Submitted:
06 February 2026
Posted:
09 February 2026
You are already at the latest version
Abstract

Keywords:
1. Introduction
2. Materials and Methods
2.1. Starch
2.2. Plasticizers and Additives
2.3. Reinforcing Compounds
2.4. Conditioning of Raw Materials
2.5. Characterization of Amazonian Starch
2.6. Formulation and Premixing to Produce Films
2.6.1. Technical Constraints and Selection Criteria
2.6.2. Component Mixing Process
2.7. Extrusion-Pelletization
2.8. Film Extrusion
2.9. Making of Pouches
2.10. Film Characterization
2.11. Statistical Analysis
3. Results and Discussion
3.1. Starch Characterization
3.2. Conditioning of Starch, Formulation, and Pellet Formation
3.3. Sheet Extrusion and Bag Formation
3.4. Film Characterization
3.4.1. Infrared Spectroscopy (IR) of the Films
3.4.2. Surface and Cross-Sectional Morphology by SEM
3.4.3. Thickness, Color, and Transparency
3.4.4. Permeability and Adsorption of Water Vapor
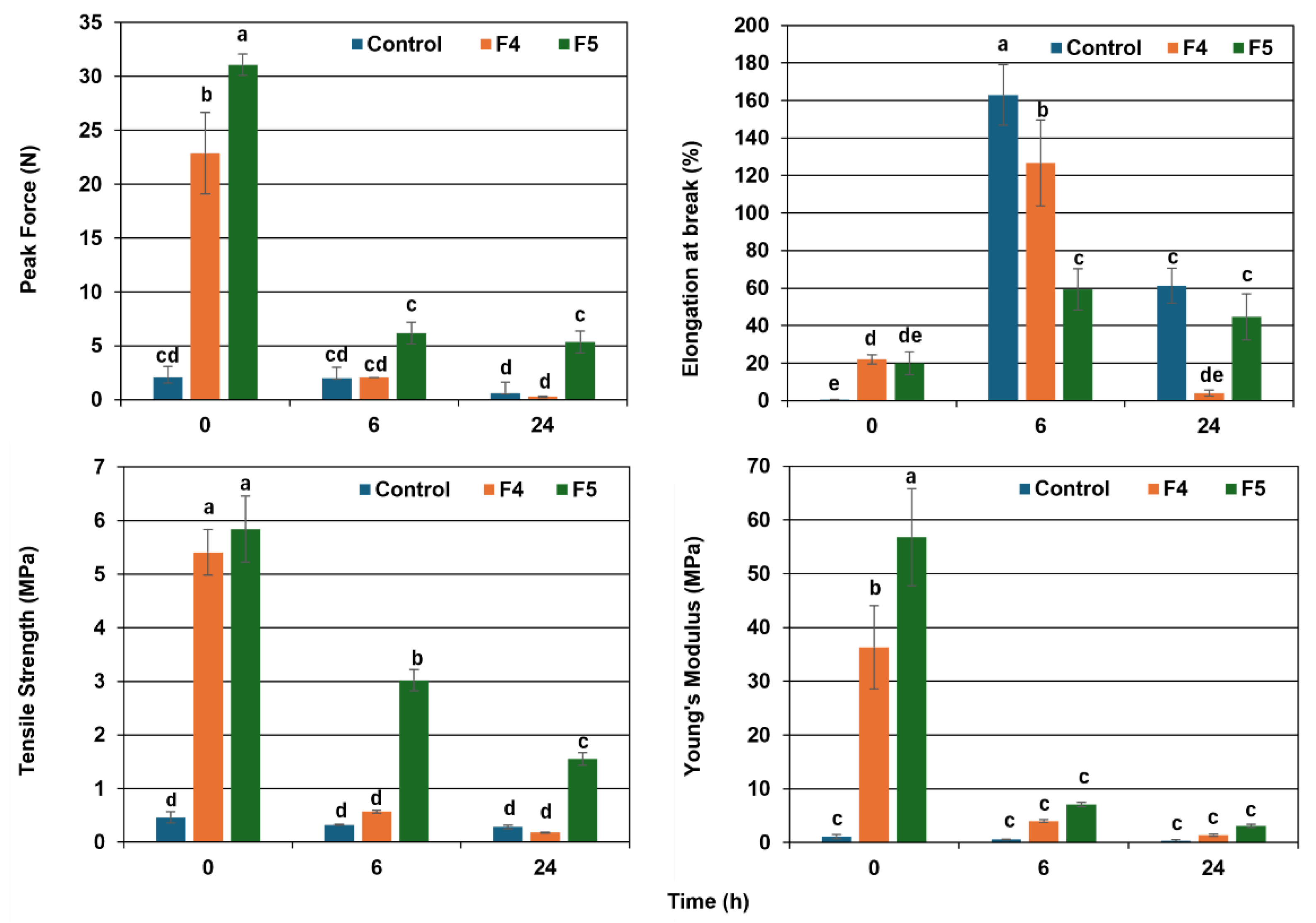
3.4.5. Mechanical Properties
4. Conclusions
Author Contributions
Funding
Institutional Review Board Statement
Data Availability Statement
Acknowledgments
References
- Asgher, M.; Qamar, S.A.; Bilal, M.; Iqbal, H.M.N. Bio-Based Active Food Packaging Materials: Sustainable Alternative to Conventional Petrochemical-Based Packaging Materials. Food Research International 2020, 137, 109625. [Google Scholar] [CrossRef]
- Cazón, P.; Velazquez, G.; Ramírez, J.A.; Vázquez, M. Polysaccharide-Based Films and Coatings for Food Packaging: A Review. Food Hydrocolloids 2017, 68, 136–148. [Google Scholar] [CrossRef]
- Dutta, D.; Sit, N. Comprehensive Review on Developments in Starch-Based Films along with Active Ingredients for Sustainable Food Packaging. Sustainable Chemistry and Pharmacy 2024, 39, 101534. [Google Scholar] [CrossRef]
- Bartolucci, L.; Cordiner, S.; De Maina, E.; Kumar, G.; Mele, P.; Mulone, V.; Igliński, B.; Piechota, G. Sustainable Valorization of Bioplastic Waste: A Review on Effective Recycling Routes for the Most Widely Used Biopolymers. IJMS 2023, 24, 7696. [Google Scholar] [CrossRef]
- Garavito, J.; Peña-Venegas, C.P.; Castellanos, D.A. Production of Starch-Based Flexible Food Packaging in Developing Countries: Analysis of the Processes, Challenges, and Requirements. Foods 2024, 13, 4096. [Google Scholar] [CrossRef] [PubMed]
- Polman, E.M.N.; Gruter, G.-J.M.; Parsons, J.R.; Tietema, A. Comparison of the Aerobic Biodegradation of Biopolymers and the Corresponding Bioplastics: A Review. Science of The Total Environment 2021, 753, 141953. [Google Scholar] [CrossRef]
- Schmidt, V.C.R.; Blanco-Pascual, N.; Tribuzi, G.; Laurindo, J.B. Effect of the Degree of Acetylation, Plasticizer Concentration and Relative Humidity on Cassava Starch Films Properties. Food Sci. Technol 2019, 39, 491–499. [Google Scholar] [CrossRef]
- V. Capparelli, M.; Cabrera, M.; Rico, A.; Lucas-Solis, O.; Alvear-S, D.; Vasco, S.; Galarza, E.; Shiguango, Lady; Pinos-Velez, V.; Pérez-González, A.; et al. An Integrative Approach to Assess the Environmental Impacts of Gold Mining Contamination in the Amazon. Toxics 2021, 9, 149. [Google Scholar] [CrossRef]
- Chota-Macuyama, W.; Chong Mendoza, J. PRIMER REGISTRO DE INGESTIÓN DE MICROPLÁSTICOS POR UN PEZ DE IMPORTANCIA COMERCIAL EN LA CIUDAD DE IQUITOS, AMAZONIA PERUANA. Folia Amaz 2020, 29, 179–188. [Google Scholar] [CrossRef]
- Urbanski, B.Q.; Denadai, A.C.; Azevedo-Santos, V.M.; Nogueira, M.G. First Record of Plastic Ingestion by an Important Commercial Native Fish (Prochilodus Lineatus) in the Middle Tietê River Basin, Southeast Brazil. Biota Neotrop. 2020, 20, e20201005. [Google Scholar] [CrossRef]
- Lenoir, A.; Boulay, R.; Dejean, A.; Touchard, A.; Cuvillier-Hot, V. Phthalate Pollution in an Amazonian Rainforest. Environ Sci Pollut Res 2016, 23, 16865–16872. [Google Scholar] [CrossRef] [PubMed]
