Submitted:
30 September 2025
Posted:
01 October 2025
You are already at the latest version
Abstract
Keywords:
1. Introduction
2. Materials and Methods
2.1. Body Measurements
2.2. Bactrian Camel Observation for BCS
2.3. The Principle of Scoring
2.4. Statistical Analysis
3. Results
3.1. Body Dimensions of the Bactrian Camels
3.2. Body Condition Scoring
3.2.1. Photos of the “Examples” Corresponding to the Expected Scoring
3.3. Representation opf the Scoring by Draws
3.4. Description of the Scoring
4. Discussion
5. Conclusions
Author Contributions
Funding
Data Availability Statement
Acknowledgments
Conflicts of Interest
Abbreviations
References
- Abdallah; H.R., Faye; B.. Phenotypic classification of Saudi Arabian camel (Camelus dromedarius) by their body measurements. Emirates J Food Agric. 2012, 24(3), 272-280, https://www.ejfa.me/index.php/journal/article/view/871.
- Belkhir; A.O., Chehma; A., Faye; B. Phenotypic variability of two principal Algerian camel’s populations (Targui and Sahraoui). Emir. J. Food Agric., 2013, 25(3), 231-237. [CrossRef]
- Boujenane; I., El Khattaby; N., Laghouaouta; H. Badaoui; B., Piro; M. Morphological diversity of female camel (Camelus dromedarius) populations in Morocco. Trop Anim Health Prod., 2019, 51(6), 1367-1373. [CrossRef]
- Chniter; M., Hammadi; M., Khorchani; T., Krit; R., Benwahada; A., Ben Hamouda; M.. Classification of Maghrebi camels (Camelus dromedarius) according to their tribal affiliation and body traits in southern Tunisia. Animal Sci. Emir. J. Food Agric. 2013, 25(8), 625-634. [CrossRef]
- Diop; A.K., Chrif Ahmed; M.S., Biya; M.B., Lemine Haki; M., Konuspayeva; G., Faye; B.. Comparaison des phénotypes camelins de Mauritanie aux écotypes d’Afrique et d’Asie. Rev. Elev. Méd. Vét. Pays Trop., 2020, 73(4), 247-254. [CrossRef]
- Martini; P., Schmid; P., Costeur; L. Comparative morphometry of Bactrian camel and dromedary. J Mammal. Evol., 2018, 25(3), 407-425. [CrossRef]
- Zhao; X.X. Types and breeds of the Chinese Bactrian camel (Camelus bactrianus). Rev. Elev. Méd. Vét. Pays Trop.,, 1998, 51, 345-352.
- Makhdoomi; D.M., Gazi; M.A., Ul Nabi ; S., Ahmed; S. Morphometric studies on adult double humped camel of Ladakh, India. Emir. J. Food Agric., 2013, 25(7), 544-548. [CrossRef]
- Nurseitova; M., Jurjanz; S., Toregozhina; Z., Konuspayev; G., Faye, B. Estimation of body and hump weight of Bactrian camels. Veterinaria, 2015, 42(2), 452-453 (Proc. Of the 4th Conference of the International Society of Camelid Research and Development/ISOCARD2015, 8-12/06/2015, Almaty, Kazakhstan).
- Brown, C. L.; Nielson, R. M.; Clark, D.; Kennedy, R.; Loonam, K.; Rowland, M. M.; Wisdom, M. J. Drought-linked resource limitations on the body condition of a large ungulate. Front. Ecol. Evol., 2025, 13, 1584866. [CrossRef]
- Ferguson, J.D.; Azzaro, G.; Licitra, G. Body condition assessment using digital images. J. Dairy Sci. 2006, 89(10), 3833–3841. [CrossRef]
- Lowman, B.G.; Scott, N.A.; Somervalle, S.H. Condition scoring of cattle. East of Escotland College of Agriculture, Edinburgh, 1976, 1–13.
- Pullan, N.B. Condition scoring of White Fulani cattle. Trop. Anim. Health Prod. 1978, 10, 118–120. [CrossRef]
- Vall, E.; Meyer, C.; Abakar, O.; Dongmo Ngoutsop, A.L. Notes d’état corporel des zébus de trait. Un outil simple pour piloter leur alimentation. Fiche technique traction animale, 2002 , n° 13, PRASAC, N’Djaména, Tchad. https://agritrop.cirad.fr/514399/.*.
