Submitted:
27 October 2025
Posted:
28 October 2025
You are already at the latest version
Abstract
Keywords:
1. Introduction
2. Materials and Methods
2.1. Trial Layout
2.2. Statistical Analyses
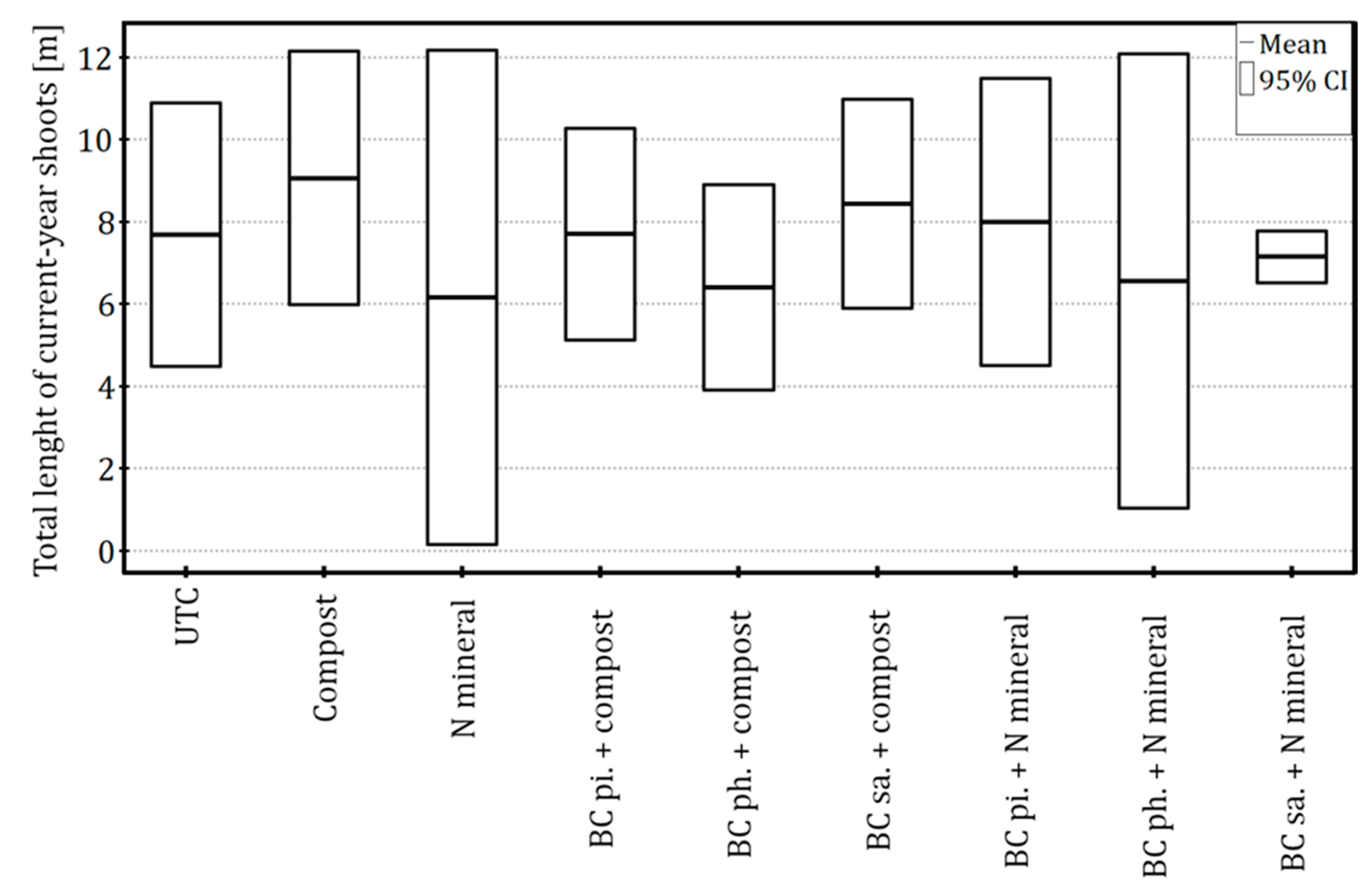
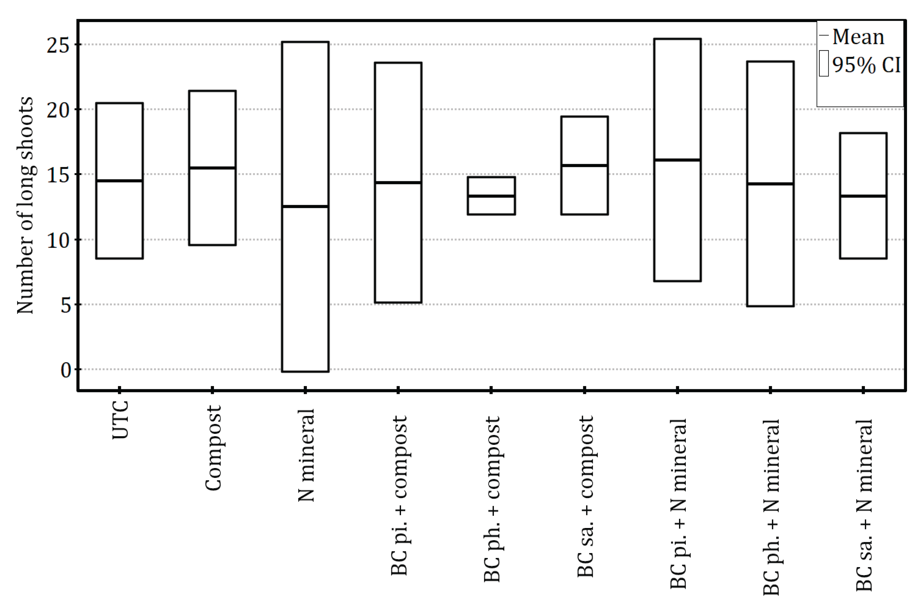