- Alencastre-Santos, A.; Silva, D.; Ribeiro-Brasil, D.; Correia, L.; Garcia, M.; Vieira, T. Microplastic Contamination in Amazon Vampire Bats (Desmodontinae: Phyllostomidae). Diversity 2024, 17, 31. [Google Scholar] [CrossRef]
- Gonçalves, E.M.; Silva, M.; Andrade, L.; Pinheiro, J. From Fields to Films: Exploring Starch from Agriculture Raw Materials for Biopolymers in Sustainable Food Packaging. Agriculture 2024, 14, 453. [Google Scholar] [CrossRef]
- Canales, N.; Trujillo, M. The Cassava Value Web and Its Potential for Colombia’s Bioeconomy; Stockholm Environment Institute, 2023. [Google Scholar]
- Rosenthal, D.M.; Ort, D.R. Examining Cassava’s Potential to Enhance Food Security Under Climate Change. Tropical Plant Biol. 2012, 5, 30–38. [Google Scholar] [CrossRef]
- Vilpoux, O.F.; De Oliveira Guilherme, D.; Pascoli Cereda, M.; Hershey, C. Cassava Cultivation in Latin America. In Burleigh Dodds Series in Agricultural Science; Catholic University of Campo Grande: Brazil, formerly International Center for Tropical Agriculture (CIAT), Colombia, Catholic University of Campo Grande, Brazil, Catholic University of Campo Grande, Brazil; Burleigh Dodds Science Publishing, 2017; pp. 149–174. ISBN 978-1-78676-000-5. [Google Scholar]
- Orjuela-Baquero, N.M.; Hernández, M.S.; Carrillo, M.; Fernández-Trujillo, J.P. Diversity of Roots and Tubers Cultivated in Traditional Chagras from the Colombian Amazon. Acta Hortic. 2016, 95–102. [Google Scholar] [CrossRef]
- Chisenga, S.M.; Workneh, T.S.; Bultosa, G.; Alimi, B.A. Progress in Research and Applications of Cassava Flour and Starch: A Review. J Food Sci Technol 2019, 56, 2799–2813. [Google Scholar] [CrossRef]
- Rashwan, A.K.; Younis, H.A.; Abdelshafy, A.M.; Osman, A.I.; Eletmany, M.R.; Hafouda, M.A.; Chen, W. Plant Starch Extraction, Modification, and Green Applications: A Review. Environ Chem Lett 2024. [Google Scholar] [CrossRef]
- Iacovone, C.; Yulita, F.; Cerini, D.; Peña, D.; Candal, R.; Goyanes, S.; Pietrasanta, L.I.; Guz, L.; Famá, L. Effect of TiO2 Nanoparticles and Extrusion Process on the Physicochemical Properties of Biodegradable and Active Cassava Starch Nanocomposites. Polymers 2023, 15, 535. [Google Scholar] [CrossRef]
- Kim, H.; Lamsal, B.; Jane, J.; Grewell, D. Sheet-extruded Films from Blends of Hydroxypropylated and Native Corn Starches, and Their Characterization. J Food Process Engineering 2020, 43, e13216. [Google Scholar] [CrossRef]
- Onyeaka, H.; Obileke, K.; Makaka, G.; Nwokolo, N. Current Research and Applications of Starch-Based Biodegradable Films for Food Packaging. Polymers 2022, 14, 1126. [Google Scholar] [CrossRef]
- Singh, G.; Bangar, S.; Yang, T.; Trif, M.; Kumar, V.; Kumar, D. Effect on the Properties of Edible Starch-Based Films by the Incorporation of Additives: A Review. Polymers 2022, 14. [Google Scholar] [CrossRef] [PubMed]
- Żołek-Tryznowska, Z.; Kałuża, A. The Influence of Starch Origin on the Properties of Starch Films: Packaging Performance. Materials 2021, 14, 1146. [Google Scholar] [CrossRef]
- Méité, N.; Konan, L.K.; Tognonvi, M.T.; Oyetola, S. Effect of Metakaolin Content on Mechanical and Water Barrier Properties of Cassava Starch Films. South African Journal of Chemical Engineering 2022, 40, 186–194. [Google Scholar] [CrossRef]
- Betancur-D´Ambrosio, M.C.; Pérez-Cervera, C.E.; Barrera-Martinez, C.; Andrade-Pizarro, R. Antimicrobial Activity, Mechanical and Thermal Properties of Cassava Starch Films Incorporated with Beeswax and Propolis. J Food Sci Technol 2024, 61, 782–789. [Google Scholar] [CrossRef] [PubMed]
- Mali, S.; Sakanaka, L.S.; Yamashita, F.; Grossmann, M.V.E. Water Sorption and Mechanical Properties of Cassava Starch Films and Their Relation to Plasticizing Effect. Carbohydrate Polymers 2005, 60, 283–289. [Google Scholar] [CrossRef]