- Bocquier, F.; Guillouet, P.; Barillet, F.; Chilliard, Y. Comparison of three methods for the in vivo estimation of body composition in dairy ewes. Ann. Zootech., 1999, 48, 297–308? https://halscience/hal-00889 803v1.
- Imadine, M. Mise au point d’une grille de notation de l’état corporel des caprins du Sahel. Mémoire DESS productions animales en régions chaude. CIRAD-EMVT, Maisons-Alfort, France, 1991, https://agritrop.cirad.fr/318024/.
- Banse, H.E., McFarlane, D. Comparison of three methods for evaluation of equine insulin regulation in horses of varied body condition score. J. Equine Vet., 2014, 34, 742–748. [CrossRef]
- Vall. E.; Ebangi. A.L.; Abakar. O. Mise au point d’une grille de notation de l’état corporel des ânes de trait au Nord Cameroun. Rev. Élev. Méd. Vét. Pays Trop., 2001, 54(3–4), 255–262. [CrossRef]
- Ezenwa, V.O.; Jolles, A.E.; O’Brien, M.P. A reliable body condition scoring technique for estimating condition in African buffalo. Afr. J. Ecol., 2009, 47, 476–481. [CrossRef]
- Vall, E.; Blanchard, M.; Sib, O.; Cormary, B.; González-García, E. Standardized body condition scoring system for tropical farm animals (large ruminants, small ruminants, and equines). Trop. Anim. Health Prod., 2025 57(2), 1-21. [CrossRef]
- Wagener; M.G., Ganter; M., Leonhard-Marek; S. Body condition scoring in alpacas (Vicugna pacos) and llamas (Lama glama) – a scoping review. Vet. Res. Commun., 2024, 48, 665–684. [CrossRef]
- Faye, B.; Bengoumi, M.; Messad, S.; Chilliard, Y. Fat storage and adipocyte patterns in camel: a tool for management of reproduction. Adv. Reprod., 2001, 5, issue 3, 10c.
- Faye, B.; Bengoumi, M.; Messad, S.; Chillard, Y. Estimation des réserves corporelles chez le dromadaire. Rev. Élev. Méd. Vét. Pays Trop., 2002, 55(1), 69–78. [CrossRef]
- Feldmuller; M., Gee; P., Pitt; J., Feujerherdt; L.(Eds). Best practice camel book. Edition 1. Prepared for the South Australian State feral camel management project. Rural Solution South Australia, Adelaide, 2012, 121 pp.
- Pastrana ; C.I., Navas; F.J., Ciani; E., Arbulu; A.A., González; A., Marín; C., Nogales; S., Bermejo; J.V.D. Zoometric characterization and body condition score in Canarian camel breed. Archiv. Zootec., 2020, 69(265), 102-107, https://www.uco.es/ucopress/az/index.php/az/.
- Kamili, A.; Bengoumi, M.; Faye, B. Assessment of body condition and body composition in camel by barymetric measurements. J. Camel Pract. Res., 2006, 13(1), 67-72.
- Terentyev; S.M. Meat productivity. In: Camel rearing (Ed. S.M. Terentyev), Kolos Publ., Moscow, 1975, 105-124 [in Russian].
- Akhmetsadykova, Sh.; Shertay, E.; Konuspayeva, G.; Torekhanov, A.; Faye, B. Phenotypic biodiversity characterization of dromedary camels and hybrids in Kazakhstan. Trop. Anim. Hlth. Prod., 2023, 55, 79. [CrossRef]
- Hoshino, B.; Morioka, S.; Hasegawa, N.; Sugawara, M.; Imamura, K.; Ishii, S.; Saitou, N.; Salmurzauli, R.; Nurtazin, S.; Hashimoto, K. A New Methodology for the Evaluation of Ecological Characteristic of the Camel-A case Study of Climate Change and Breeding of Camel. J. Arid Land Stud., 2017, 26(4), 213-217. [CrossRef]
- Lamo; D., Gahlawat; G., Kumar; S., Bharti; V.K., Ranjan; P., Kumar; D., Chaurasia. O.P. Morphometric, haematological and physio-biochemical characterization of Bactrian (Camelus bactrianus) camel at high altitude. BMC Vet. Res., 2020, 16, 291. [CrossRef]
- Wurihan; H., Batsaikhan; T., Amu; G. Morphometric study on the gobi red bull Bactrian camel. J. Camel Pract. Res., 2022, 29(1), 67-72. [CrossRef]
- Baimukanov; A.. Two-humped camel (chapter 8). In: “ Animal genetic resources of the USSR”, N.G. Dmitriev and L.K. Ernst (Eds), FAO animal production and health paper 65, Rome (Italy), 1989, 380-385.
