Preprint
Article

This version is not peer-reviewed.

Physiological Responses of Grapevine Leaves to High Temperature at Different Senescence Periods

A peer-reviewed article of this preprint also exists.

Submitted:

03 September 2025

Posted:

05 September 2025

You are already at the latest version

Abstract
Leaf senescence is a precisely regulated developmental process that is critical for grapevine growth and yield, which is easily influenced by environmental factors. High temperature is a major factor that accelerates senescence rapidly, adversely affects photosynthetic performance, severely hindering fruit nutrient metabolism and growth. This study investigated chlorophyll fluorescence and physiological traits in grape leaves at different senescence stages under natural high-temperature conditions in Turpan. Measurements included chlorophyll content, MDA levels, antioxidant enzyme activities, and chlorophyll fluorescence parameters. The results showed that: (1) Young leaves exhibited higher and more sustained chlorophyll content but were prone to wilting, whereas older leaves showed accelerated chlorosis and functional decline; (2) High temperature severely impaired PSII function, inhibiting electron transport and photochemical efficiency, reflected in increased ABS/RC, TRo/RCC, and DIo/RC, and de-creased Fv/Fm, Fv/F0, and PIabs; (3) POD, SOD, CAT and MDA levels initially increased then decreased, correlating with photosynthetic changes and leaf age; (4) Young leaves maintained stronger photosynthetic capability and physiological resilience than older ones. Although partial recovery occurred after temperature reduction, photosynthetic and antioxidant activities did not fully revert. This suggests persistent heat-induced functional decline and accelerated senescence, providing insights for understanding heat-induced leaf senescence and developing strategies for cultivating grapevines.
Keywords: 
;  ;  ;  

1. Introduction

Leaf senescence is a process of nutrient recycling from senescing leaves to nascent tissues or storage organs, crucial for plant growth, development, and environmental adaptation [1,2]. High temperature is a major stress factor inducing rapid leaf senescence, adversely affecting plant growth and development, reducing photosynthetic efficiency, and causing physiological changes such as cell membrane lipid peroxidation, severely hindering crop nutrient metabolism and growth [3]. Grapevines (Vitis vinifera L.) inevitably encounter various biotic and abiotic stresses during growth, with high temperature being a primary abiotic stressor [4,5]. It not only accelerates leaf senescence but also impedes photosynthesis and nutrient metabolism, limiting the synthesis and transport of photosynthetic products, consequently reducing quality and yield. Addressing heat stress has become a critical challenge for the grape industry [6,7].
Turpan offers unique growing conditions for grapes due to its superior light and heat resources and diverse geography, making it a leading region for fresh and dried grape production in China. However, the specific geographical environment results in over 100 days annually with temperatures exceeding 35 °C. Sustained high temperature stress leads to premature leaf senescence, damages the photosynthetic system, and restricts the synthesis and translocation of photosynthetic products, significantly reducing grape yield and quality [9,10]. With increasing frequency and intensity of extreme heat events due to global warming, grape-growing regions worldwide face escalating challenges from heat stress [4,11]. Therefore, this study investigated the chlorophyll fluorescence and physiological characteristics of grapevine leaves at different senescence stages under Turpan’s unique hot and arid conditions, analyzing the physiological response patterns to high temperature, to provide a reference for developing stress-resistant cultivation strategies (delaying leaf senescence).

2. Results

2.1. Temperature Dynamics in the Field

The maximum temperature recorded within the experimental plots was 47.13 °C, the minimum was 14.65 °C, and the average temperature was 32.13 °C. There were 123 days with temperatures above 35 °C, including 65 days above 40 °C (Table 1). The average temperature in May was 30.59 °C, with a maximum of 47.13 °C. There were 28 days above 35 °C, including 14 days above 40 °C. June marked the beginning of the summer high-temperature period, with a monthly average of 33.35 °C, an increase of 2.76 °C from May, and a maximum of 45.17 °C. There were 27 days above 35 °C, including 16 above 40 °C. Temperatures continued to rise in July, with a monthly average of 34.40 °C and a maximum of 44.93 °C. There were 28 days above 35 °C, including 20 above 40 °C. August experienced extreme heat, with a maximum temperature of 45.99 °C, 28 days above 35 °C, and 15 days above 40 °C. Temperatures gradually declined in September; the maximum temperature was 38.30 °C (a decrease of 7.69 °C from August’s peak), the average temperature was 26.22 °C, and the minimum dropped to 12.15 °C, bringing conditions close to the optimal temperature range for grape growth.
Figure 1. The temperature of the viticultural region in Turpan (2024).
Figure 1. The temperature of the viticultural region in Turpan (2024).
Preprints 175156 g001

2.2. Phenotypic Observation of Leaves at Different Senescence Periods

Leaves at different developmental periods and high-temperature stages exhibited distinct phenotypic characteristics (Figure 2). Under natural high-temperature conditions in Turpan, grapevine leaves sequentially showed signs of senescence and phenotypic alterations induced by heat from May to September. For instance, leaves in July and August displayed noticeable wilting, chlorosis, and dried leaf margins, along with symptoms such as spotting, curling, and yellowing. Lower leaves exhibited more pronounced senescence traits like yellowing and dried edges, while symptoms of heat damage like wilting and curling were more evident in upper leaves. Middle leaves maintained relatively stable phenotypic characteristics. From May to July, leaves at all positions (upper, middle, lower) appeared fresh green to dark green with fully expanded shapes. In July, lower leaves began showing marginal scorching and partial chlorosis. Subsequently, middle and lower leaves also exhibited marginal scorching and chlorosis in August, while upper leaves remained green but developed yellow spots, indicating that high temperature might accelerate the senescence process. By September, lower leaves showed significant withering, yellowing with spots, the yellowing area in middle leaves expanded further with curled and dehydrated margins, whereas upper leaves remained relatively healthy and intact, with a dark green color. This suggests high temperature may cause chlorophyll degradation or inhibit synthesis, accelerating leaf senescence and yellowing, particularly in lower leaves, which senesced over a month earlier than upper leaves. In summary, young leaves are prone to water loss and wilting under high temperature induction, whereas older leaves tend towards chlorosis and senescence, consistent with plant leaf growth patterns and representing a self-protection mechanism in response to heat stress.