- Sirbu, E.-E.; Dinita, A.; Tănase, M.; Portoacă, A.-I.; Bondarev, A.; Enascuta, C.-E.; Calin, C. Influence of Plasticizers Concentration on Thermal, Mechanical, and Physicochemical Properties on Starch Films. Processes 2024, 12. [Google Scholar] [CrossRef]
- Fazeli, M.; Keley, M.; Biazar, E. Preparation and Characterization of Starch-Based Composite Films Reinforced by Cellulose Nanofibers. International Journal of Biological Macromolecules 2018, 116, 272–280. [Google Scholar] [CrossRef]
- Zhang, Y.; Rempel, C.; Liu, Q. Thermoplastic Starch Processing and Characteristics—A Review. Critical Reviews in Food Science and Nutrition 2014, 54, 1353–1370. [Google Scholar] [CrossRef]
- Cataño, F.A.; Moreno-Serna, V.; Cament, A.; Loyo, C.; Yáñez-S, M.; Ortiz, J.A.; Zapata, P.A. Green Composites Based on Thermoplastic Starch Reinforced with Micro- and Nano-Cellulose by Melt Blending - A Review. International Journal of Biological Macromolecules 2023, 248, 125939. [Google Scholar] [CrossRef]
- He, X.; Zhang, F.; Li, C.; Ding, W.; Jin, Y.; Tang, L.; Huang, R. Effect of Starch Plasticization on Morphological, Mechanical, Crystalline, Thermal, and Optical Behavior of Poly(Butylene Adipate-Co-Terephthalate)/Thermoplastic Starch Composite Films. Polymers 2024, 16, 326. [Google Scholar] [CrossRef]
- Lackner, M.; Ivanič, F.; Kováčová, M.; Chodák, I. Mechanical Properties and Structure of Mixtures of Poly(Butylene-Adipate-Co-Terephthalate) (PBAT) with Thermoplastic Starch (TPS). International Journal of Biobased Plastics 2021, 3, 126–138. [Google Scholar] [CrossRef]
- Zhong, J.; Xin, Y. Preparation, Compatibility and Barrier Properties of Attapulgite/Poly (Lactic Acid)/Thermoplastic Starch Composites. International Journal of Biological Macromolecules 2023, 242, 124727. [Google Scholar] [CrossRef] [PubMed]
- Mansour, G.; Zoumaki, M.; Marinopoulou, A.; Tzetzis, D.; Prevezanos, M.; Raphaelides, S.N. Characterization and Properties of Non-Granular Thermoplastic Starch—Clay Biocomposite Films. Carbohydrate Polymers 2020, 245, 116629. [Google Scholar] [CrossRef]
- Pérez-Pacheco, E.; Rios-Soberanis, C.R.; Mina-Hernández, J.H.; Moo-Huchin, V.M. Use of Cellulose Fiber from Jipijapa (Carludovicapalmata) as Fillers in Corn Starch-Based Biocomposite Film. Iran Polym J 2024, 33, 157–168. [Google Scholar] [CrossRef]
- Stelescu, M.D.; Oprea, O.-C.; Sonmez, M.; Ficai, A.; Motelica, L.; Ficai, D.; Georgescu, M.; Gurau, D.F. Structural and Thermal Characterization of Some Thermoplastic Starch Mixtures. Polysaccharides 2024, 5, 504–522. [Google Scholar] [CrossRef]
- Siriwong, C.; Sae-oui, P.; Chuengan, S.; Ruanna, M.; Siriwong, K. Cellulose Nanofibers from Sugarcane Bagasse and Their Application in Starch-based Packaging Films. Polymer Composites 2024, 45, 15689–15703. [Google Scholar] [CrossRef]
- Jeencham, R.; Chiaoketwit, N.; Numpaisal, P.; Ruksakulpiwat, Y. Study of Biocomposite Films Based on Cassava Starch and Microcrystalline Cellulose Derived from Cassava Pulp for Potential Medical Packaging Applications. Applied Sciences 2024, 14, 4242. [Google Scholar] [CrossRef]
- Marta, H.; Wijaya, C.; Sukri, N.; Cahyana, Y.; Mohammad, M. A Comprehensive Study on Starch Nanoparticle Potential as a Reinforcing Material in Bioplastic. Polymers 2022, 14, 4875. [Google Scholar] [CrossRef]
- Jumaidin, R.; Diah, N.A.; Ilyas, R.A.; Alamjuri, R.H.; Yusof, F.A.M. Processing and Characterisation of Banana Leaf Fibre Reinforced Thermoplastic Cassava Starch Composites. Polymers 2021, 13, 1420. [Google Scholar] [CrossRef]
- González, K.; Larraza, I.; Martin, L.; Eceiza, A.; Gabilondo, N. Effective Reinforcement of Plasticized Starch by the Incorporation of Graphene, Graphene Oxide and Reduced Graphene Oxide. International Journal of Biological Macromolecules 2023, 249, 126130. [Google Scholar] [CrossRef] [PubMed]
