- Marrone, G.; Di Lauro, M.; Izzo, F.; Cornali, K.; Masci, C.; Vita, C.; Noce, A. Possible Beneficial Effects of Hydrolyzable Tannins Deriving from Castanea sativa L. in Internal Medicine. Nutrients 2023, 16(1), 45. [Google Scholar] [CrossRef]
- Zhang, Z.; Li, X.; Sang, S.; McClements, D.J.; Chen, L.; Long, J.; Qiu, C. Polyphenols as Plant-Based Nutraceuticals: Health Effects, Encapsulation, Nano-Delivery, and Application. Foods 2022, 11(15), 2189. [Google Scholar] [CrossRef]
- Obeme-Nmom, J.I.; Abioye, R.O.; Flores, S.S.R.; Udenigwe, C.C. Regulation of Redox Enzymes by Nutraceuticals: A Review of the Roles of Antioxidant Polyphenols and Peptides. Food Funct. 2024. [Google Scholar] [CrossRef]
- Fujimoto, D.; Shinohara, M.; Kawamori, H.; Toba, T.; Kakizaki, S.; Nakamura, K.; Otake, H. The Relationship between Unique Gut Microbiome-Derived Lipid Metabolites and Subsequent Revascularization in Patients Who Underwent Percutaneous Coronary Intervention. Atherosclerosis 2023, 375, 1–8. [Google Scholar] [CrossRef] [PubMed]
- Fernandes, A.S.; de Melo Bisneto, A.V.; Silva, L.S.; Bailão, E.F.L.C.; Cardoso, C.G.; Carneiro, C.C.; Chen-Chen, L. Pedunculagin and Tellimagrandin-I Stimulate Inflammation and Angiogenesis and Upregulate VEGF and TNF-α In Vivo. Microvasc. Res. 2024, 151, 104615. [Google Scholar] [CrossRef] [PubMed]
- Li, D.; Rui, Y.X.; Guo, S.D.; Luan, F.; Liu, R.; Zeng, N. Ferulic Acid: A Review of Its Pharmacology, Pharmacokinetics and Derivatives. Life Sci. 2021, 284, 119921. [Google Scholar] [CrossRef] [PubMed]
- Fernandes, I.D.A.A.; Maciel, G.M.; Maroldi, W.V.; Bortolini, D.G.; Pedro, A.C.; Haminiuk, C.W.I. Bioactive Compounds, Health-Promotion Properties and Technological Applications of Jabuticaba: A Literature Overview. Meas. Food 2022, 8, 100057. [Google Scholar] [CrossRef]
