Submitted:
14 July 2025
Posted:
15 July 2025
You are already at the latest version
Abstract
Keywords:
1. Introduction
2. Materials and Methods
2.1. ICEEMDAN Based on DCS Optimisation
2.1.1. ICEEMDAN
2.1.2. DCS-Based Optimisation of ICEEMDAN Parameters
2.2. OVMD
2.2.1. VMD
2.2.2. OVMD Based on Centre Frequency
2.3. Deep Learning Algorithm
2.3.1. TCN-Transformer
2.3.2. LSTM
2.4. Bivariate Kernel Density Estimation
3. The Proposed Model
3.1. Data Collection
3.2. Improved Secondary Decomposition
3.3. Deep Learning
3.4. Depth Error Correction
3.5. Interval Forecast
3.6. Accuracy Assessment
4. Experiments and Analysis
4.1. Data description
4.2. DCS-ICEEMDAN-OVMD

4.3. Deep Learning Prediction Results
4.4. Depth Error Correction Results
4.5. Interval Prediction Results

4.6. Empirical Analysis
4.6.1. Experiment 1: Validation of the TCN-Transformer Approach
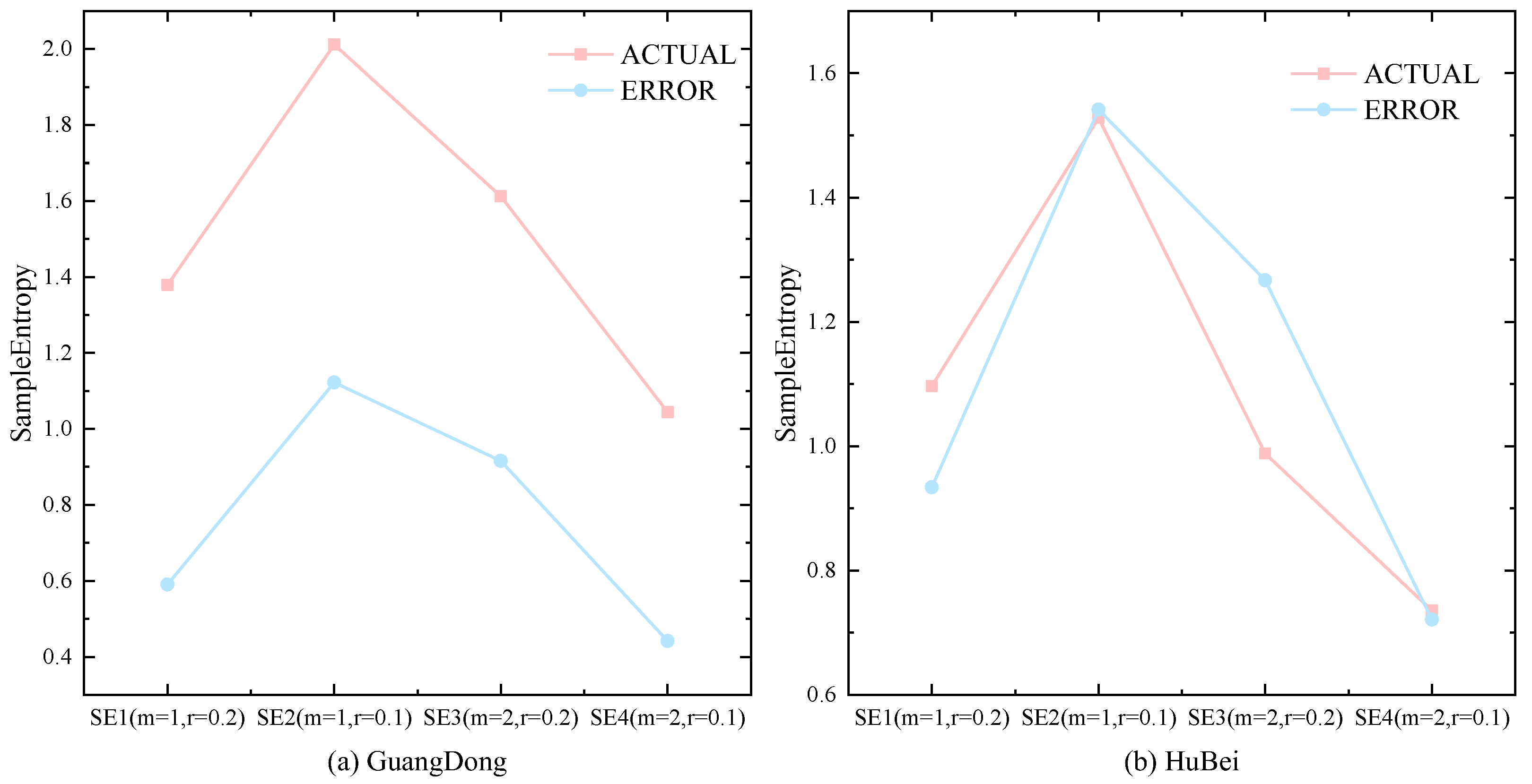
4.6.2. Experiment 2: Verification of the DCS-ICEEMDAN
4.6.3. Experiment 3: Validation of the ISD
4.6.4. Experiment 4: Validation of the Depth Error Correction
4.6.5. Experiment 5: Validation of the Point Prediction Model Proposed in This Paper
4.6.6. Experiment 6: Validation of the BKDE
5. Conclusion
Author Contributions
Funding
Data Availability Statement
Conflicts of Interest
References
- Shang, D.; Pang, Y.; Wang, H. Carbon price fluctuation prediction using a novel hybrid statistics and machine learning approach. Energy 2025, 324, 135581. [Google Scholar] [CrossRef]
- Li, J.; Liu, D. Carbon price forecasting based on secondary decomposition and feature screening. Energy 2023, 278, 127783. [Google Scholar] [CrossRef]
- García-Martos, C.; Rodríguez, J.; Sánchez, M.J. Modelling and forecasting fossil fuels, CO2 and electricity prices and their volatilities. Applied Energy 2013, 101, 363–375. [Google Scholar] [CrossRef]
- Byun, S.J.; Cho, H. Forecasting carbon futures volatility using GARCH models with energy volatilities. Energy Economics 2013, 40, 207–221. [Google Scholar] [CrossRef]
- Zhou, K.; Li, Y. Influencing factors and fluctuation characteristics of China’s carbon emission trading price. Physica A: Statistical Mechanics and its Applications 2019, 524, 459–474. [Google Scholar] [CrossRef]
- Li, P.; et al. Application of a hybrid quantized Elman neural network in short-term load forecasting. International Journal of Electrical Power and Energy Systems 2014, 55, 749–759. [Google Scholar] [CrossRef]
- Nadirgil, O. Carbon price prediction using multiple hybrid machine learning models optimized by genetic algorithm. Journal of Environmental Management 2023, 342, 118061. [Google Scholar] [CrossRef] [PubMed]
- Sun, W.; Sun, C.; Li, Z. A Hybrid Carbon Price Forecasting Model with External and Internal Influencing Factors Considered Comprehensively: A Case Study from China. Polish Journal of Environmental Studies 2020, 29, 3305–3316. [Google Scholar] [CrossRef] [PubMed]
- Li, Y.; Song, J. Research on the Application of GA-ELM Model in Carbon Trading Price – An Example of Beijing. Polish Journal of Environmental Studies 2022, 31, 149–161. [Google Scholar] [CrossRef]