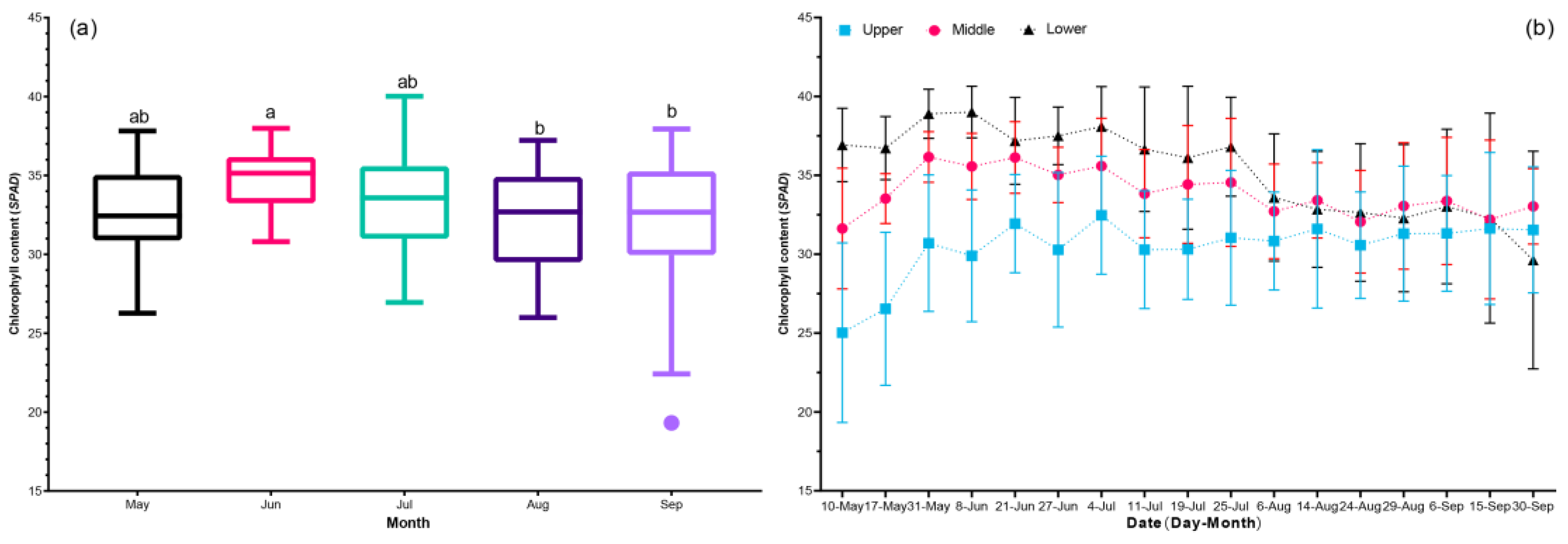
2.3. Chlorophyll Content Characteristics of Grapevine Leaves at Different Senescence Stages

Chlorophyll, the primary pigment for photosynthesis in grapevine leaves, directly reflects their nutritional status and photosynthetic capacity. High temperature inhibits chlorophyll synthesis and accelerates its degradation, forcing leaves into functional decline. The results showed that under prolonged natural high temperature stress, the chlorophyll content in grapevine leaves from different periods exhibited a dynamic trend of initial increase followed by a decrease (Figure 3a). Chlorophyll content peaked in June (34.72 SPAD), which was significantly higher than that in August and September, and reached its lowest value in September (31.53 SPAD). However, significant differences existed among leaf positions. From May 10th to August 6th, chlorophyll content previously showed lower leaves > middle leaves > upper leaves. The initial chlorophyll content was highest in lower leaves (36.93 SPAD), followed by middle leaves (31.61 SPAD), and lowest in upper leaves (25.02 SPAD). Starting from August 14th, the chlorophyll content of lower leaves was gradually surpassed by middle leaves, but remained higher than upper leaves. By September 30th, the order of chlorophyll content became middle leaves (33.04 SPAD) > upper leaves (31.55 SPAD) > lower leaves (29.66 SPAD).
These results indicate that the chlorophyll content of lower leaves continuously decreased with rising temperature throughout the experiment, accompanied by gradual chlorosis and senescence (Figure 2), while middle and upper leaves maintained relatively higher levels (Figure 3b). The chlorophyll content of upper leaves remained stable and even increased slightly during the mid-to-late high temperature period (July 11th), albeit with a small increase never exceeding the maximum value of lower leaves, possibly related to high temperature affecting its chlorophyll synthesis. Overall, younger leaves (upper and middle) exhibited higher and more sustained chlorophyll content compared to older leaves (lower) during the high-temperature period. This pattern aligns with natural leaf development and senescence dynamics and is consistent with the temperature variations recorded in the experimental plots (Figure 1 and Figure 3).

