Submitted:
27 October 2025
Posted:
28 October 2025
You are already at the latest version
Abstract
Keywords:
1. Introduction
2. Instrument and Methods
2.1. Design and Performance of the Precision WFSE
2.2. PNR Measurement for Magnetic Thin Film
2.3. MCV-PNR Method
3. Results and Discussion
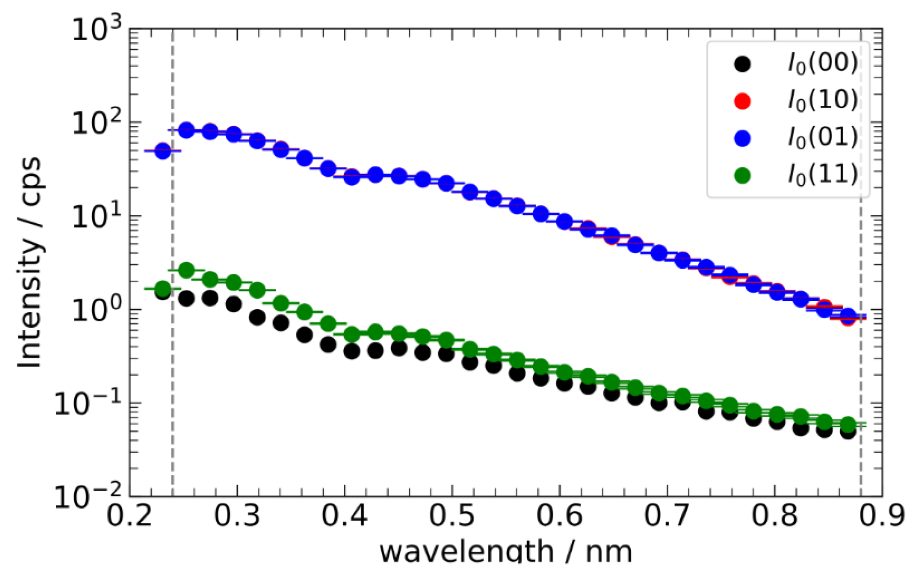
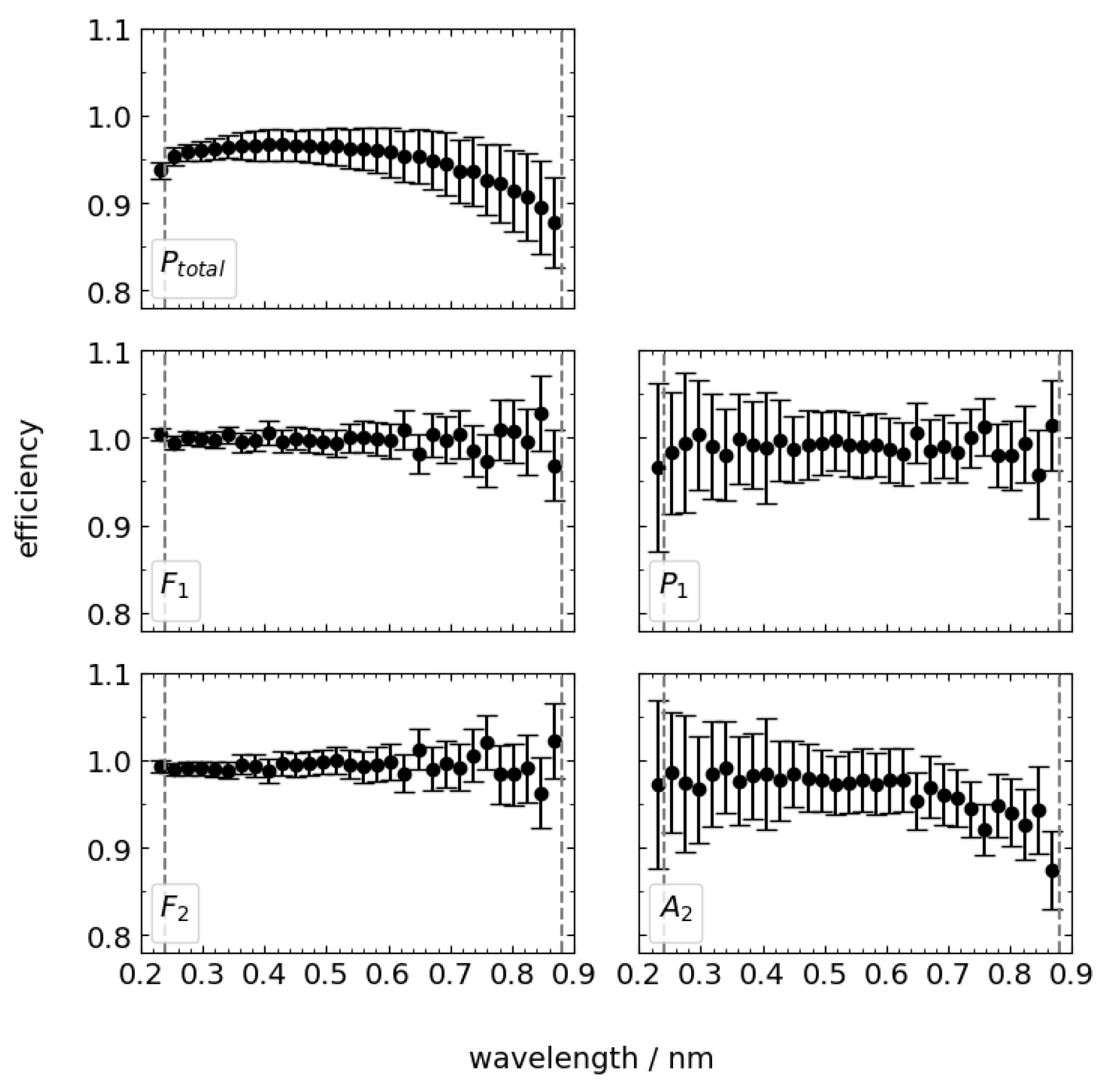
3.1. Magnetic-Field Characteristics and Polarization Efficiencies
3.2. PNR on Fe Thin Film Under Remanent State
3.3. MCV-PNR Results

4. Conclusions
Supplementary Materials
Author Contributions
Funding
Data Availability Statement
Acknowledgments
Conflicts of Interest
References
- Akiyama, R.; Ishikawa, R.; Akutsu-Suyama, K.; Nakanishi, R.; Tomohiro, Y.; Watanabe, K.; Iida, K.; Mitome, M.; Hasegawa, S.; Kuroda, S. Direct Probe of the Ferromagnetic Proximity Effect at the Interface of SnTe/Fe Heterostructure by Polarized Neutron Reflectometry. J. Phys. Chem. Lett. 13, 8228–8235 (2022). [CrossRef]
- Suturin, S.M.; Dvortsova, P.A.; Snigirev, L.A.; Ukleev, V.A.; Hanashima, T.; Rosado, M.; Ballesteros, B. Structural Peculiarities of ε-Fe2O3/GaN Epitaxial Layers Unveiled by High-Resolution Transmission Electron Microscopy and Neutron Reflectometry. Materials Today Communications 33, 104412 (2022). [CrossRef]
- Kumada, T.; Miura, D.; Akutsu-Suyama, K.; Ohishi, K.; Morikawa, T.; Kawamura, Y.; Suzuki, J.; Oku, T.; Torikai, N.; Niizeki, T. Structure Analysis of a Buried Interface between Organic and Porous Inorganic Layers Using Spin-Contrast-Variation Neutron Reflectivity. Journal of Applied Crystallography 55, 1147–1153 (2022). [CrossRef]