- Milenioscuro. Political Map of Colombia (SVG). Wikimedia Creative Commons CC-BY-SA-3.0. Available online: https://commons.wikimedia.org/wiki/File:Colombia_Mapa_Oficial.svg (accessed on 6 February 2026).
- AOAC Official Method 925.10 Solids (Total) and Loss on Drying (Moisture) in Flour: Air Oven Method. In Official Methods of Analysis of AOAC INTERNATIONAL; Latimer, G.W., Ed.; Oxford University Press: New York, 2023; ISBN 978-0-19-761013-8. [Google Scholar]
- AOAC Official Method 945.15 Loss on Drying (Moisture) in Cereal Adjuncts: Air Oven Method (103°–104°C). In Official Methods of Analysis of AOAC INTERNATIONAL; Latimer, G.W., Ed.; Oxford University Press: New York, 2023; ISBN 978-0-19-761013-8. [Google Scholar]
- AOAC Official Method 942.05 Ash of Animal Feed. In Official Methods of Analysis of AOAC INTERNATIONAL; Latimer, G.W., Ed.; Oxford University Press: New York, 2023; ISBN 978-0-19-761013-8. [Google Scholar]
- AOAC Official Method 920.39 Fat (Crude) or Ether Extract in Animal Feed. In Official Methods of Analysis of AOAC INTERNATIONAL; Latimer, G.W., Ed.; Oxford University Press: New York, 2023; ISBN 978-0-19-761013-8. [Google Scholar]
- AOAC Official Method 920.87 Protein (Total) in Flour. In Official Methods of Analysis of AOAC INTERNATIONAL; Latimer, G.W., Ed.; Oxford University Press: New York, 2023; ISBN 978-0-19-761013-8. [Google Scholar]
- AOAC Official Method 991.43 Total, Soluble, and Insoluble Dietary Fiber in Foods: Enzymatic-Gravimetric Method, MES-TRIS Buffer. In Official Methods of Analysis of AOAC INTERNATIONAL; Latimer, G.W., Ed.; Oxford University Press: New York, 2023; ISBN 978-0-19-761013-8. [Google Scholar]
- Gerezgiher, A.G.; Szabó, T. Crosslinking of Starch Using Citric Acid. J. Phys.: Conf. Ser. 2022, 2315, 012036. [Google Scholar] [CrossRef]
- Dudeja, I.; Mankoo, R.K.; Singh, A.; Kaur, J. Citric Acid: An Ecofriendly Cross-Linker for the Production of Functional Biopolymeric Materials. Sustainable Chemistry and Pharmacy 2023, 36, 101307. [Google Scholar] [CrossRef]
- Liu, Y.; Chao, C.; Yu, J.; Wang, S.; Wang, S.; Copeland, L. New Insights into Starch Gelatinization by High Pressure: Comparison with Heat-Gelatinization. Food Chemistry 2020, 318, 126493. [Google Scholar] [CrossRef] [PubMed]
- Ortega-Toro, R.; Jiménez, A.; Talens, P.; Chiralt, A. Effect of the Incorporation of Surfactants on the Physical Properties of Corn Starch Films. Food Hydrocolloids 2014, 38, 66–75. [Google Scholar] [CrossRef]
- Yang, Y.; Fu, J.; Duan, Q.; Xie, H.; Dong, X.; Yu, L. Strategies and Methodologies for Improving Toughness of Starch Films. Foods 2024, 13, 4036. [Google Scholar] [CrossRef] [PubMed]
- Arman Alim, A.A.; Baharum, A.; Mohammad Shirajuddin, S.S.; Anuar, F.H. Blending of Low-Density Polyethylene and Poly(Butylene Succinate) (LDPE/PBS) with Polyethylene–Graft–Maleic Anhydride (PE–g–MA) as a Compatibilizer on the Phase Morphology, Mechanical and Thermal Properties. Polymers 2023, 15, 261. [Google Scholar] [CrossRef] [PubMed]
- Chen, X.; Yao, W.; Gao, F.; Zheng, D.; Wang, Q.; Cao, J.; Tan, H.; Zhang, Y. Physicochemical Properties Comparative Analysis of Corn Starch and Cassava Starch, and Comparative Analysis as Adhesive. Journal of Renewable Materials 2021, 9, 979–992. [Google Scholar] [CrossRef]
- Białasz, S.; Garbacz, Ł. Characteristics of Producing of the Polymer Films in Blow Film Extrusion Process. Mechanik 2019, 230–233. [Google Scholar] [CrossRef]
- Pushpadass, H.A.; Marx, D.B.; Wehling, R.L.; Hanna, M.A. Extrusion and Characterization of Starch Films. Cereal Chem 2009, 86, 44–51. [Google Scholar] [CrossRef]
- Perez-Martinez, V.; Bello-Rocha, Lady; Rodríguez-Rodriguez, C.; Sierra, C.A.; Castellanos, D.A. Obtention and Characterization of PLA/PHBV Thin Sheets by Solvent Casting and Extrusion with Application in Food Packaging. Bull Mater Sci 2024, 47, 47. [Google Scholar] [CrossRef]