2.4. Effects of High Temperature on the OJIP Curve of Leaves at Different Senescence Stages

Standardized curves for different leaf positions and periods showed that all parameter curves exhibited the typical O-J-I-P phase transition characteristics. Fluorescence intensity increased in an “S” shape over time, eventually reaching a steady state (P point), consistent with the response of plant photosystem II (PSII) to light excitation (Figure 4). However, significant differences existed in fluorescence intensity and phase transition slopes among leaves at different senescence stages. Firstly, the OJIP curves overall showed a gradual increase from May to August, followed by a slight decrease in September, reflecting possible damage to PSII reaction centers during the summer high temperature period and subsequent initiation of repair mechanisms. The overall trend was September > August > July > June > May (Figure 4f). Secondly, as leaves grew and temperature gradually increased, the OJIP curves of upper leaves changed, with the OJ phase gradually being surpassed by lower and middle leaves, yet photosynthetic capacity remained relatively higher than lower leaves (August, September). Specifically, the OJ phase continued to rise, more noticeably in middle and lower leaves than upper leaves. The efficiency of QA to QB electron transfer fluctuated with temperature, with the degree of impediment following August > July > June > September > May. By September, the inhibition extent ranked as lower leaves > middle leaves > upper leaves, indicating differential heat-induced damage to PSII among leaf positions, which aligns with observed leaf senescence phenotypes.
Fluorescence intensity increased with leaf growth and rising temperature within the entire experimental period, and the shape of the OJIP curve changed accordingly. The O point (20μs) reflects the open state of PSII, the J point (2ms) indicates QA accumulation and electron transfer efficiency, the K point reflects the activity of the oxygen-evolving complex (OEC), and the I-P phase (30-300ms) relates to the thylakoid proton gradient. Double-normalized OJIP curves revealed a bimodal curve, with L, K, J, and I points gradually shifting upward (Figure 4g). However, the P point (maximum fluorescence intensity Fv/Fm) was significantly lower than in May and showed a decreasing trend, indicating that rising temperature led to a gradual decrease in Fv/Fm (Figure 4g), with some variation among leaf positions. In the early stage (May, June, July), the order was generally upper leaves > middle leaves > lower leaves (Figure 4a,b), with photosynthetic capacity decreasing accordingly. As the temperature increased, leaf fluorescence intensity and damage to PSII reaction centers intensified, with the K-J phase change being most significant. Lower leaves showed a more pronounced increase than middle and upper leaves, suggesting OEC deactivation due to high temperature, with significant variation among leaf positions. The P phase reflects the steady-state fluorescence level of PSII reaction centers under continuous light. The overall amplitude decreased by 6.3% from May to July and increased by 2.6% from August to September. The time required to reach the P phase was about 800 ms in May, nearly 950 ms in July (+18.8%), and recovered to 820 ms in September, indicating that high temperature affected the photosynthetic system, with some recovery as temperature decreased, but significant differences existed among leaf positions, with younger leaves showing more pronounced changes.

2.5. Chlorophyll Fluorescence Parameters of Grapevine Leaves at Different Senescence Stages

Fv/Fm represents the maximum photochemical efficiency, Fv/Fo indicates potential photochemical activity, PIabs comprehensively assesses the photosynthetic performance of PSII, φ(Eo) reflects the actual photochemical efficiency of PSII, φ(Ro) characterizes the actual photochemical efficiency of PSI, and ψ(Eo) represents electron transport efficiency. Analysis of chlorophyll fluorescence parameters (Figure 5a) showed that these parameters overall exhibited similar patterns, decreasing with prolonged high temperature exposure. Fv/Fm, Fv/Fo, PIabs, φ(Eo), and φ(Ro) all peaked in May, reached their lowest points in August, and recovered somewhat by September, indicating that high temperature inhibited the activity and efficiency of PSII reaction centers, with longer stress duration leading to more pronounced inhibition. ψ(Eo), reflecting electron transport efficiency and proportional to photosynthetic performance parameters, was highest in June, lowest in August, and recovered slightly in September, suggesting high temperature limited electron transport, with longer exposure having a more significant impact. Fo/Fm reflects potential damage to PSII reaction centers, δ(Ro) assesses the redox balance state of the photosynthetic apparatus, Vj reflects the efficiency of electron transport on the acceptor side of PSII (particularly from QA to QB), and Vi is related to the oxidation state of the donor side OEC and the PQ pool. Results showed Fo/Fm increased firstly then decreased, δ(Ro) decreased initially then increased, and Vj values followed August > July > June > September > May, where higher Vj values indicate more impeded electron transport. These findings suggest that high temperature caused severe damage to both the acceptor and donor sides of PSII, leading to a significant imbalance between carbon assimilation and photorespiration (Figure 5b).
Analysis of energy parameters per cross-section (ABS/CSo, DIo/CSo, TRo/CSo, ETo/CSo, REo/CSo, TRo/CSo) revealed that from May to August, ABS/CSo and DIo/CSo increased with rising temperature and decreased with falling temperature by September, indicating that high temperature increased light energy absorption and heat dissipation per unit leaf area (Figure 5c). Parameters including TRo/CSo, ETo/CSo, and REo/CSo showed an initial increase followed by a decrease, with TRo/CSo reaching its peak in August, suggesting that high temperature affected energy distribution and the energy available for reducing QA, related to the duration of high temperature. Evaluation of energy flux parameters per reaction center (ABS/RC, DIo/RC, REo/RC, TRo/RC, ETo/RC) showed that ABS/RC, DIo/RC, and TRo/RC exhibited an inverted V-shaped pattern, seen in Figure 5d, increasing from May to August and decreasing by September. ETo/RC (energy used for electron transport per RC) peaked in June and subsequently decreased continuously, while REo/RC (energy transported to the end of the electron chain per RC) decreased gradually from May to July, then increased again. These indicate that high temperature significantly affected electron transport from absorbed light energy in the reaction centers, leading to increased absorption and thermal dissipation of light energy, with longer exposure having a more pronounced effect.

2.6. Effects of High Temperature on Antioxidant Enzyme Activities and MDA Content

The activities of antioxidant enzymes (POD, SOD, CAT) in grapevine leaves from May to September all exhibited a trend of initial increase followed by a decrease (Figure 6a–c), with peak levels observed in August that were significantly higher than the initial values in May. Although a decline was detected in September, the enzyme activities remained significantly elevated compared to those in May. A similar variation pattern was observed for MDA content (Figure 6d), which was lowest in May (15.16 nmol/g FW) and reached its maximum in August (37.87 nmol/g FW). During the high-temperature period (June to August), MDA content increased continuously, showing increments of 33.51%, 85.09%, and 149.74% compared to the initial value, respectively. The highest MDA content was recorded in August (37.87 nmol/g FW), representing the most pronounced increase. By September, MDA content had decreased to 26.39 nmol/g FW, a reduction of 30.32% compared to August, yet it remained significantly higher than the initial level in May, with a recovery rate of 74.02%. These results indicate that POD, SOD, CAT, and MDA levels change synchronously in response to temperature variations, showing a coordinated initial rise and subsequent decline. Furthermore, the upper leaves exhibited relatively higher antioxidant enzyme activities and lower MDA content compared to the middle and lower leaves, suggesting that younger leaves possess a stronger physiological responsiveness to heat stress than older leaves.