- Ohtsuka, Y.; Kanazawa, N.; Hirayama, M.; Matsui, A.; Nomoto, T.; Arita, R.; Nakajima, T.; Hanashima, T.; Ukleev, V.; Aoki, H.; et al. Emergence of Spin-Orbit Coupled Ferromagnetic Surface State Derived from Zak Phase in a Nonmagnetic Insulator FeSi. Science Advances 7, eabj0498 (2021). [CrossRef]
- Nagashima, G.; Kurokawa, Y.; Zhong, Y.; Horiike, S.; Schönke, D.; Krautscheid, P.; Reeve, R.; Kläui, M.; Inagaki, Y.; Kawae, T.; et al. Quasi-Antiferromagnetic Multilayer Stacks with 90 Degree Coupling Mediated by Thin Fe Oxide Spacers. Journal of Applied Physics 126, 093901 (2019). [CrossRef]
- Zhong, Y.; Kurokawa, Y.; Nagashima, G.; Horiike, S.; Hanashima, T.; Schönke, D.; Krautscheid, P.; Reeve, R.M.; Kläui, M.; Yuasa, H. Determination of Fine Magnetic Structure of Magnetic Multilayer with Quasi Antiferromagnetic Layer by Using Polarized Neutron Reflectivity Analysis. AIP Advances 10, 015323 (2020). [CrossRef]
- Maruyama, R.; Yamazaki, D.; Aoki, H.; Akutsu-Suyama, K.; Hanashima, T.; Miyata, N.; Soyama, K.; Bigault, T.; Saerbeck, T.; Courtois, P. Improved Performance of Wide Bandwidth Neutron-Spin Polarizer Due to Ferromagnetic Interlayer Exchange Coupling. Journal of Applied Physics 130, 083904 (2021). [CrossRef]
- Zubayer, A. Enhanced Polarizing Neutron Optics with 11B4C Incorporation : SLD Tunability, Interface Refinement, and Elimination of Magnetic Coercivity. Licentiate thesis, comprehensive summary, Linköping University Electronic Press: Linköping, (2023).