- C16 Committee ASTM International. Test Methods for Gravimetric Determination of Water Vapor Transmission Rate of Materials. [CrossRef]
- D20 Committee ASTM International. Test Method for Water Absorption of Plastics. [CrossRef]
- D20 Committee ASTM International. Test Method for Tensile Properties of Thin Plastic Sheeting. [CrossRef]
- Aristizábal, J.; Sánchez, T.; Mejía-Lorío, D.J. Guía técnica para producción y análisis de almidón de yuca. In Boletín de servicios agrícolas de la FAO; Organización de las Naciones Unidas para la Agricultura y la Alimentación: Roma, 2007; ISBN 978-92-5-305677-4. [Google Scholar]
- Waterschoot, J.; Gomand, S.V.; Fierens, E.; Delcour, J.A. Production, Structure, Physicochemical and Functional Properties of Maize, Cassava, Wheat, Potato and Rice Starches. Starch Stärke 2015, 67, 14–29. [Google Scholar] [CrossRef]
- Montagnac, J.A.; Davis, C.R.; Tanumihardjo, S.A. Nutritional Value of Cassava for Use as a Staple Food and Recent Advances for Improvement. Comp Rev Food Sci Food Safe 2009, 8, 181–194. [Google Scholar] [CrossRef] [PubMed]
- Jagannath, J.H.; Nanjappa, C.; Das Gupta, D.K.; Bawa, A.S. Mechanical and Barrier Properties of Edible Starch–Protein-based Films. J of Applied Polymer Sci 2003, 88, 64–71. [Google Scholar] [CrossRef]
- Long, J.; Zhang, W.; Zhao, M.; Ruan, C.-Q. The Reduce of Water Vapor Permeability of Polysaccharide-Based Films in Food Packaging: A Comprehensive Review. Carbohydrate Polymers 2023, 321, 121267. [Google Scholar] [CrossRef]
- Criollo-Feijoo, J.; Salas-Gomez, V.; Cornejo, F.; Auras, R.; Salazar, R. Cassava Bagasse Starch and Oregano Essential Oil as a Potential Active Food Packaging Material: A Physicochemical, Thermal, Mechanical, Antioxidant, and Antimicrobial Study. Heliyon 2024, 10, e36150. [Google Scholar] [CrossRef]
- Tan, X.; Sun, A.; Cui, F.; Li, Q.; Wang, D.; Li, X.; Li, J. The Physicochemical Properties of Cassava Starch/Carboxymethyl Cellulose Sodium Edible Film Incorporated of Bacillus and Its Application in Salmon Fillet Packaging. Food Chemistry: X 2024, 23, 101537. [Google Scholar] [CrossRef]
- Tappiban, P.; Ying, Y.; Pang, Y.; Sraphet, S.; Srisawad, N.; Smith, D.R.; Wu, P.; Triwitayakorn, K.; Bao, J. Gelatinization, Pasting and Retrogradation Properties and Molecular Fine Structure of Starches from Seven Cassava Cultivars. International Journal of Biological Macromolecules 2020, 150, 831–838. [Google Scholar] [CrossRef] [PubMed]
- Ben, Z.Y.; Samsudin, H.; Yhaya, M.F. Glycerol: Its Properties, Polymer Synthesis, and Applications in Starch Based Films. European Polymer Journal 2022, 175, 111377. [Google Scholar] [CrossRef]
- Jiménez, A.; Fabra, M.J.; Talens, P.; Chiralt, A. Physical Properties and Antioxidant Capacity of Starch–Sodium Caseinate Films Containing Lipids. Journal of Food Engineering 2013, 116, 695–702. [Google Scholar] [CrossRef]
- Mirzaaghaei, M.; Nasirpour, A.; Keramat, J.; Goli, S.A.H.; Dinari, M.; Desobry, S.; Durand, A. Chemical Modification of Waxy Maize Starch by Esterification with Saturated Fatty Acid Chlorides: Synthesis, Physicochemical and Emulsifying Properties. Food Chemistry 2022, 393, 133293. [Google Scholar] [CrossRef]
- Diyana, Z.N.; Jumaidin, R.; Selamat, M.Z.; Suan, M.S.M. Thermoplastic Starch/Beeswax Blend: Characterization on Thermal Mechanical and Moisture Absorption Properties. International Journal of Biological Macromolecules 2021, 190, 224–232. [Google Scholar] [CrossRef]
- Boonluksiri, Y.; Siangdang, P.; Nakaramontri, Y. Water Resistance, Biodegradation and Thermal Stability of Thermoplastic Starch Reinforced with Unvulcanized Natural Rubber, Epoxidized Natural Rubber and Dissolving Pulp. J Polym Environ 2023, 31, 488–500. [Google Scholar] [CrossRef]