2.7. Correlation Analysis of Various Indicators

Correlation analysis of chlorophyll content, chlorophyll fluorescence parameters, antioxidant enzyme activities, and MDA content in grapevine leaves at different senescence stages under high temperature conditions revealed certain correlations among all indicators (Figure 7). Fo was significantly positively correlated with Fm (0.921*), SOD (0.956*), and CAT (0.943*) (p<0.05), and highly significantly positively correlated (p<0.01) with Fo/Fm (0.983**), ABS/RC (0.985**), DIo/RC (0.971**), TRo/RC (0.982**), ABS/CSo (1.000**), DIo/CSo (0.986**), TRo/CSo (0.988**), MDA (0.993**). However, Fo was significantly negatively correlated with φ(Ro) (-0.918*), PIabs(-0.881*) (p < 0.05), and highly significantly negatively correlated (p< 0.01) with Fv/Fm (0.984**) and Fv/Fo (-0.987**). Fm was significantly positively correlated (p<0.05) with Fo, TRo/RC, ABS/CSo, POD, SOD, CAT, and highly significantly correlated with Vi (0.968**)and TRo/CSo (0.969**). Simultaneously, Fm showed a significant negative correlation (p<0.01) with φ(Ro) and Fv/Fo, with correlation coefficients of -0.993** and -0.900*, respectively. Fv/Fm was significantly positively correlated with Fv/Fo (0.994**)and PIabs (0.929**), and highly significantly negatively correlated (p<0.01) with Fo, Fo/Fm, ABS/RC, DIo/RC, TRo/RC, ABS/CSo, DIo/CSo, and MDA. It was also negatively correlated (p<0.05) with TRo/CSo (-0.956*) and SOD (-0.899*). Vj was highly significantly negatively correlated with ψ(Eo) and φ(Eo) (p<0.01, coefficients -1.000** and -0.969**). Vi was highly significantly negatively correlated (p<0.01) with REo/RC and φ(Ro) (coefficients -0.961** and -0.988**).
Within the energy allocation module, parameters at the reaction center level like ABS/RC, TRo/RC, and DIo/RC formed distinct clusters. ABS/RC was highly significantly positively correlated (p<0.01) with DIo/RC, TRo/RC, ABS/CSo, DIo/CSo, and MDA, and significantly negatively correlated with PIabs (p<0.05). ψ(Eo) was highly significantly positively correlated with φ(Eo) (p<0.01, coefficient 0.969**). φ(Ro) was significantly negatively correlated with A ABS/CSo(-0.918*), TRo/CSo(-0.961**), POD(-0.959**), SOD(-0.928*), and CAT (-0.966**) (p<0.05 for *, p<0.01 for **). Chlorophyll (Chl) content was only significantly negatively correlated with REo/CSo (-0.920*). Oxidative stress module: POD was significantly positively correlated with SOD (0.928*) and CAT (0.980*), while SOD and CAT were also highly significantly correlated (0.981*, p < 0.05). MDA was significantly positively correlated with SOD (0.925*) and CAT (0.900*), and highly significantly negatively correlated (p < 0.01) with photosynthetic efficiency parameters like Fv/Fm, Fv/Fo, PIabs, as well as with parameters indicative of photodamage and thermal dissipation such as Fo, Fo/Fm, ABS/RC, DIo/RC, TRo/RC, ABS/CSo, DIo/CSo, TRo/CSo.

3. Discussion

High temperature-induced functional leaf senescence is a major factor limiting crop yield and quality [11]. With rising temperatures due to global warming, high temperatures have become a primary stress factor constraining grape production and quality. Leaves, as a crucial location for photosynthesis and gas exchange, exhibit morphological changes that serve as prominent indicators of heat stress in grapevines. These changes not only determine leaf structure and function but also directly reflect the extent of heat damage and senescence [12,13]. This study found that under natural high-temperature conditions in Turpan, young leaves are prone to water loss and wilting induced by heat, while older leaves are more susceptible to chlorosis and senescence. Chlorophyll, the primary pigment for photosynthesis, changes in content are a key feature of leaf senescence [14]. High temperature inhibits chlorophyll synthesis and accelerates its degradation, forcing leaves into functional decline and impairing photosynthesis [15,16,17,18]. This study found chlorophyll content significantly decreased with sustained temperature increase, consistent with findings in grapevines [19], tomatoes [19,20], maize [21], and other crops. However, chlorophyll content in young leaves was relatively higher and persisted longer than in old leaves. Furthermore, chlorophyll content in old leaves continued to decline even after temperatures decreased, indicating irreversible damage and rapid senescence abscission in these functional leaves, potentially a self-protection mechanism in response to heat stress.
Photosynthesis is one of the most heat-sensitive processes in plants. Damage to any component of the photosynthetic apparatus—photosynthetic pigments, Photosystem I (PSI), Photosystem II (PSII), electron transport chain, CO2 release pathways—can hinder photosynthesis [22,23,24]. PSII is particularly sensitive. This study found that sustained high temperature severely damaged both donor and acceptor sides of PSII. Donor side damage was manifested by a significant rise in the K phase of the OJIP curve under high temperature, inhibiting photosynthetic electron transfer and photochemical reactions, reducing the conversion efficiency of light energy in PSII reaction centers, consistent with previous reports [25,26]. Acceptor side damage was shown by a significant increase in fluorescence intensity at the J point, indicating impeded electron transfer from QA to QB and increased heat dissipation [27]. Significant increases in ABS/RC, TRo/RC, DIo/RC, and a significant decrease in ETo/RC suggested that ATP synthesized by photochemical reactions in the early stage of high temperature could still be used for the Calvin cycle to prevent damage from over-excitation in the PSII antenna system. However, as heat stress duration increased, energy transfer between the light-harvesting complex (LHCII) and PSII was inhibited, causing significant decreases in key photosynthetic efficiency parameters like Fv/Fm, Fv/F0, and PIabs [28,29,30,31], consistent with results in rice [32], cucumber [33], rhododendron [34], etc. Additionally, the authors found photosynthetic efficiency parameters recovered slightly as temperatures decreased later, with recovery being more significant in younger leaves, but not fully to initial levels. This is likely related to functional decline in grapevine leaves caused by high temperature.
High temperature leads to massive ROS accumulation and membrane lipid peroxidation. MDA, a key product of peroxidation, can further exacerbate membrane lipid peroxidation, causing dysfunction of cell membranes and macromolecules, and physiological metabolic imbalance [35]. This study found MDA content changed synchronously with temperature, with higher temperatures correlating with higher MDA content. To scavenge excess ROS, plants increase the activities of POD, CAT, and SOD to reduce damage to the cytoplasmic membrane and maintain normal cellular function. Antioxidant enzyme activities peaked during extreme heat and decreased as temperatures fell, indicating a time-dependent physiological response to heat stress [36,37], with variations among leaf ages. For instance, upper leaves had relatively higher antioxidant enzyme activities and lower MDA content compared to middle and lower leaves, suggesting young leaves possess stronger physiological responsiveness than old leaves [2,38].