- Grünberg, P.; Schreiber, R.; Pang, Y.; Brodsky, M.B.; Sowers, H. Layered Magnetic Structures: Evidence for Antiferromagnetic Coupling of Fe Layers across Cr Interlayers. Phys. Rev. Lett. 57, 2442–2445 (1986). [CrossRef]
- Spezzani, C.; Torelli, P.; Sacchi, M.; Delaunay, R.; Hague, C.F.; Salmassi, F.; Gullikson, E.M. Hysteresis Curves of Ferromagnetic and Antiferromagnetic Order in Metallic Multilayers by Resonant X-Ray Scattering. Phys. Rev. B 66, 052408 (2002). [CrossRef]
- Ma, C.T.; Zhou, W.; Kirby, B.J.; Poon, S.J. Interfacial Mixing Effect in a Promising Skyrmionic Material: Ferrimagnetic Mn4N. AIP Advances 12, 085023 (2022). [CrossRef]
- Sheng, P.; Fujita, T.; Mizuguchi, M. Anomalous Nernst Effect in Cox(MgO)1-x Granular Thin Films. Applied Physics Letters 116, 209901 (2020). [CrossRef]
- Moubah, R.; Magnus, F.; Warnatz, T.; Palsson, G.K.; Kapaklis, V.; Ukleev, V.; Devishvili, A.; Palisaitis, J.; Persson, P.O.Å.; Hjörvarsson, B. Discrete Layer-by-Layer Magnetic Switching in Fe / MgO ( 001 ) Superlattices. Phys. Rev. Applied 5, 044011 (2016). [CrossRef]
- Al-Rashid, M.M.; Bhattacharya, D.; Grutter, A.; Kirby, B.; Atulasimha, J. Polarized Neutron Reflectometry Study of Depth Dependent Magnetization Variation in Co Thin Film Due to Strain Transfer from PMN-PT Substrate. Journal of Applied Physics 124, 113903 (2018). [CrossRef]
- Ukleev, V.; Ajejas, F.; Devishvili, A.; Vorobiev, A.; Steinke, N.-J.; Cubitt, R.; Luo, C.; Abrudan, R.-M.; Radu, F.; Cros, V.; et al. Observation by SANS and PNR of Pure Néel-Type Domain Wall Profiles and Skyrmion Suppression below Room Temperature in Magnetic [Pt/CoFeB/Ru]10 Multilayers. Science and Technology of Advanced Materials 25, 2315015 (2024). [CrossRef]
- Kostylev, M.; Causer, G.L.; Lambert, C.-H.; Schefer, T.; Weiss, C.; Callori, S.J.; Salahuddin, S.; Wang, X.L.; Klose, F. In Situ Ferromagnetic Resonance Capability on a Polarized Neutron Reflectometry Beamline. J Appl Crystallogr 51, 9–16 (2018). [CrossRef]
- Zubayer, A.; Eriksson, F.; Ghafoor, N.; Stahn, J.; Birch, J.; Glavic, A. Optimization of Magnetic Contrast Layer for Neutron Reflectometry. (2025). [CrossRef]
- Takeda, M.; Yamazaki, D.; Soyama, K.; Maruyama, R.; Hayashida, H.; Asaoka, H.; Yamazaki, T.; Kubota, M.; Aizawa, K.; Arai, M.; et al. Current Status of a New Polarized Neutron Reflectometer at the Intense Pulsed Neutron Source of the Materials and Life Science Experimental Facility (MLF) of J-PARC. Chinese J. Phys. 50, 161 (2012).