- Cai, Z.; Čadek, D.; Jindrová, M.; Kadeřábková, A.; Kuta, A. Physical Properties and Biodegradability Evaluation of Vulcanized Epoxidized Natural Rubber/Thermoplastic Potato Starch Blends. Materials 2022, 15, 7478. [Google Scholar] [CrossRef]
- Linan, L.Z.; Fakhouri, F.M.; Nogueira, G.F.; Zoppe, J.; Velasco, J.I. Benefits of Incorporating Lignin into Starch-Based Films: A Brief Review. Polymers 2024, 16, 2285. [Google Scholar] [CrossRef] [PubMed]
- Ni, S.; Bian, H.; Zhang, Y.; Fu, Y.; Liu, W.; Qin, M.; Xiao, H. Starch-Based Composite Films with Enhanced Hydrophobicity, Thermal Stability, and UV-Shielding Efficacy Induced by Lignin Nanoparticles. Biomacromolecules 2022, 23, 829–838. [Google Scholar] [CrossRef] [PubMed]
- Sabetzadeh, M.; Bagheri, R.; Masoomi, M. Study on Ternary Low Density Polyethylene/Linear Low Density Polyethylene/Thermoplastic Starch Blend Films. Carbohydrate Polymers 2015, 119, 126–133. [Google Scholar] [CrossRef] [PubMed]
- Sachcha, I.H.; Paddar, K.; Minar, M.M.; Rahman, L.; Hasan, S.M.K.; Akhtaruzzaman, M.; Billah, M.T.; Yasmin, S. Development of Eco-Friendly Biofilms by Utilizing Microcrystalline Cellulose Extract from Banana Pseudo-Stem. Heliyon 2024, 10, e29070. [Google Scholar] [CrossRef] [PubMed]
- Surendren, A.; Mohanty, A.K.; Liu, Q.; Misra, M. A Review of Biodegradable Thermoplastic Starches, Their Blends and Composites: Recent Developments and Opportunities for Single-Use Plastic Packaging Alternatives. Green Chem. 2022, 24, 8606–8636. [Google Scholar] [CrossRef]
- Zhang, Z.; Jiang, P.; Liu, D.; Feng, S.; Zhang, P.; Wang, Y.; Fu, J.; Agus, H. Research Progress of Novel Bio-Based Plasticizers and Their Applications in Poly(Vinyl Chloride). J Mater Sci 2021, 56, 10155–10182. [Google Scholar] [CrossRef]
- Cheng, Y.; Zhai, X.; Wu, Y.; Li, C.; Zhang, R.; Sun, C.; Wang, W.; Hou, H. Effects of Natural Wax Types on the Physicochemical Properties of Starch/Gelatin Edible Films Fabricated by Extrusion Blowing. Food Chemistry 2023, 401, 134081. [Google Scholar] [CrossRef]
- Haque, E.; Pahlevani, F.; Gorjizadeh, N.; Hossain, R.; Sahajwalla, V. Thermal Transformation of End-of-Life Latex to Valuable Materials. J. Compos. Sci. 2020, 4, 166. [Google Scholar] [CrossRef]
- Aleksanyan, K.V.; Rogovina, S.Z.; Ivanushkina, N.E. Novel Biodegradable Low-density Polyethylene–Poly(Lactic Acid)–Starch Ternary Blends. Polymer Engineering & Sci 2021, 61, 802–809. [Google Scholar] [CrossRef]
- Nwuzor, I.C.; Oyeoka, H.C.; Nwanonenyi, S.C.; Ihekweme, G.O. Biodegradation of Low-Density Polyethylene Film/Plasticized Cassava Starch Blends with Central Composite Design for Optimal Environmental Pollution Control. Journal of Hazardous Materials Advances 2023, 9, 100251. [Google Scholar] [CrossRef]
- Salazar-Sánchez, M.D.R.; Delgado-Calvache, L.I.; Casas-Zapata, J.C.; Villada Castillo, H.S.; Solanilla-Duque, J.F. Soil Biodegradation of a Blend of Cassava Starch and Polylactic Acid. Ing. Inv. 2022, 42, e93710. [Google Scholar] [CrossRef]
- García-Ramón, J.A.; Carmona-García, R.; Valera-Zaragoza, M.; Aparicio-Saguilán, A.; Bello-Pérez, L.A.; Aguirre-Cruz, A.; Alvarez-Ramirez, J. Morphological, Barrier, and Mechanical Properties of Banana Starch Films Reinforced with Cellulose Nanoparticles from Plantain Rachis. International Journal of Biological Macromolecules 2021, 187, 35–42. [Google Scholar] [CrossRef] [PubMed]
- Pourfarzad, A.; Yousefi, A.; Ako, K. Steady/Dynamic Rheological Characterization and FTIR Study on Wheat Starch-Sage Seed Gum Blends. Food Hydrocolloids 2021, 111, 106380. [Google Scholar] [CrossRef]
- Gil-Trujillo, E.; Lomelí-Ramírez, M.G.; Silva-Guzmán, J.A.; Anzaldo-Hernández, J.; Vargas-Radillo, J.J.; Barrientos-Ramírez, L.; Cisneros-López, E.O.; Jiménez-Amezcua, R.M.; Kronemberger, F.D.A.; Hupsel, A.L.; et al. Eco-Friendly Thermoplastic Starch Nanocomposite Films Reinforced with Microfibrillated Cellulose (MFC) from Fraxinus Uhdei (Wenz.) Lingelsh. Applied Sciences 2025, 15, 12925. [Google Scholar] [CrossRef]