4. Materials and Methods

4.1. Description of the Study Area

The experiment was conducted in the grapevine germplasm orchard of the Turpan Institute of Agricultural Sciences, Xinjiang Academy of Agricultural Sciences (XAAS). The garden is located at 89°11′ E, 42°56′ N, at an altitude of 0 m, which is located in Gaochang district, Turpan city, Xinjiang, characterized by an extremely hot and arid environment. The annual average temperature is 16.3 °C, with more than 100 days exceeding 35 °C. The summer extreme maximum temperature reaches 52.2 °C. The annual average precipitation is only 16.0 mm, while the annual evaporation exceeds 3600 mm, annual sunshine duration is 2788.4 hours in this area, which was classified as a typical continental warm-temperate desert climate.

4.2. Plant Materials

Two-year-old (2a) ‘Thompson Seedless’ (V. vinifera) grapevine plants with almost the same growth were selected as experimental materials. Seedlings were field-cultivated using a pergola system with a ‘V’-shaped canopy, planted in 1.5 m × 1.0 m plots with north-south row orientation. Furrow irrigation was applied, and the soil type was sandy loam. The seedlings exhibited moderate growth vigor and were maintained under standard horticultural management practices.

4.3. Measurements and Methods

4.3.1. Temperature Monitoring

The experiment was conducted from May 1st to September 30th in 2024. Temperature was monitored at fixed points in the grapevine garden of the Turpan Agricultural Science Research Institute, XAAS. We employed the MicroLite USB temperature data record device (manufactured by Fourier Systems, Fourtec-Fourier Technologies, Ltd., San Francisco, CA, USA) to monitor temperatures at a specific location. Measurements were recorded hourly throughout the entire experimental period (May to September).

4.3.2. Chlorophyll Content Measurement

Representative upper, middle, and lower leaves were selected and marked sequentially. During the natural high-temperature period in Turpan, marked leaves were measured at scheduled times. The relative chlorophyll content of grapevine leaves was determined using a SPAD-502 Plus chlorophyll meter (Konica Minolta, Chiyoda-ku, Tokyo, Japan), expressed as SPAD values. Measurements were taken approximately every 7-10 days, with 3 leaves per treatment and 3 biological replicates, between 11:00 and 13:00. Phenotypic characteristics of leaves were recorded each time as well.

4.3.3. Chlorophyll Fluorescence Parameters

During the entire experimental period with the natural high-temperature period in Turpan, the fully opened grapevine leaves from different positions, including upper, middle, and lower leaves, were selected and marked sequentially. On clear, windless days, photosynthetic characteristics of marked leaves were measured at scheduled times, approximately every 7-10 days, using the OJIP test. Chlorophyll fluorescence parameters (Fo, Fm, Fv, Fv/Fo, Fv/Fm, Vj, Vi, ABS/RC, DIo/RC, TRo/RC, ETo/RC, REo/RC, ψ(Eo), φ(Eo), δ(Ro), φ(Ro), ABS/CSo, DIo/CSo, TRo/CSo, ETo/CSo, REo/CSo, PIabs, etc.) were measured by Handy-PEA fluorometer (Hansatech Instruments Ltd, Norfolk, England, UK) to provide information on the photochemical activity of PSII and the status of the PQ-pool. The sun-exposed grapevine leaves were dark-adapted for 20 minutes using leaf clips before measurement, and fluorescence was induced by saturating light at 3500 μmol/(m2·s).

4.3.4. Antioxidant Enzyme Activities and MDA Content

Sampling occurred between 11:00 and 13:00 during each period. Functional leaves from upper, middle, and lower positions with similar orientation and growth vigor were selected, placed in prepared sealed bags, and stored in liquid nitrogen. Samples were promptly brought to the laboratory. 0.1 g of grapevine leaf tissue was weighed and placed into a mortar (pre-cooled on ice). A small amount of quartz sand was added along with 1.0 mL of prepared extraction buffer, and the tissue was ground into a homogenate on ice. The homogenate was centrifuged at high speed for 10 min, and the supernatant (enzyme extract) was transferred to a 2.0 mL centrifuge tube and stored at 0–4 °C for assay. Superoxide dismutase (SOD) activity was determined using an SOD assay kit (colorimetric method), peroxidase (POD) activity using a POD assay kit (colorimetric method), and catalase (CAT) activity using a CAT assay kit (colorimetric method). Malondialdehyde (MDA) content was determined using an MDA assay kit (colorimetric method).