- Kai, T.; Harada, M.; Teshigawara, M.; Watanabe, N.; Kiyanagi, Y.; Ikeda, Y. Neutronic Performance of Rectangular and Cylindrical Coupled Hydrogen Moderators in Wide-Angle Beam Extraction of Low-Energy Neutrons. Nuclear Instruments and Methods in Physics Research Section A: Accelerators, Spectrometers, Detectors and Associated Equipment 550, 329–342 (2005). [CrossRef]
- Nakajima, K.; Kawakita, Y.; Itoh, S.; Abe, J.; Aizawa, K.; Aoki, H.; Endo, H.; Fujita, M.; Funakoshi, K.; Gong, W.; et al. Materials and Life Science Experimental Facility (MLF) at the Japan Proton Accelerator Research Complex II: Neutron Scattering Instruments. QuBS 1, 9 (2017). [CrossRef]
- Liaud, P.; Steinberg, R.I.; Vignon, B. A Two-Coil Spin Flipper for Beams of Polarized Slow Neutrons. Nuclear Instruments and Methods 125, 7–8 (1975). [CrossRef]
- Hayter, J.B. Matrix Analysis of Neutron Spin-Echo. Z Physik B 1978, 31, 117–125. [CrossRef]
- Nakatani, T.; Inamura, Y.; Moriyama, K.; Ito, T. IROHA2: Standard Instrument Control Software Framework in MLF, J-PARC. NOBUGS 2016 Proceedings 76 (2016). [CrossRef]
- Inamura, Y.; Nakatani, T.; Suzuki, J.; Otomo, T. Development Status of Software “Utsusemi” for Chopper Spectrometers at MLF, J-PARC. J. Phys. Soc. Jpn. 82, SA031 (2013). [CrossRef]
- Glavic, A.; Björck, M. GenX 3 : The Latest Generation of an Established Tool. J Appl Crystallogr 55, 1063–1071 (2022). [CrossRef]
- Su, J.; Garvey, C.J.; Holt, S.; Tabor, R.F.; Winther-Jensen, B.; Batchelor, W.; Garnier, G. Adsorption of Cationic Polyacrylamide at the Cellulose–Liquid Interface: A Neutron Reflectometry Study. Journal of Colloid and Interface Science 448, 88–99 (2015). [CrossRef]
- Nelson, A. Co-Refinement of Multiple-Contrast Neutron/X-Ray Reflectivity Data Using MOTOFIT. J Appl Crystallogr 39, 273–276 (2006). [CrossRef]
- Nelson, A. Motofit – Integrating Neutron Reflectometry Acquisition, Reduction and Analysis into One, Easy to Use, Package. J. Phys.: Conf. Ser. 251, 012094 (2010). [CrossRef]







| Upstream flipper | Downstream flipper | I(ij) | Corrected intensity |
|---|---|---|---|
| off (0) | off (0) | I0(00), I(00) | I0−+, R−+ |
| off (0) | on (1) | I0(01), I(01) | I0−−, R−− |
| on (1) | off (0) | I0(10), I(10) | I0++, R++ |
| on (1) | on (1) | I0(11), I(11) | I0−+, R−+ |
Disclaimer/Publisher’s Note: The statements, opinions and data contained in all publications are solely those of the individual author(s) and contributor(s) and not of MDPI and/or the editor(s). MDPI and/or the editor(s) disclaim responsibility for any injury to people or property resulting from any ideas, methods, instructions or products referred to in the content. |
© 2025 by the authors. Licensee MDPI, Basel, Switzerland. This article is an open access article distributed under the terms and conditions of the Creative Commons Attribution (CC BY) license (http://creativecommons.org/licenses/by/4.0/).