- Muñoz-Gimena, P.F.; Oliver-Cuenca, V.; Peponi, L.; López, D. A Review on Reinforcements and Additives in Starch-Based Composites for Food Packaging. Polymers 2023, 15, 2972. [Google Scholar] [CrossRef]
- Kibet, T.; Githinji, D.N.; Nziu, P. Natural Fibre–Reinforced Starch Biocomposites and Their Effects on the Material Mechanical Properties: A Review. Advances in Materials Science and Engineering 2025, 2025, 9905014. [Google Scholar] [CrossRef]
- Liu, D.; Duan, Y.; Wang, S.; Gong, M.; Dai, H. Improvement of Oil and Water Barrier Properties of Food Packaging Paper by Coating with Microcrystalline Wax Emulsion. Polymers 2022, 14, 1786. [Google Scholar] [CrossRef]
- De Carvalho, G.R.; Marques, G.S.; De Matos Jorge, L.M.; Jorge, R.M.M. Effect of the Addition of Cassava Fibers on the Properties of Cassava Starch Composite Films. Braz. J. Chem. Eng. 2021, 38, 341–349. [Google Scholar] [CrossRef]
- Rodriguez-Gonzalez, F.J.; Ramsay, B.A.; Favis, B.D. High Performance LDPE/Thermoplastic Starch Blends: A Sustainable Alternative to Pure Polyethylene. Polymer 2003, 44, 1517–1526. [Google Scholar] [CrossRef]
- Dong, M.; Mastroianni, G.; Bilotti, E.; Zhang, H.; Papageorgiou, D.G. Biodegradable Starch-Based Nanocomposite Films with Exceptional Water and Oxygen Barrier Properties. ACS Sustainable Chem. Eng. 2024, 12, 11056–11066. [Google Scholar] [CrossRef]
- Aziz, S.B.; Aziz, D.M.; Muhammad, D.S.; Hama, P.O.; Abdullah, O.Gh. Enhancing the Optical Properties of Chitosan-Based Biopolymer for Optoelectronic Applications Using Natural Dye Extracted from Hollyhock Waste Flowers. Optical Materials 2025, 159, 116596. [Google Scholar] [CrossRef]
- Ibáñez-García, A.; Berbegal-Pina, R.; Vidal, R.; Martínez-García, A. Sustainability in the Development of Natural Pigment-Based Colour Masterbatches and Their Application in Biopolymers. Polymers 2024, 16, 2116. [Google Scholar] [CrossRef]
- Hafizulhaq, F.; Abral, H.; Kasim, A.; Arief, S.; Affi, J. Moisture Absorption and Opacity of Starch-Based Biocomposites Reinforced with Cellulose Fiber from Bengkoang. Fibers 2018, 6, 62. [Google Scholar] [CrossRef]
- Ban, W.; Song, J.; Lucia, L.A. Influence of Natural Biomaterials on the Absorbency and Transparency of Starch-Derived Films: An Optimization Study. Ind. Eng. Chem. Res. 2007, 46, 6480–6485. [Google Scholar] [CrossRef]
- Tibolla, H.; Czaikoski, A.; Pelissari, F.M.; Menegalli, F.C.; Cunha, R.L. Starch-Based Nanocomposites with Cellulose Nanofibers Obtained from Chemical and Mechanical Treatments. International Journal of Biological Macromolecules 2020, 161, 132–146. [Google Scholar] [CrossRef] [PubMed]
- Savadekar, N.R.; Mhaske, S.T. Synthesis of Nano Cellulose Fibers and Effect on Thermoplastics Starch Based Films. Carbohydrate Polymers 2012, 89, 146–151. [Google Scholar] [CrossRef]
- Malmir, S.; Montero, B.; Rico, M.; Barral, L.; Bouza, R.; Farrag, Y. Effects of Poly (3-Hydroxybutyrate-Co-3-Hydroxyvalerate) Microparticles on Morphological, Mechanical, Thermal, and Barrier Properties in Thermoplastic Potato Starch Films. Carbohydrate Polymers 2018, 194, 357–364. [Google Scholar] [CrossRef] [PubMed]
- Raj, B.; U.S., K.; Siddaramaiah. Low Density Polyethylene/Starch Blend Films for Food Packaging Applications. Adv Polym Technol 2004, 23, 32–45. [Google Scholar] [CrossRef]
- Wang, X.; Huang, L.; Zhang, C.; Deng, Y.; Xie, P.; Liu, L.; Cheng, J. Research Advances in Chemical Modifications of Starch for Hydrophobicity and Its Applications: A Review. Carbohydrate Polymers 2020, 240, 116292. [Google Scholar] [CrossRef]
- Thakur, R.; Pristijono, P.; Scarlett, C.J.; Bowyer, M.; Singh, S.P.; Vuong, Q.V. Starch-Based Films: Major Factors Affecting Their Properties. International Journal of Biological Macromolecules 2019, 132, 1079–1089. [Google Scholar] [CrossRef]