4.4. Data Analysis

The test data were used for variance analysis (ANOVA), employing the LSD method for multiple comparisons and assessing the significance of differences. The level of p < 0.05 was considered statistically significant, while p < 0.01 denoted a highly significant distinction. Correlation analysis and ANOVA, and figure generation were conducted using GraphPad Prism ver.9.0 (October 2020, Dotmatics Corporation, Boston, MA, USA), and IBM SPSS Statistics ver.26 (June 2019, IBM Corporation, Armonk, NY, USA).

5. Conclusions

High temperatures induce functional senescence in grapevine leaves in an age-dependent manner. Compared to older leaves, younger leaves exhibit enhanced thermotolerance, characterized by delayed chlorophyll degradation, reduced MDA accumulation, and elevated activities of antioxidant enzymes such as POD, CAT, and SOD. Photosystem II (PSII) is particularly susceptible to heat stress, as evidenced by perturbations in OJIP transient kinetics and a decline in photosynthetic parameters including Fv/Fm and PIabs. Although partial recovery of photosynthetic function is observed following temperature reduction, such recovery is incomplete and age-dependent, with older leaves sustaining irreversible damage. It is noteworthy that leaf senescence under high-temperature stress represents not only a passive consequence of physiological dysfunction but also an active adaptive strategy—possibly a self-protective mechanism involving complex regulatory pathways that require further in-depth study.

Author Contributions

Conceptualization, J.W. and M.N.; methodology, S.G., H.Z., and R.A.; software, S.G., J.W., Z.Z., and F.Z.; validation, J.W., M.N., and X.W.; investigation, S.G., R.A., and Z.Z.; writing—review and editing: S.G., R.A., and J.W.; visualization, J.W. and M.N.; supervision, J.W., M.N., and X.W.; funding acquisition, J.W., M.N., and X.W. All authors have read and agreed to the published version of the manuscript.

Funding

This research was funded by the Natural Science Foundation of Xinjiang Uygur Autonomous Region (2023D01A96), by the Xinjiang Uygur Autonomous Region Tianshan Talents Training Program (2022TSYCJC0036), and by the Xinjiang Uygur Autonomous Region Tianchi Talent—Special Expert Project (Xiping Wang, 2022).

Data Availability Statement

The data that support the findings of this study are available upon request from the corresponding author.

Acknowledgments

We would like to thank the supportive and scientific staff in the research lab and the grape research farm of Xinjiang Academy of Agriculture Sciences.

Conflicts of Interest

The authors declare that they have no conflicts of interest.