- Hanaka, A.; Dresler, S.; Mułenko, W.; Wójciak, M.; Sowa, I.; Sawic, M.; Strzemski, M. Phenolic-Based Discrimination between Non-Symptomatic and Symptomatic Leaves of Aesculus hippocastanum Infested by Cameraria ohridella and Erysiphe flexuosa. Int. J. Mol. Sci. 2023, 24(18), 14071. [Google Scholar] [CrossRef]
- Wang, P.; Zhong, L.; Yang, H.; Hou, X.; Wu, C.; Zhang, R.; Cheng, Y. Systematic Transcriptomic and Metabolomic Analysis of Walnut (Juglans regia L.) Fruit to Trace Variations in Antioxidant Activity during Ripening. Sci. Hortic. 2022, 295, 110849. [Google Scholar] [CrossRef]
- Bogahawaththa, S.; Kawamura, T.; Bandaranayake, U.; Hirakawa, T.; Yamada, G.; Ishino, H.; Tsujita, T. Identification and Mechanistic Investigation of Ellagitannins from Osbeckia octandra That Attenuate Liver Fibrosis via the TGF-β/SMAD Signaling Pathway. Biosci. Biotechnol. Biochem. 2023, 87(11), 1295–1309. [Google Scholar] [CrossRef]
- Wylie, M.R.; Merrell, D.S. The Antimicrobial Potential of the Neem Tree Azadirachta indica. Front. Pharmacol. 2022, 13, 891535. [Google Scholar] [CrossRef]
- Ujah, I.I.; Nsude, C.A.; Ani, O.N.; Alozieuwa, U.B.; Okpako, I.O.; Okwor, A.E. Phytochemicals of Neem Plant (Azadirachta indica) Explain Its Use in Traditional Medicine and Pest Control. GSC Biol. Pharm. Sci. 2021, 14(2), 165–171. [Google Scholar] [CrossRef]
- Reddy, I.V.; Neelima, P. Neem (Azadirachta indica): A Review on Medicinal Kalpavriksha. Int. J. Econ. Plants 2022, 9(1), 59–63. [Google Scholar] [CrossRef]
- Vazquez de Vasquez, M.G.; Carter-Fenk, K.A.; McCaslin, L.M.; Beasley, E.E.; Clark, J.B.; Allen, H.C. Hydration and Hydrogen Bond Order of Octadecanoic Acid and Octadecanol Films on Water at 21 and 1 °C. J. Phys. Chem. A 2021, 125(46), 10065–10078. [Google Scholar] [CrossRef]
- Silva, G.G.; Pimenta, L.P.S.; Melo, J.O.F.; Mendonça, H.D.O.P.; Augusti, R.; Takahashi, J.A. Phytochemicals of Avocado Residues as Potential Acetylcholinesterase Inhibitors, Antioxidants, and Neuroprotective Agents. Molecules 2022, 27(6), 1892. [Google Scholar] [CrossRef]