- Faye, B. Body condition score in dromedary camel [in Arabic]. Technical leaflet. Camel project, Al-Kharj, project UTF/SAU/044/SAU, FAO publ., Riyadh, 1-12, 2013.
- Terenytev C.M., Camel farming [Verbludov skotovodstvo], Kolos Publisher, Moscow, Russia, 1975.
- Roche; J. R., Kay; J. K., Friggens; N. C., Loor; J. J. Berry; D.P. Assessing and managing body condition score for the prevention of metabolic disease in dairy cows. Vet. Clin. : Food Anim. Pract., 2013, 29(2), 323-336. [CrossRef]
- López-Gatius; F., Yániz; J., Et Madriles-Helm; D. Effects of body condition score and score change on the reproductive performance of dairy cows: a meta-analysis. Theriogenology, 2003, 59(3-4), 801-812. [CrossRef]
- Lassen; J., Hansen; M., Sørensen, M.K., Aamand; G.P., Christensen; L.G., Madsen; P. Genetic relationship between body condition score, dairy character, mastitis, and diseases other than mastitis in first-parity Danish Holstein cows. J. Dairy Sci., 2003, 86(11), 3730-3735. [CrossRef]
- Bradosty; S.W., Maigari; A.K. Dabo; N.T., Ibrahim S. Application of Body Condition Scorings to Effective Detection of African Trypanosomiasis in Camels and Cattle. In: 4th International Conference on Biological & Health Sciences (CIC-BIOHS’2022), 28-29/03/2022, Cihan University-Erbil, 2222, 138-148. [CrossRef]
- Woma; T.Y., Kalla; D.J.U., Ekong; P.S., Ularamu; H.G., Chollom; S.C., Lamurde; I.I., Bajehson; D.B., Tom; N.D., Aaron; G.B., Shamaki; D., Bailey; D., Diallo; A., Quan; M. Serological evidence of camel exposure to peste des petits ruminants virus (PPRV) in Nigeria. Trop. Anim. Health Prod., 2015, 47, 603–606. [CrossRef]
- Menchetti, L. ; Faye, B.; Padalino, B. New animal-based measures to assess welfare in dromedary camels. Trop. Anim. Hlth Prod., 2021, 53, 533. [CrossRef]
- Roche; J. R., Friggens; N.C., Kay; J.K., Fisher; M.W., Stafford; K.J., Berry; D.P. Invited review: Body condition score and its association with dairy cow productivity, health, and welfare. J. dairy Sci., 2009, 92(12), 5769-5801. [CrossRef]
- Emsen; E., Almansoori; S.S.M. Assessing Welfare of Camels in a Semi-Intensive Farming System: A Case Study from Abu Dabi-United Arab Emirates. Anim. Sci. Cases, 2025, n°2025, ascs20250021. [CrossRef]
- Gherissi; D.E., Afri-Bouzebda; F., Bouzebda; Z., Bonnet ; X. Are female camels capital breeders? Influence of seasons, age, and body condition on reproduction in an extremely arid region. Mamm. Biol., 2018, 93, 124–134. [CrossRef]
- Hussein; M.M., El-Agawany; A.A., Amin; K. Ovarian activity of she-camel (Camelus dromedarius) in relation to season, hormonal pattern, age and body condition scores. J. Vet. Med. Res., 2008, 18(2), 1-9. [CrossRef]
- Almundarij; T.I. Relationships between age, breed, body condition score, lipogram and antioxidant parameters in female dromedary camels with reproductive abnormalities. Adv. Anim. Vet. Sci., 2024, 12(1), 99-106. [CrossRef]
- Seid; A., Kurtu; M.Y., Urge; M. Age and body condition effects on meat quality of camels (Camelus dromedarius) in eastern Ethiopia. Anim. Prod. Sci., 2018, 59(5), 965-971. [CrossRef]
- RNED bovin, 1984. Grille de notation de l’état d’engraissement des vaches pie noires. S. Bazin (Ed.), ITEB publ., Paris, 31 p.
- Indra, P.; Maratch, A.; Batsour, L. The Mongol camel [in Mongol]. Ulaanbator (Mongolia), 2003, 236 p.