References

  1. Liu, Z.; Liu, W.; Wu, Q.; Xie, Z.; Qi, K.; Zhang, S.; Wu, J.; Wang, P. ; Dual roles of pear EARLY FLOWERING 4 -like genes in regulating flowering and leaf senescence. BMC Plant Biology 2024, 24, 1117. [Google Scholar] [CrossRef]
  2. Kim, C.; Kim, S.J.; Jeong, J.; Park, E.; Oh, E.; Park, Y.I.; Lim, P.O.; Choi, G. High Ambient Temperature Accelerates Leaf Senescence via PHYTOCHROME-INTERACTING FACTOR 4 and 5 in Arabidopsis. Molecules and cells 2020, 43, 645–661. [Google Scholar] [CrossRef] [PubMed]
  3. Liu, H.; Shen, G.Z.; Fang, X.P.; Fu, Q.J.; Huang, K.-K.; Chen, Y.; Yu, H.; Zhao, Y.; Zhang, L.; Jin, L.; Ruan, S.L. Heat stress-induced response of the proteomes of leaves from Salvia splendens Vista and King. Proteome science 2013, 11, 25. [Google Scholar] [CrossRef] [PubMed]
  4. Venios, X.; Korkas, E.; Nisiotou, A.; Banilas, G. ; Grapevine responses to heat stress and global warming. Plants 2020, 9. [Google Scholar] [CrossRef] [PubMed]
  5. Gong, Z.; Xiong, L.; Shi, H.; Yang, S.; Herrera-Estrella, L.R.; Xu, G.; Chao, D.Y.; Li, J.; Wang, P.Y.; Qin, F. Plant abiotic stress response and nutrient use efficiency. Sci China Life Sci 2020, 63, 635–674. [Google Scholar] [CrossRef]
  6. Zha, Q.; Yin, X.; Xi, X.; Jiang, A. Colored shade nets can relieve abnormal fruit softening and premature leaf senescence of ‘Jumeigui’ grapes during ripening under greenhouse conditions. Plants 2022, 11, 1227. [Google Scholar] [CrossRef]
  7. Asproudi, A.; Petrozziello, M.; Cavalletto, S.; Guidoni, S. Grape aroma precursors in cv. Nebbiolo as affected by vine microclimate. Food Chemistry 2016, 211, 947–956. [Google Scholar] [CrossRef]
  8. Wu, J.; Abudureheman, R.; Zhong, H.; Yadav, V.; Zhang, C.; Ma, Y.; Liu, X.; Zhang, F.; Zha, Q.; Wang, X. The impact of high temperatures in the field on leaf tissue structure in different grape cultivars. Horticulturae 2023, 9, 731. [Google Scholar] [CrossRef]
  9. Wu, J.; Lian, W.J.; Liu, Z.G.; Zeng, X.Y.; Jiang, J.F.; Wei, Y.N. Evaluation of high temperature response and heat tolerance of chlorophyll fluorescence parameters in different grape varieties. Journal of A&F University (Nat. Sci. Ed.) 2019, 47, 80–88. [Google Scholar] [CrossRef]
  10. Cataldo, E.; Puccioni, S.; Eichmeier, A.; Natale, R.; Gori, M.; Biricolti, S. Mattii GB: Effect of zeolite and irrigation treatments on grapevine leaves, an interdisciplinary approach. Plant and Soil 2025, 508, 1007–1026. [Google Scholar] [CrossRef]
  11. Wang, Z.; Guo, J.; Luo, W.; Niu, S.; Qu, L.; Li, J.; Chen, Y.; Li, G.; Yang, H.; Lu, D. Salicylic acid cooperates with lignin and sucrose signals to alleviate waxy maize leaf senescence under heat stress. Plant, cell & environment 2025, 48, 4341–4355. [Google Scholar] [CrossRef]
  12. Zha, Q.; Xi, X.J.; He, Y.N.; Jiang, A.L. High temperature in field: effect on the leaf tissue structure of grape varieties. Chinese Agricultural Science Bulletin 2019, 35, 74–77. [Google Scholar] [CrossRef]
  13. Jiang, J.F.; Zhang, Y.; Tian, Z.S.; Fan, X.C.; Liu, C.H. Observation on microstructure and ultrastucture of leaves in Vitis L. Acta Bot. Boreali-Occident. Sin. 2012, 32, 1365–1371. [Google Scholar]
  14. Li, Z.H.; Guo, Y.F.; Ren, G.D.; Zhang, K.W.; Miao, Y.; Guo, H.W. Advances in leaf senescence research. Plant Physiology Journal 2023, 59, 1627–1656. [Google Scholar] [CrossRef]
  15. Yang, Q.; Wang, T.; Cao, J.; Wang, H.L.; Tan, S.; Zhang, Y.; Park, S.; Park, H.; Woo, H.R.; Li, X.; Xia, X.; Guo, H.; Li, Z. ; Histone variant HTB4 delays leaf senescence by epigenetic control of Ib bHLH transcription factor-mediated iron homeostasis. New Phytol 2023, 240, 694–709. [Google Scholar] [CrossRef] [PubMed]
  16. Sun, Y.J.; Wang, Q.; Shao, Q.W.; Xin, Z.M.; Xiao, H.J.; Cheng, J. Progress in the study of the effect of high temperature stress on plant photosynthesis. Bulletin of Botany 2023, 58, 486–498. [Google Scholar]
  17. Kim, J.S.; Jeon, B.W.; Kim, J. Signaling peptides regulating abiotic stress responses in plants. Frontiers in Plant Science 2021, 12, 704490. [Google Scholar] [CrossRef]
  18. Posch, B.C.; Kariyawasam, B.C.; Bramley, H.; Coast, O.; Richards, R.A.; Reynolds, M.P.; Trethowan, R.; Atkin, O.K. Exploring high temperature responses of photosynthesis and respiration to improve heat tolerance in wheat. Journal of Experimental Botany 2019, 70, 5051–5069. [Google Scholar] [CrossRef]
  19. Wu, J.; Zhong, H.; Ma, Y.; Bai, S.; Yadav, V.; Zhang, C.; Zhang, F.; Shi, W.; Abudureheman, R.; Wang, X. Effects of Different Biostimulants on growth and development of grapevine seedlings under high-temperature stress. Horticulturae 2024, 10, 269. [Google Scholar] [CrossRef]
  20. Jahan, M.S.; Shu, S.; Wang, Y.; Hasan, M.M.; El-Yazied, A.A.; Alabdallah, N.M.; Hajjar, D.; Altaf, M.A.; Sun, J.; Guo, S. Melatonin pretreatment confers heat tolerance and repression of heat-induced senescence in tomato through the modulation of ABA- and GA-mediated pathways. Frontiers in Plant Science 2021, 12, 650955. [Google Scholar] [CrossRef]
  21. Hu, J.; Zhao, X.; Gu, L.; Liu, P.; Zhao, B.; Zhang, J.; Ren, B. The effects of high temperature, drought, and their combined stresses on the photosynthesis and senescence of summer maize. Agricultural Water Management 2023, 289, 108525. [Google Scholar] [CrossRef]
  22. Zha, Q.; Xi, X.; Jiang, A.; Tian, Y. Comparison of the activities of photosystem II of four table grapevine cultivars during high-temperature stress. Horticulture, Environment, and Biotechnology 2018, 59, 363–371. [Google Scholar] [CrossRef]
  23. Guo, Y.; Lu, Y.; Goltsev, V.; Strasser, R.J.; Kalaji, H.M.; Wang, H.; Wang, X.; Chen, S.; Qiang, S. Comparative effect of tenuazonic acid, diuron, bentazone, dibromothymoquinone and methyl viologen on the kinetics of Chl a fluorescence rise OJlP and the MR820 signal. Plant Physiol.Biochem. 2020, 156, 39–48. [Google Scholar] [CrossRef]
  24. Raihan, M.R.H.; Antala, M.; Stróżecki, M.; Haque, M.I.; Hasanuzzaman, M.; Juszczak, R.; Rastogi, A. Silicon-induced photosynthetic adaptations in common buckwheat under salt stress revealed by prompt chlorophyll a fluorescence analysis. Scientific Reports 2025, 15, 19343. [Google Scholar] [CrossRef]