- Hafila, K.Z.; Jumaidin, R.; Ilyas, R.A.; Selamat, M.Z.; Yusof, F.A.M. Effect of Palm Wax on the Mechanical, Thermal, and Moisture Absorption Properties of Thermoplastic Cassava Starch Composites. International Journal of Biological Macromolecules 2022, 194, 851–860. [Google Scholar] [CrossRef] [PubMed]
- Kaboorani, A.; Gray, N.; Hamzeh, Y.; Abdulkhani, A.; Shirmohammadli, Y. Tailoring the Low-Density Polyethylene - Thermoplastic Starch Composites Using Cellulose Nanocrystals and Compatibilizer. Polymer Testing 2021, 93, 107007. [Google Scholar] [CrossRef]
- Zeraatpishe, M.; Hassanajili, S. Investigation of Physical and Rheological Properties of LDPE/HDPE/Thermoplastic Starch Biodegradable Blend Films. Polymer Engineering & Sci 2023, 63, 3116–3134. [Google Scholar] [CrossRef]
- Garavito, J.; Posada, N.C.; Peña-Venegas, C.P.; Castellanos, D.A. Carbon Footprint of Plastic Bags and Polystyrene Dishes vs. Starch-Based Biodegradable Packaging in Amazonian Settlements. Polymers 2025, 17, 3242. [Google Scholar] [CrossRef]
- Judawisastra, H.; Sitohang, R.D.R.; Marta, L.; Mardiyati. Water Absorption and Its Effect on the Tensile Properties of Tapioca Starch/Polyvinyl Alcohol Bioplastics. IOP Conf. Ser.: Mater. Sci. Eng. 2017, 223, 012066. [Google Scholar] [CrossRef]
- Hietala, M.; Mathew, A.P.; Oksman, K. Bionanocomposites of Thermoplastic Starch and Cellulose Nanofibers Manufactured Using Twin-Screw Extrusion. European Polymer Journal 2013, 49, 950–956. [Google Scholar] [CrossRef]
- Inceoglu, F.; Menceloglu, Y.Z. Transparent Low-density Polyethylene/Starch Nanocomposite Films. J of Applied Polymer Sci 2013, 129, 1907–1914. [Google Scholar] [CrossRef]








| Component (% w/w) | Formulation | |||||
|---|---|---|---|---|---|---|
| Control | F1 | F2 | F3 | F4 | F5 | |
| Cassava starch | 66.6 | 63 | 63 | 64.9 | 60.1 | 63.9 |
| Water | 7.4 | 7 | 7 | 6.9 | 6.9 | 7.1 |
| Glycerol | 25 | 25 | 25 | 25 | 25 | 23 |
| Sunflower oil | 0 | 4 | 0 | 0 | 0 | 0 |
| Beeswax | 0 | 0 | 4 | 2 | 4 | 2 |
| Hydrolyzed latex | 0 | 0 | 0 | 0.2 | 0 | 0 |
| Powdered plantain leaves | 0 | 0 | 0 | 0 | 2.5 | 1 |
| Powdered LDPE | 0 | 0 | 0 | 0 | 0 | 2 |
| Citric acid | 1 | 1 | 1 | 1 | 1 | 1 |
| Span 80 | 0 | 0 | 0 | 0 | 0.5 | 0.5 |
| Parameter (% w/w) | |
|---|---|
| Moisture * | 44.15 ± 0.27 |
| Carbohydrates ** | 97.89 ± 0.72 |
| Ash ** | 0.29 ± 0.02 |
| Ether Extract ** | 0.38 ± 0.02 |
| Fiber ** | 0.13 ± 0.00 |
| Protein ** | 1.31 ± 0.30 |
| Property | Control | F4 | F5 |
|---|---|---|---|
| Thickness (mm) | 0.32 ± 0.04a | 0.30 ±0.02a | 0.26 ± 0.02a |
| Lightness (L*) | 39.49± 0.91a | 28.25 ± 0.21b | 33.94± 0.73c |
| Chromatic coordinate a* | 0.24 ± 0.04a | 4.09 ± 0.22b | 3.06 ± 0.02c |
| Chromatic coordinate b* | 2.12 ± 0.16a | 7.91 ± 0.68b | 9.74 ± 0.37c |
| Transmittance (%) | 60.24 ± 0.99a | 67.94 ± 0.68b | 78.82 ± 0.44b |
| WVTR (g m−2 d−1) | 1487 ± 287a | 716 ± 184b | 367 ± 79c |
| QH2O (g mm m−2 atm−1 d−1) | 24845 ± 7980a | 13366 ± 4585b | 5095 ± 1499b |
| Water adsorption (g g−1) | |||
| 6 h | 0.48 ± 0.01Aa | 0.17 ± 0.02Ab | 0.10 ± 0.02Ac |
| 24 h | 0.66 ± 0.01Ba | 0.30 ± 0.01Bb | 0.11 ± 0.02Ac |
Disclaimer/Publisher’s Note: The statements, opinions and data contained in all publications are solely those of the individual author(s) and contributor(s) and not of MDPI and/or the editor(s). MDPI and/or the editor(s) disclaim responsibility for any injury to people or property resulting from any ideas, methods, instructions or products referred to in the content. |
© 2026 by the authors. Licensee MDPI, Basel, Switzerland. This article is an open access article distributed under the terms and conditions of the Creative Commons Attribution (CC BY) license (http://creativecommons.org/licenses/by/4.0/).