- Faye; B., Bengoumi; M., Messad; S., Chilliard; Y. Estimation des réserves corporelles chez le dromadaire. Rev. Elev. Med. Vét. Pays Trop., 2002, 55(1), 69-78. [CrossRef]
- Iglesias Pastrana; C., Navas González; F.J., Ciani; E., Nogales Baena; S., Delgado Bermejo; J.V. Camel genetic resources conservation through tourism: a key sociocultural approach of camelback leisure riding. Animals, 2020, 10(9), 14-21, https://www.uco.es/ucopress/az/index.php/az/.
- Bolormaa, T.; Burenjargal, S,; Sandagdorj, B.; Chantsal, B.; Ochirkhuu, N.; Gerelt-Od, S.; Nyam-Osor, P. The role and significance of two-humped camels in Mongolia: adaptability, economic impact, and cultural importance. Past. Res. Pol. Pract., 2025, 15, 14289. [CrossRef]
- Liu, C.; Chen, H.; Ren, Z.; Zhang, C.; & Yang, X. Population genetic analysis of the domestic Bactrian camel in China by RAD-seq. Ecol. Evol., 2019, 9(19), 11232-11242. [CrossRef]
- Dioli, M. Dromedary (Camelus dromedarius) and Bactrian camel (Camelus bactrianus) crossbreeding husbandry practices in Turkey and Kazakhstan: An in-depth review. Past. Res. Pol. Pract, 2020, 10(1), 6. [CrossRef]
- Faye, B.; Konuspayeva, G. The Encounter between Bactrian and Dromedary Camels in Central Asia. In: Camels in Asia and North-Africa- Interdisciplinary perspectives on their past and present significance, Knoll E-M. and Burger P. (Eds), Austrian Academy of Sciences press, Wien (Austria), 2012, 27-33.
- Le Cozler; Y., Allain; C., Caillot; A., Delouard; J. M., Delattre; L., Luginbuhl; T., Faverdin; P. High-precision scanning system for complete 3D cow body shape imaging and analysis of morphological traits. Comput. Electron. Agric., 2019, 157, 447-453. [CrossRef]
- Allain; C., Caillot; A., Depuille; L. ; Delouard; J. M. ; Delattre; L., Luginbuhl; T., Lassalas; J., Faverdin; P., Le Cozler; Y. Morpho3D-Utilisation d’un dispositif d’imagerie en 3D pour modéliser la forme complète de bovins laitiers et mesurer des paramètres morphologiques, le volume et la surface corporelle. Innov. Agronom., 2021, 82, 215-228. [CrossRef]
- Çağlı; A., Yılmaz; M. Determination of some body measurements of camels with three-dimensional modelling method (3D). Trop. Anim. Health Prod., 2021, 53(6), 554-574. [CrossRef]