- Sari, D.R.T.; Cairns, J.R.K.; Safitri, A.; Fatchiyah, F. Virtual Prediction of the Delphinidin-3-O-glucoside and Peonidin-3-O-glucoside as Anti-Inflammatory of TNF-α Signaling. Acta Inform. Med. 2019, 27(3), 152. [Google Scholar] [CrossRef]
- Chen, W.; Zhang, L.; Zhao, L.; Yan, F.; Zhu, X.; Lu, Q.; Liu, R. Metabolomic Profiles of A-Type Procyanidin Dimer and Trimer with Gut Microbiota In Vitro. J. Funct. Foods 2021, 85, 104637. [Google Scholar] [CrossRef]
- Rana, A.; Kumari, A.; Chaudhary, A.K.; Srivastava, R.; Kamil, D.; Vashishtha, P.; Sharma, S.N. An Investigation of Antimicrobial Activity for Plant Pathogens by Green-Synthesized Silver Nanoparticles Using Azadirachta indica and Mangifera indica. Physchem 2023, 3(1), 125–146. [Google Scholar] [CrossRef]




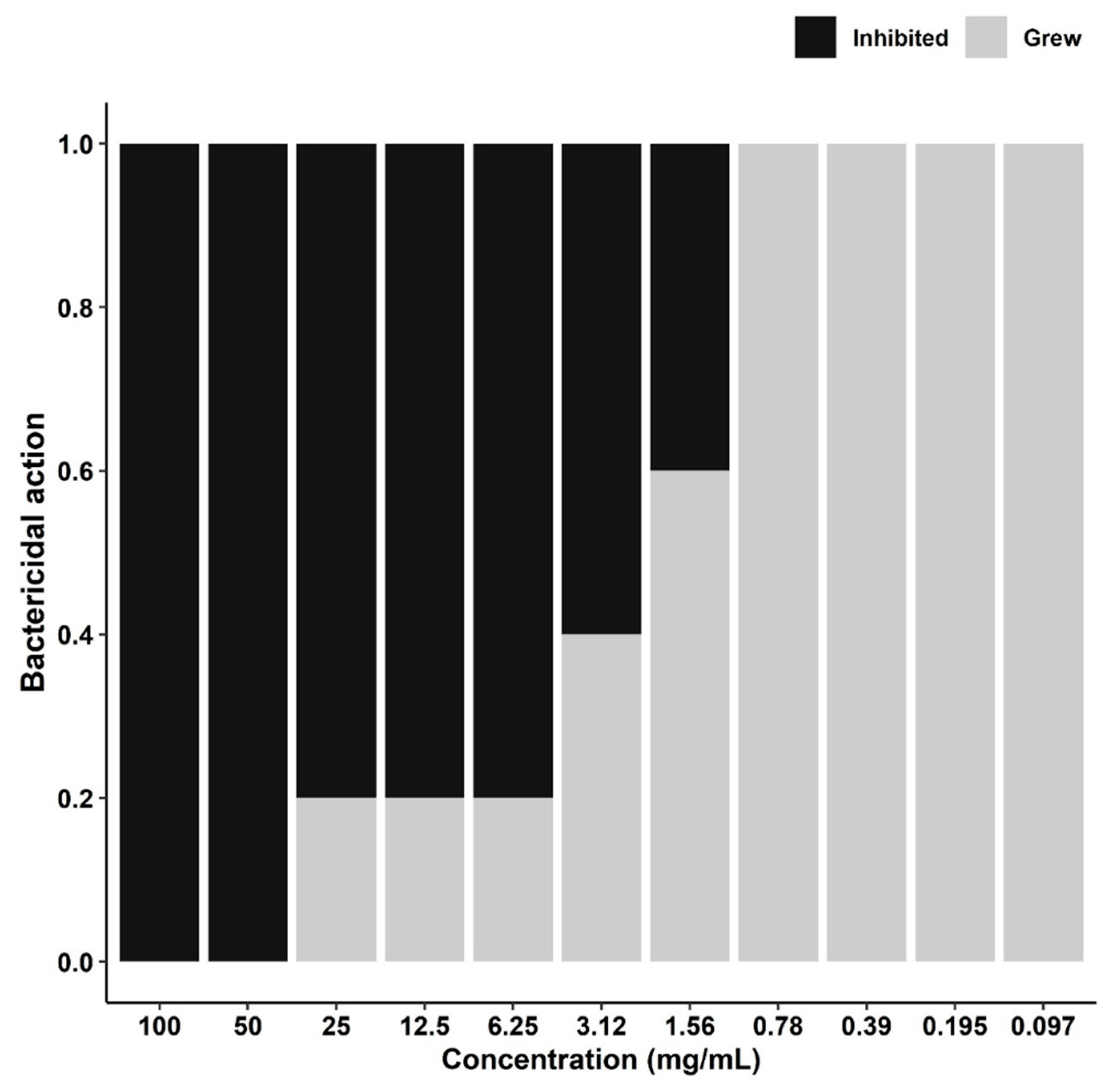
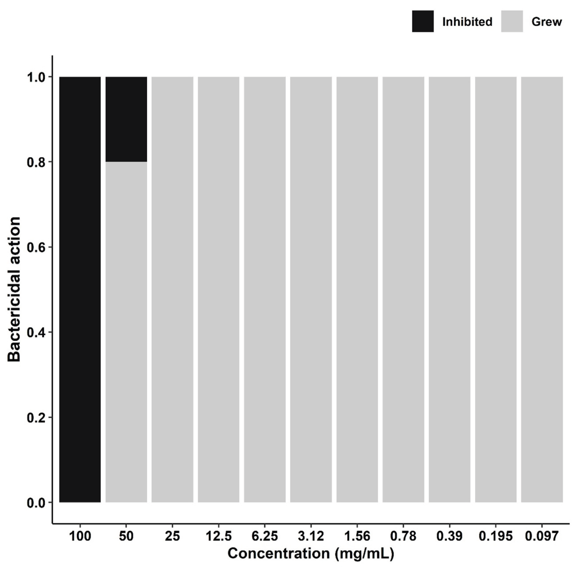
| Bacterium | Concentration of Extracts and Oil (mg/mL) | |||
|---|---|---|---|---|
| ESa | EBc | EAi | OAi | |
| S. aureus | 1.56 | 100 | 25 | 100 |
| S. agalactiae | 3.12 | 100 | 12.5 | 100 |
| S. uberis | 1.56 | 50 | 6.25 | 50 |
| E. coli | 50 | >100* | >100* | 100 |
| Salmonella spp. | 6.25 | >100* | 100 | 100 |
Disclaimer/Publisher’s Note: The statements, opinions and data contained in all publications are solely those of the individual author(s) and contributor(s) and not of MDPI and/or the editor(s). MDPI and/or the editor(s) disclaim responsibility for any injury to people or property resulting from any ideas, methods, instructions or products referred to in the content. |
© 2026 by the authors. Licensee MDPI, Basel, Switzerland. This article is an open access article distributed under the terms and conditions of the Creative Commons Attribution (CC BY) license.