- Wang, Z.; Sun, Z.; Liu, Z. Beijing carbon trading forecast by BP neural network. In Proceedings of the 30th Chinese Control and Decision Conference, 2018., CCDC 2018. [Google Scholar]
- Fan, X.; Li, S.; Tian, L. Chaotic characteristic identification for carbon price and an multi-layer perceptron network prediction model. Expert Systems with Applications 2015, 42, 3945–3952. [Google Scholar] [CrossRef]
- Huang, W.; et al. Convolutional neural network forecasting of European Union allowances futures using a novel unconstrained transformation method. Energy Economics 2022, 110, 106049. [Google Scholar] [CrossRef]
- Pan, D.; et al. Carbon price forecasting based on news text mining considering investor attention. Environmental Science and Pollution Research 2023, 30, 28704–28717. [Google Scholar] [CrossRef] [PubMed]
- Yun, P.; et al. Forecasting Carbon Dioxide Price Using a Time-Varying High-Order Moment Hybrid Model of NAGARCHSK and Gated Recurrent Unit Network. International Journal of Environmental Research and Public Health 2022, 19. [Google Scholar] [CrossRef] [PubMed]
- Zhou, F.; Huang, Z.; Zhang, C. Carbon price forecasting based on CEEMDAN and LSTM. Applied Energy 2022, 311. [Google Scholar] [CrossRef]
- Zhu, B.; et al. A novel multiscale nonlinear ensemble leaning paradigm for carbon price forecasting. Energy Economics 2018, 70, 143–157. [Google Scholar] [CrossRef]
- Wu, Q.; Liu, Z. Forecasting the carbon price sequence in the Hubei emissions exchange using a hybrid model based on ensemble empirical mode decomposition. Energy Science and Engineering 2020, 8, 2708–2721. [Google Scholar] [CrossRef]
- Sun, W.; Li, Z. An ensemble-driven long short-term memory model based on mode decomposition for carbon price forecasting of all eight carbon trading pilots in China. Energy Science & Engineering 2020, 8, 4094–4115. [Google Scholar]
- Wang, J.; et al. An innovative random forest-based nonlinear ensemble paradigm of improved feature extraction and deep learning for carbon price forecasting. Science of the Total Environment 2021, 762. [Google Scholar] [CrossRef] [PubMed]
- Huang, Y.; et al. A hybrid model for carbon price forecasting using GARCH and long short-term memory network. Applied Energy 2021, 285. [Google Scholar] [CrossRef]
- Zhou, J.; Chen, D. Carbon Price Forecasting Based on Improved CEEMDAN and Extreme Learning Machine Optimized by Sparrow Search Algorithm. Sustainability 2021, 13. [Google Scholar] [CrossRef]
- Deng, G.; et al. An enhanced secondary decomposition model considering energy price for carbon price prediction. Applied Soft Computing 2025, 170, 112648. [Google Scholar] [CrossRef]
- Cheng, Y.; Hu, B. Forecasting Regional Carbon Prices in China Based on Secondary Decomposition and a Hybrid Kernel-Based Extreme Learning Machine. Energies 2022, 15. [Google Scholar] [CrossRef]
- Lan, Y.; et al. Breaking through the limitation of carbon price forecasting: A novel hybrid model based on secondary decomposition and nonlinear integration. Journal of Environmental Management 2024, 362, 121253. [Google Scholar] [CrossRef] [PubMed]
- Hu, B.; Cheng, Y. Prediction of Regional Carbon Price in China Based on Secondary Decomposition and Nonlinear Error Correction. Energies 2023, 16. [Google Scholar] [CrossRef]