- Meghelli; I., Kaouadji; Z., Yilmaz; O., Cemal; I., Karaca; O., Gaouar; SBS. Morphometric characterization and estimating body weight of two Algerian camel breeds using morphometric measurements. Trop. Anim. Health Prod., 2020, 52(5), 2505-2512. [CrossRef]











| Agegroup | HeadL | NeckL | NeckC | HeightW | ChestC | LengthFL | BodyL |
| OA | 481.3 c | 1136.9 d | 909.1 c | 1877.9 c | 2235.7 d | 1514.4 d | 1463.3 c |
| AD | 463.4 b | 1095.8 c | 884.4 b | 1813.2 b | 2121.3 c | 1449.5 c | 1356.6 b |
| SA | 459.3 b | 1018.7 b | 882.1 b | 1785.5 b | 2016.8 b | 1406.7 b | 1395.7 b |
| YC | 435.2 a | 909.8 a | 810.7 a | 1680.3 a | 1908.4 a | 1316.2 a | 1318.5 a |
| Total | 459.6±46.1 | 1048.3±139.8 | 871.0±85.1 | 1790.0±131.2 | 2078.3±195.4 | 1424.2±145.7 | 1373.9±156.1 |
| % Increase | 10.6 | 25.0 | 12.1 | 11.8 | 17.2 | 15.1 | 11.0 |
| P | <0.0001 | <0.0001 | <0.0001 | <0.0001 | <0.0001 | <0.0001 | <0.0001 |
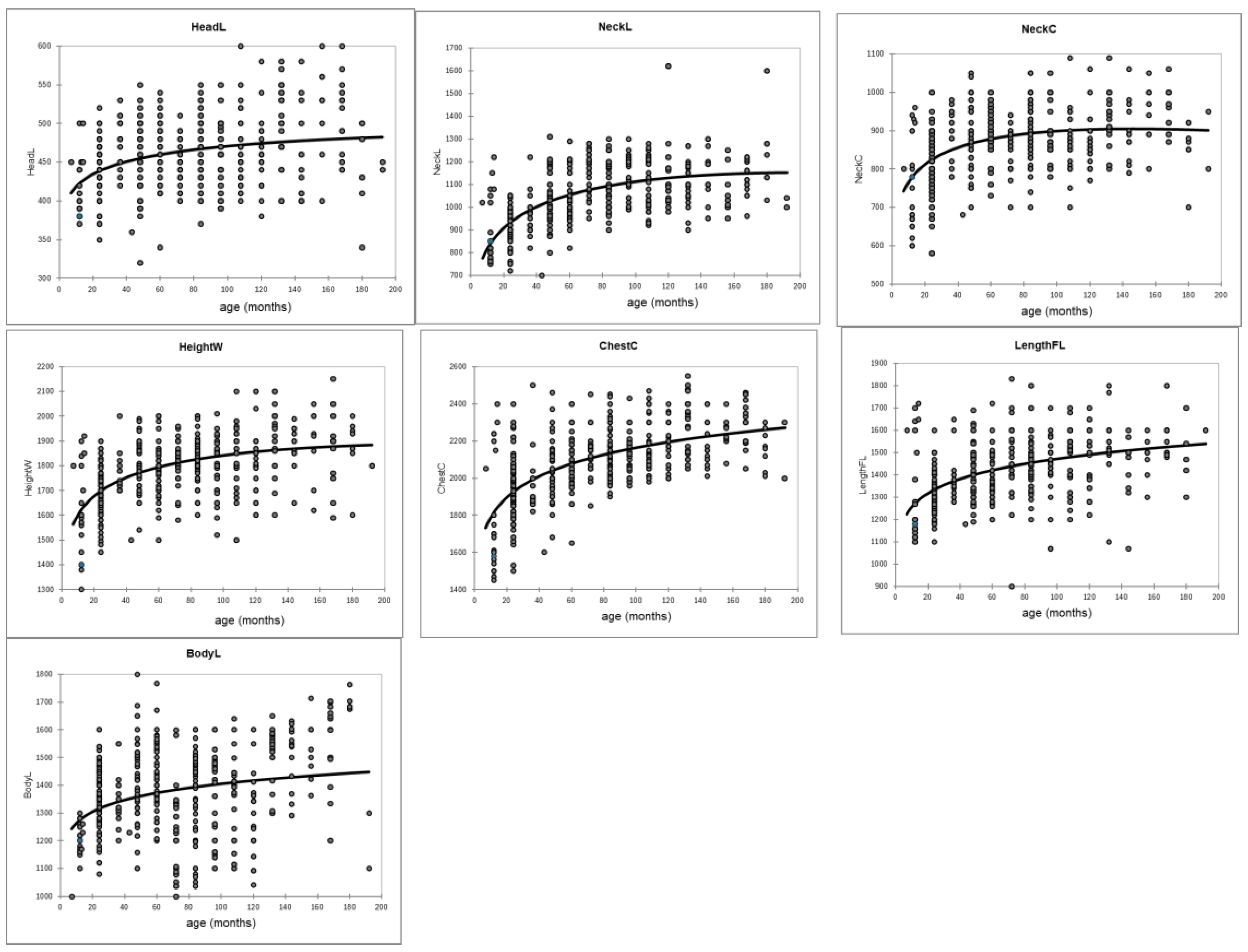
| Parameter | Beta-growth equation |
| HeadL | HeadL = 488.7*(1+(399-age)/7040)*(age/399)0.056 |
| NeckL | NeckL = 1153,6*(1+(203-age)/1265)*(age/203)0.16 |
| NeckC | NeckC = 904*(1+(146-age)/1568)*(age/146)0.093 |
| HeightW | HeightW = 1892*(1+(271-age)/3856*(age/271)0.070 |
| ChestC | ChestC = 2430.5*(1+(908-age)/10498)*(age/908)0.086 |
| LengthFL | LengthFL = 1871*(1+(7861-age)/112262)*(age/7861)0.070 |
| BodyL | BodyL = 1709*(1+(17451-age)/374834)*(age/17451)0.046 |
| Region | HeadL | NeckL | NeckC | HeightW | ChestC | LengthFL | BodyL |
| Zhetisu | 494.9 b | 1009.3 a | 939.0 c | 1816.2 a | 2025.9 a | 1394.0 a | 1456.9 b |
| Atyrau1 | 490.4 b | 1057.3 b | 914.6 b | 1894.9 b | 2282.4 c | 1581.5 b | 1354.0 a |
| Atyrau2 | 448.0 a | 1189.0 c | 860.5 a | 1810.0 a | 2132.0 b | 1426.6 a | 1384.3 a |
| Turkestan | 438.0 a | 1175.5 c | 854.7 a | 1782.4 a | 2122.4 b | 1427.8 a | 1399.0 a.b |
| TOTAL | 469.2±46.6 | 1109.1±116.5 | 892.4±71.4 | 1834.1±115.9 | 2158.3±145 | 1470.5±134.8 | 1391.1±169.1 |
| P value | <0.0001 | <0.0001 | <0.0001 | <0.0001 | <0.0001 | <0.0001 | 0.003 |
| a,b,c,dThe values with different subscripts in column differ significantly | |||||||
| Class Parameter |
Class3 n=53 |
Class1 n=113 |
Class4 n=52 |
Class2 n=79 |
P< |
| HeadL | 533.4 c | 441.6 a | 455.0 b | 449.2 a,b | <0.0001 |
| NeckL | 1055.5 b | 1120.4 c | 962.4 a | 1192.7 d | <0.0001 |
| NeckC | 971.9 c | 868.4 b | 858.4 a,b | 843.8 a | <0.0001 |
| HeightW | 1965.1 d | 1783.8 b | 1739.4 a | 1829.7 c | <0.0001 |