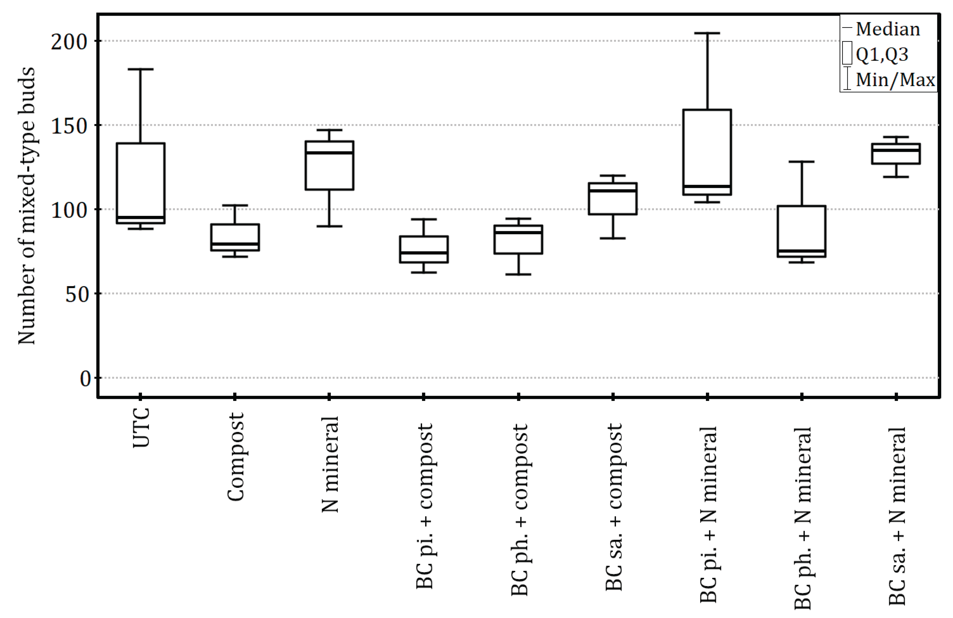
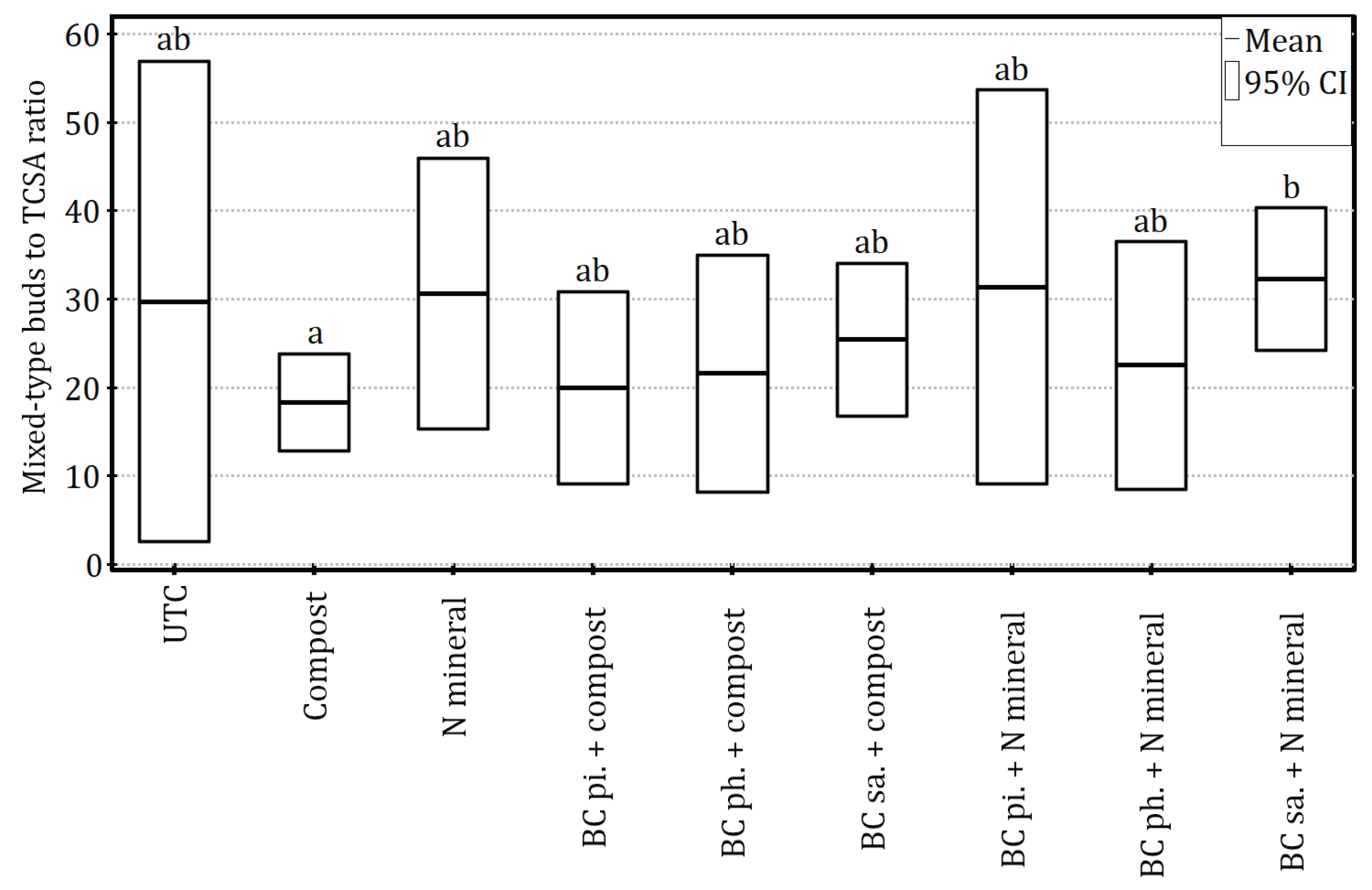
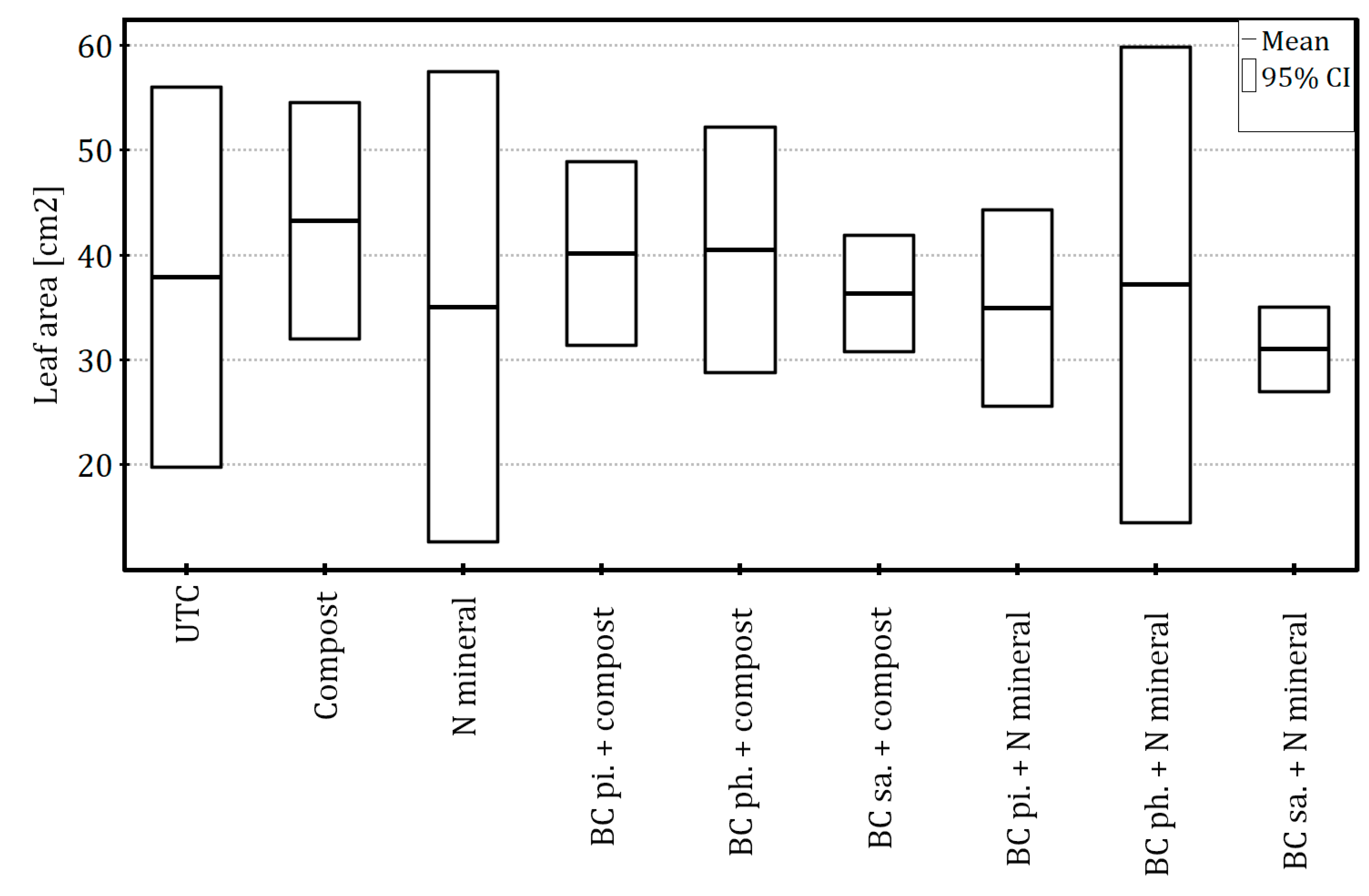
3. Results
| Original variable | PC1 | PC2 | PC3 |
| Trunk circumference | 0.76 | 0.35 | –0.20 |
| Total length of current-year shoots | 0.88 | 0.13 | –0.01 |
| Number of long shoots | 0.84 | 0.18 | –0.22 |
| Number of short shoots | –0.13 | 0.65 | 0.71 |
| Number of mixed-type buds | 0.29 | 0.74 | –0.05 |
| Leaf area | 0.68 | –0.54 | 0.29 |
| Leaf dry matter | 0.69 | –0.42 | 0.37 |
4. Discussion
5. Conclusions
Author Contributions
Funding
Data Availability Statement
Conflicts of Interest
References
- FAO. Production/Crops and livestock products. Available online: https://www.fao.org/faostat/en/#data/QCL (accessed on 1 October 2025).