  25. Su, Y.; Li, X.; Cao, Z.; Gao, Z.; Du, Y. Effects of long-term high temperatures in the root zone on the physiological characteristics of grapevine leaves and roots: Implications for viticulture practices. Horticulturae 2024, 10, 245. [Google Scholar] [CrossRef]
  26. Zha, Q.; Xi, X.; He, Y.; Yin, X.; Jiang, A. Effect of short-time high-temperature treatment on the photosynthetic performance of different heat-tolerant grapevine cultivars. Photochemistry and photobiology 2021, 97, 763–769. [Google Scholar] [CrossRef] [PubMed]
  27. Oukarroum, A.; Madidi, S.E.; Schansker, G.; Strasser, R.J. Probing the responses of barley cultivars (Hordeum vulgare L.) by chlorophyll a fluorescence OLKJIP under drought stress and re-watering. Environmental and Experimental Botany 2007, 60, 438–446. [Google Scholar] [CrossRef]
  28. Arief, M.A.A.; Kim, H.; Kurniawan, H.; Nugroho, A.P.; Kim, T.; Cho, B.-K. Chlorophyll Fluorescence Imaging for Early Detection of Drought and Heat Stress in Strawberry Plants. Plants 2023, 12, 1387. [Google Scholar] [CrossRef]
  29. Chen, J.H.; Tang, M.; Jin, X.Q.; Li, H.; Chen, L.S.; Wang, Q.L.; Sun, A.Z.; Yi, Y.; Guo, F.Q. ; Regulation of Calvin-Benson cycle enzymes under high temperature stress. aBIOTECH 2022, 3, 65–77. [Google Scholar] [CrossRef]
  30. Chen, K.; Li, G.J.; Bressan, R.A.; Song, C.P.; Zhu, J.K.; Zhao, Y. Abscisic acid dynamics, signaling, and functions in plants. J Integr Plant Biol. 2020, 62, 25–54. [Google Scholar] [CrossRef]
  31. Chen, S.; Yang, J.; Zhang, M.; Strasser, R.; Qiang, S. Classification and characteristics of heat tolerance in Ageratinaadenophora populations using fast chlorophyll a fluorescence rise O-J-I-P. Environmental and Experimental Botany 2016, 122, 126–140. [Google Scholar] [CrossRef]
  32. Xu, Y.; Chu, C.; Yao, S. The impact of high-temperature stress on rice: Challenges and solutions. The Crop Journal 2021, 9, 963–976. [Google Scholar] [CrossRef]
  33. Yu, B.; Ming, F.; Liang, Y.; Wang, Y.; Gan, Y.; Qiu, Z.; Yan, S.; Cao, B. Heat Stress Resistance Mechanisms of Two Cucumber Varieties from Different Regions. Int. J. Mol. Sci. 2022, 23, 1817. [Google Scholar] [CrossRef]
  34. Xu, Y.; Zhang, J.; Wan, Z.; Huang, S.; Di, H.; He, Y.; Jin, S. Physiological and transcriptome analyses provide new insights into the mechanism mediating the enhanced tolerance of melatonin-treated rhododendron plants to heat stress. Journal of Integrative Agriculture 2023, 22, 2397–2411. [Google Scholar] [CrossRef]
  35. Wu, J.; Liu, G.H.; Xu, G.X.; Riziwangguli, A.; Zhong, H.X.; Liu, Y.X.; Bai, S.J.; Liu, C.H.; Jiang, J.F.; Zha, Q. Research advances on heat tolerance of grapevine [J/OL]. Molecular Plant Breeding, 1-20 [2023-03-07]. https://link.cnki.net/urlid/46.1068.S.20230306.1552.002.
  36. Wang, Y.; Liu, H. ; Transcriptomic and physiological analyses reveal different grape varieties response to high temperature stress. Front. Plant Sci. 2024, 15, 1313832. [Google Scholar] [CrossRef]
  37. Wu, J.; Lian, W.J.; Zeng, X.Y.; Liu, Z.G.; Mao, L.; Liu, Y.X.; Jiang, J.F. Physiological response to high temperature and evaluation of heat tolerance of different grape varieties. Acta Bot.Boreal.-0ccident. Sin. 2019, 39, 1075–1084. [Google Scholar]
  38. Zha, Q.; Zhong, H.; Tang, M.; Yin, X.; Sun, P.; Jiang, A.; Xi, X.; Wu, J. Effects of temperature and light during the veraison period on grape berry growth. Plant Stress 2024, 100642. [Google Scholar] [CrossRef]
Figure 2. The phenotypic characteristics of grapevine leaves at different aging periods in Turpan.
Figure 2. The phenotypic characteristics of grapevine leaves at different aging periods in Turpan.
Preprints 175156 g002
Figure 3. Changes in chlorophyll content of leaves at different senescence stages.
Figure 3. Changes in chlorophyll content of leaves at different senescence stages.
Preprints 175156 g003
Figure 4. Standardized curves of OJIP for leaves at different periods.
Figure 4. Standardized curves of OJIP for leaves at different periods.
Preprints 175156 g004
Figure 5. Standardized radar chart of leaf fluorescence parameters in different periods.
Figure 5. Standardized radar chart of leaf fluorescence parameters in different periods.
Preprints 175156 g005
Figure 6. Antioxidant enzyme activity and MDA content in different periods.
Figure 6. Antioxidant enzyme activity and MDA content in different periods.
Preprints 175156 g006
Figure 7. Correlation analysis of each index parameter. **; shows highly significant correlation at 0.01 level and*; indicates significant correlation at 0.05 level.
Figure 7. Correlation analysis of each index parameter. **; shows highly significant correlation at 0.01 level and*; indicates significant correlation at 0.05 level.
Preprints 175156 g007
Table 1. Temperature variation during the high temperature period (2024).
Table 1. Temperature variation during the high temperature period (2024).
Temperature May Jun Jul Aug Sep
Maximum Temperature/°C 47.13 45.17 44.93 45.99 38.30
Minimum Temperature/°C 14.65 19.87 24.08 21.93 12.15
Average Temperature/°C 30.59 33.35 34.4 33.27 26.22
≥35.00 °C/Day 28 27 28 28 12
≥40.00 °C/Day 14 16 20 15 0
Note: The maximum temperature refers to the average of the daily maximum temperature in that of month, the minimum temperature refers to the average of the minimum temperature in that of month, the average temperature refers to the average of the daily average temperature in that of month, and the duration of ≥35 °C and ≥40 °C refers to the time when the average daily maximum temperature of the month is greater than ≥35 °C and ≥40 °C.
Disclaimer/Publisher’s Note: The statements, opinions and data contained in all publications are solely those of the individual author(s) and contributor(s) and not of MDPI and/or the editor(s). MDPI and/or the editor(s) disclaim responsibility for any injury to people or property resulting from any ideas, methods, instructions or products referred to in the content.
Copyright: This open access article is published under a Creative Commons CC BY 4.0 license, which permit the free download, distribution, and reuse, provided that the author and preprint are cited in any reuse.
Prerpints.org logo

Preprints.org is a free preprint server supported by MDPI in Basel, Switzerland.

Subscribe

Disclaimer

Terms of Use

Privacy Policy

Privacy Settings

© 2026 MDPI (Basel, Switzerland) unless otherwise stated