| ChestC | 2340.8 d | 2180.6 c | 1958.8 a | 2107.1 b | <0.0001 |
| LengthFL | 1519.6 b | 1551.9 b | 1359.8 a | 1366.8 a | <0.0001 |
| BodyL | 1535.9 d | 1261.1 a | 1368.3 b | 1443.0 c | <0.0001 |
| Atyrau1 | 45.8% | 52.1% | 0% | 2.1% | <0.0001 |
| Atyrau2 | 1.1% | 41.5% | 3.2% | 54.3% | <0.0001 |
| Turkestan | 2.0% | 49.0% | 0% | 49.0% | <0.0001 |
| Zhetisu | 12.1% | 0% | 84.5% | 3.45% | <0.0001 |
![]() |
| Hump shape | Description | Denomination | Translation |
![]() |
Two humps well erected | Туг ширээ | Tug chyréé |
![]() |
Raised front hump Rear hump flexed on the right side |
сoёo | Soyo |
![]() |
Front hump flexed forward and rear hump flexed backward | Сoлбин ширээ | Solbyn chiréé |
![]() |
The two empty humps flexed on the left side | Зэв Буруy лөг | Zev Bourou leg |
![]() |
The two humps flexed on the right side | Ханан | Khanan |
![]() |
Front hump flexed backward and rear hump flexed forward | Дoтoгуйoo чачир | Dotoguyoo chachyr |
![]() |
Front hump flexed forward and rear hump flexed backward | Гадагчаа чачир | Gadagchaa chachyr |
![]() |
Front empty hump flexed forward and asymmetric erected rear hump | Хoйт бoх чачир | Khoyt bokh chachyr |
![]() |
Font hump moving forward and symmetric erected rear hump | Урд бoх чачир, хoйт чирээ | Ourd bokh chachyr, khoyt chiréé |
![]() |
Front empty hump flexed on the right side and rear erected hump, flexed backward |
Урд бөх лөг, хoйт бөх Ханан |
Ourd bokh leg, khoyt bokh khanan |
![]() |
Front empty hump flexed on the right side and well erected rear hump | Сoлбын сoёo чирээ | Solbyn soyo chiréé |
![]() |
Front erected hump flexed forward and empty rear hump flexed on the left side | Урд бөх сoлбын, хoйт бөх лөг | Ourd bokh solbyn, khoyut bokh leg |
Disclaimer/Publisher’s Note: The statements, opinions and data contained in all publications are solely those of the individual author(s) and contributor(s) and not of MDPI and/or the editor(s). MDPI and/or the editor(s) disclaim responsibility for any injury to people or property resulting from any ideas, methods, instructions or products referred to in the content. |
© 2025 by the authors. Licensee MDPI, Basel, Switzerland. This article is an open access article distributed under the terms and conditions of the Creative Commons Attribution (CC BY) license (http://creativecommons.org/licenses/by/4.0/).