- Musierowicz, A. Gleby lekkie Polski. Zesz. Probl. Postęp. Nauk Rol. 1956, 21, 49–55.
- Bieganowski, A.; Witkowska-Walczak, B.; Gliński, J.; Sokołowska, Z.; Sławiński, C.; Brzezińska, M.; Włodarczyk, T. Database of Polish arable mineral soils: A review. Int. Agrophys. 2013, 27, 335–350.
- Niewiadomski, A.; Tołoczko, W. Characteristics of soil cover in Poland with special attention paid to the Łódź region. In Natural Environment of Poland and its Protection in Łódź University Geographical Research. 1st ed.; Kobojek, E., Marszał, T., Eds.; Łódź University Press: Łódź, Poland, 2014; pp. 75–99.
- Piestrzeniewicz, C.; Sadowski, A.; Dziuban, R. Suitability of different dwarfing rootstocks for ‘Rubin’ apple trees grown in fertile soil. J. Fruit Ornam. Plant Res. 2009, 17, 53–62.
- Szczygieł, A.; Zepp, A. An occurrence and importance of apple replant disease in Polish orchards. Acta Hortic. 1998, 47, 99–102.
- Lehmann, J.; Joseph, S. Biochar for environmental management: An introduction. In Biochar for environmental management – science and technology. 1st ed.; Lehmann, J., Joseph, S., Eds.; Earthscan: London, UK, 2015; pp. 1–9.
- Das, S.K.; Ghosh, G.K.; Avasthe, R. Application of biochar in agriculture and environment, and its safety issues. Biomass Convers Biorefin. 2023, 13, 1359–1369.
- Chen, C.; Wang, R.; Shang, J.; Liu, K.; Irshad, M.K.; Hu, K; Arthur, E. Effect of biochar application on hydraulic properties of sandy soil under dry and wet conditions. Vadose Zone J. 2018, 17, 1–8.
- Mao, J.; Zhang, K.; Chen, B. Linking hydrophobicity of biochar to the water repellency and water holding capacity of bio-char-amended soil. Environ. Pollut. 2018, 253, 779–789.
- Akhtar, S.S.; Li, G.; Andersen, M.N.; Liu, F. Biochar enhances yield and quality of tomato under reduced irrigation. Agric. Water Manag. 2014, 138, 37–44.
- Altland, J.E.; Locke, J.C. Biochar affects macronutrient leaching from a soilless substrate. HortScience 2012, 47, 1136–1140.
- Ventura, M.; Sorrenti, G.; Panzacchi, P.; George, E.; Tonon, G. Biochar reduces short-term nitrate leaching from a horizon in an apple orchard. J. Environ. Qual. 2013, 42, 76–82.
- Nguyen, B.T.; Phan, B.T.; Nguyen, T.X.; Nguyen, V.N.; Tran, T.V.; Bach, Q.V. Contrastive nutrient leaching from two differently textured paddy soils as influenced by bio-char addition. J. Soils Sediments 2020, 20, 297–307.
- Igaz, D.; Šimanský, V.; Horák, J.; Kondrlová, E.; Domanová, J.; Rodný, M.; Buchkina, N.P. Can a single dose of biochar affect selected soil physical and chemical characteristics? J. Hydrol. Hydromech. 2018, 66, 421–428.
- Šimanský, V.; Horák, J.; Igaz, D.; Balashov, E.; Jonczak, J. Biochar and biochar with N fertilizer as a potential tool for improving soil sorption of nutrients. J. Soils Sediments 2018, 18, 1432–1440.
- Gholami, L.; Karimi, N.; Kavian, A. Soil and water conservation using biochar and various soil moisture in laboratory conditions. CATENA 2019, 182, 104151.
- Karhu, K.; Mattila, T.; Bergström, I.; Regina, K. Biochar addition to agricultural soil increased CH4 uptake and water holding capacity – Results from a short-term pilot field study. Agric. Ecosyst. Environ. 2011, 140, 309–313.
- Vaccari, F.P.; Baronti, S.; Lugato, E.; Genesio, L.; Castaldi, S.; Fornasier, F.; Miglietta, F. Biochar as a strategy to sequester carbon and increase yield in durum wheat. Eur. J. Agron. 2011, 34, 231–238.
- Bamminger, C.; Zaiser, N.; Zinsser, P.; Lamers, M.; Kammann, C.; Marhan, S. Effects of biochar, earthworms, and litter addition on soil microbial activity and abundance in a temperate agricultural soil. Biol. Fertil. Soils 2014, 50, 1189–1200.
- Wang, Y.; Pan, F.; Wang, G.; Zhang, G.; Wang, Y.; Chen, Y.; Mao, Z. Effects of biochar on photosynthesis and antioxidative system of Malus hupehensis Rehd. seedlings under replant conditions. Sci. Hortic. 2014, 175, 9–15.
- Atucha, A.; Litus, G. Effect of biochar amendments on peach replant disease. HortScience 2015, 50, 863–868.
- Wang, Y.; Ma, Z.; Wang, X.; Sun, Q.; Dong, H.; Wang, G.; Chen, X.; Yin, C.; Han, Z.; Mao, Z. Effects of biochar on the growth of apple seedlings, soil enzyme activities and fungal communities in replant disease soil. Sci. Hortic. 2019, 256, 108641.
- Zhao, L.; Cao, X.; Zheng, W.; Wang, Q.; Yang, F. Endogenous minerals have influences on surface electrochemistry and ion exchange properties of biochar. Chemosphere 2015, 136, 133–139.
- Tian, J.; Miller, V.; Chiu, P.C.; Maresca, J.A.; Guo, M.; Imhoff, P.T. Nutrient release and ammonium sorption by poultry litter and wood biochars in stormwater treatment. Sci. Total Environ. 2016, 553, 596–606.
- Wu, H.; Che, X.; Ding, Z.; Hu, X.; Creamer, A.E.; Chen, H.; Gao, B. Release of soluble elements from biochars derived from various biomass feedstocks. Environ. Sci. Pollut. Res. 2016, 23, 1905–1915.
- Tan, X.; Liu, Y.; Zeng, G.; Wang, X.; Hu, X.; Gu, Y.; Yang, Z. Application of biochar for the removal of pollutants from aqueous solutions. Chemosphere 2015, 125, 70–85.
- Ye, L.; Camps-Arbestain, M.; Shen, Q.; Lehmann, J.; Singh, B.; Sabir, M. Biochar effects on crop yields with and without fertilizer: A meta-analysis of field studies using separate controls. Soil Use Manag. 2020, 36, 2–18.
- Schmidt, H.P.; Kammann, C.; Hagemann, N.; Leifeld, J.; Bucheli, T.D.; Monedero, M.A.S.; Cayuela, M.L. Biochar in agriculture – A systematic review of 26 global meta-analyses. GCB Bioenergy 2021, 13, 1708–1730.
- Bai, S.H.; Omidvar, N.; Gallart, M.; Kämper, W.; Tahmasbian, I.; Farrar, M.B.; Singh, K.; Zhou, G.; Muqadass, B.; Xu, C.Y.; Koech, R.; Li, Y.; Nguyen, T.T.N.; van Zwieten, L. Combined effects of biochar and fertilizer applications on yield: A review and meta-analysis. Sci. Total Environ. 2022, 808, 152073.
- Li, W.; Gao, J.; Zhou, S.; Zhou, F. Effect of biochar on apple yield and quality in aged apple orchards on the Loess Plateau (China). Agronomy 2024, 14, 1125.
- Eyles, A.; Bound, S.A.; Oliver, G.; Corkrey, R.; Hardie, M.; Green, S.; Close, D.C. Impact of biochar amendment on the growth, physiology and fruit of a young commercial apple orchard. Trees 2015, 29, 1817–1826.
- Khorram, M.S.; Zhang, G.; Fatemi, A.; Kiefer, R.; Maddah, K.; Baqar, M.; Zakaria, M.P.; Li, G. Impact of biochar and compost amendment on soil quality, growth and yield of a replanted apple orchard in a 4-year field study. J. Sci. Food Agric. 2019, 99, 1862–1869.
- von Glisczynski, F.; Sandhage-Hofmann, A.; Amelung, W.; Pude, R. Biochar-compost substrates do not promote growth and fruit quality of a replanted German orchard with fertile Haplic Luvisol soils. Sci. Hortic. 2016, 213, 110–114.
- Van Oosten, H. Effect of initial tree quality on yield. Acta Hort. 1978, 65, 123–125.
- Dominguez, L.I.; Robinson, T.L. Benefits of irrigation or fertigation on early growth and yield of a high-density apple plantaing in a humid climate. HortTechnology 2024, 34, 747–760.
- Selyaninov, G.T. K metodike sel’skohozyaïstvennoï klimatografii. Trudy po Sel’skokhozyaïstvennoï Meteorologii 1928, 20, 165–177.
- Chmist-Sikorska, J.; Kępińska-Kasprzak, M.; Struzik, P. Agricultural drought assessment on the base of hydro-thermal coefficient of Selyaninov in Poland. Ital. J. Agrometeorol. 2022, 1, 3–12.
- Czynczyk, A.; Bielicki, P.; Bartosiewicz, B. Results of growing three apple cultivars grafted on a number of Polish and English rootstocks and their subclones. J. Fruit Ornam. Plant Res. 2009, 17, 73–83.
- Olivoto, T. Lights, camera, pliman! An R package for plant image analysis. Methods Ecol. Evol. 2022, 13, 789–798.
- Savin, N.E.; White, K.J. The Durbin-Watson test for serial correlation with extreme sample sizes or many regressors. Econometrica 1977, 45, 1989–1996.
- Frąc, M.; Sas-Paszt, L.; Sitarek, M. Influence of biochar on the vegetative and generative growth of ‘Meredith’ peach trees. Acta Sci. Pol. Hortorum Cultus 2022, 21, 61–69.
- Antonangelo, J.A.; Sun, X.; de Jesus Eufrade-Junior, H. Biochar impact on soil health and tree-based crops: a review. Biochar 2025, 7, 51.
- Wu, Y.; Sun, M.; Qi, Y.; Liu, S. Remobilization of storage nitrogen in young pear trees grafted onto vigorous rootstocks (Pyrus betulifolia). Horticulturae 2021, 7, 148.
- Lim, L.Y.; Lee, C.T.; Bong, C.P.C.; Lim, J.S.; Sarmidi, M.R.; Klemeš, J.J. A review on the impacts of compost on soil nitrogen dynamics. Chem. Eng. Trans. 2018, 63, 349–354.
- Neilsen, G.; Forge, T.; Angers, D.; Neilsen, D.; Hogue, E. Suitable orchard floor management strategies in organic apple orchards that augment soil organic matter and maintain tree performance. Plant Soil 2014, 378, 325–335.
- Wrona, D. Effect of nitrogen fertilization on growth, cropping and fruit quality of ‘Šampion’ apple trees during 9 years after planting. Folia Hortic. 2004, 16, 55–60.
- Wrona D. Response of young apple trees to nitrogen fertilization on two different soils. Acta Hortic. 2006, 721, 153–158.
- Wrona, D. The influence of nitrogen fertilization on growth, yield and fruit size of ‘Jonagored’ apple trees. Acta Sci. Pol. Hortorum Cultus 2011, 10, 3–10.
- Kowalczyk, W.; Wrona, D.; Przybyłko, S. Effect of nitrogen fertilization of apple orchard on soil mineral nitrogen content, yielding of the apple trees and nutritional status of leaves and fruits. Agriculture 2022, 12, 2169.
- Wu, Y.; Wang, X.; Zhang, L.; Zheng, Y.; Liu, X.; Zhang, Y. The critical role of biochar to mitigate the adverse impacts of drought and salinity stress in plants. Front. Plant Sci. 2023, 14, 1163451.
- Sani, M.N.H.; Hasan, M.; Uddain, J.; Subramaniam, S. Impact of application of Trichoderma and biochar on growth, productivity and nutritional quality of tomato under reduced N-P-K fertilization. Ann. Agric. Sci. 2020, 65, 107–115.











| Layer [cm] | Percentage distribution of soil particles by size (in mm) | |||||
| 2.0–1.0 | 1.0–0.1 | 0.10–0.05 | 0.05–0.02 | 0.02–0.002 | < 0.002 | |
| 0–20 | 0.06 | 43.88 | 16.31 | 20.34 | 16.44 | 2.97 |
| 20–40 | 0.12 | 49.94 | 14.67 | 17.88 | 14.79 | 2.60 |
| Soil parameter | Determination result |
Unit |
Method of determination |
|
| Plough layer | Subsoil layer | |||
| pH (in KCl) | 7.98 | 7.50 | n.a. 1 | potentiometric |
| Salinity | 0.37 | 0.27 | g KCl kg-1 | potentiometric |
| Total nitrogen | 0.10 | 0.07 | % DM 2 | according to Dumas |
| Phosphorus | 218.0 | 96.8 | mg kg-1 | according to Egner-Riehm, using ICP-OES 3 |
| Potassium | 396.0 | 116.0 | mg kg-1 | according to Egner-Riehm, using ICP-OES |
| Magnesium | 97.6 | 58.0 | mg kg-1 | according to Schachtschabel, using ICP-OES |
| Total carbon | 1.16 | 1.01 | % DM | according to Dumas |
| Organic matter | 2.00 | 1.73 | % DM | LOI 4 |
| Jan. | Feb. | Mar. | Apr. | May | Jun. | Jul. | Aug. | Sep. | Oct. | |
| Total precipitation [mm] | 27.8 | 14.2 |
14.1 |
36.3 |
72.7 |
100.5 |
63.4 |
112.0 |
22.0 |
17.7 |
| Average air temperature [ºC] | –0.9 | –0.8 |
3.9 |
6.4 |
12.2 |
19.7 |
20.8 |
17.2 |
14.8 |
10.0 |
| HTC 1 | n.a. 2 | n.a. | n.a. | n.a. | 1.92 | 1.70 | 0.98 | 2.10 | 0.50 | 0.57 |
| Percentage of fresh matter | Dry matter content [%] | ||||
| Total nitrogen1 | Phosphorus2 | Potassium3 | Calcium3 | Magnesium4 | |
| 1.30 | 0.26 | 0.60 | 0.74 | 0.06 | 77.38 |
|
Factor |
Regression coefficient b | |
| Value (95% CI) | p | |
| Method of biochar application | ||
| Not applied | Ref. 1 | Ref. |
| Plough incorporation | –0.38 (–4.36; 3.61) | .84 |
| Planting-hole application | –2.13 (–6.11; 1.86) | .28 |
| Surface application | 2.29 (–1.70; 6.28) | .25 |
| Compost application | ||
| Not applied | Ref. | Ref. |
| Applied | –0.45 (–5.53; 4.64) | .86 |
| Mineral nitrogen fertilisation | ||
| Not applied | Ref. | Ref. |
| Applied | 2.28 (–2.21; 7.95) | .25 |
|
Factor |
Regression coefficient b | |
| Value (95% CI) | p | |
| Method of biochar application | ||
| Not applied | Ref. 1 | Ref. |
| Plough incorporation | 0.02 (–0.08; 0.11) | .74 |
| Planting-hole application | –0.03 (–0.12; 0.07) | .55 |
| Surface application | 0.07 (–0.02; 0.17) | .14 |
| Compost application | ||
| Not applied | Ref. | Ref. |
| Applied | –0.12 (–0.25; –0.00) | < .05 |
| Mineral nitrogen fertilisation | ||
| Not applied | Ref. | Ref. |
| Applied | –0.01 (–0.14; 0.11) | .81 |
Disclaimer/Publisher’s Note: The statements, opinions and data contained in all publications are solely those of the individual author(s) and contributor(s) and not of MDPI and/or the editor(s). MDPI and/or the editor(s) disclaim responsibility for any injury to people or property resulting from any ideas, methods, instructions or products referred to in the content. |
© 2025 by the authors. Licensee MDPI, Basel, Switzerland. This article is an open access article distributed under the terms and conditions of the Creative Commons Attribution (CC BY) license (http://creativecommons.org/licenses/by/4.0/).