- Yang, H.; Yang, X.; Li, G. Forecasting carbon price in China using a novel hybrid model based on secondary decomposition, multi-complexity and error correction. Journal of Cleaner Production 2023, 401, 136701. [Google Scholar] [CrossRef]
- Li, Y.; Zhang, X.; Wang, M. A dual decomposition integration and error correction model for carbon price prediction. Journal of Environmental Management 2025, 374, 124035. [Google Scholar] [CrossRef] [PubMed]
- Xu, K.; Niu, H. Preprocessing and postprocessing strategies comparisons: case study of forecasting the carbon price in China. Soft Computing 2023, 27, 4891–4915. [Google Scholar] [CrossRef]
- Zheng, G.; et al. A multifactor hybrid model for carbon price interval prediction based on decomposition-integration framework. Journal of Environmental Management 2024, 363, 121273. [Google Scholar] [CrossRef] [PubMed]
- Zhu, B.; et al. Interval Forecasting of Carbon Price With a Novel Hybrid Multiscale Decomposition and Bootstrap Approach. Journal of Forecasting 2025, 44, 376–390. [Google Scholar] [CrossRef]
- Ji, Z.; et al. A three-stage framework for vertical carbon price interval forecast based on decomposition–integration method. Applied Soft Computing 2022, 116, 108204. [Google Scholar] [CrossRef]
- Zeng, L.; et al. Carbon emission price point-interval forecasting based on multivariate variational mode decomposition and attention-LSTM model. Applied Soft Computing 2024, 157, 111543. [Google Scholar] [CrossRef]
- Hong, J.-T.; et al. Hybrid carbon price forecasting using a deep augmented FEDformer model and multimodel optimization piecewise error correction. Expert Systems with Applications 2024, 247, 123325. [Google Scholar] [CrossRef]
- Duankhan, P.; et al. The Differentiated Creative Search (DCS): Leveraging differentiated knowledge-acquisition and creative realism to address complex optimization problems. Expert Systems with Applications 2024, 252, 123734. [Google Scholar] [CrossRef]
- Sun, X.; Liu, H. Multivariate short-term wind speed prediction based on PSO-VMD-SE-ICEEMDAN two-stage decomposition and Att-S2S. Energy 2024, 305, 132228. [Google Scholar] [CrossRef]
- Zhou, J.; et al. Multi-step ozone concentration prediction model based on improved secondary decomposition and adaptive kernel density estimation. Process Safety and Environmental Protection 2024, 190, 386–404. [Google Scholar] [CrossRef]
- Cui, X.; Niu, D. Carbon price point–interval forecasting based on two-layer decomposition and deep learning combined model using weight assignment. Journal of Cleaner Production 2024, 483, 144124. [Google Scholar] [CrossRef]
- Wu, H.; Du, P. Dual-stream transformer-attention fusion network for short-term carbon price prediction. Energy 2024, 311, 133374. [Google Scholar] [CrossRef]
- Cao, W.; et al. A Remaining Useful Life Prediction Method for Rolling Bearing Based on TCN-Transformer. IEEE Transactions on Instrumentation and Measurement 2025, 74, 1–9. [Google Scholar] [CrossRef]
- Zhou, J.; et al. Significant wave height prediction based on improved fuzzy C-means clustering and bivariate kernel density estimation. Renewable Energy 2025, 245, 122787. [Google Scholar] [CrossRef]
- Zou, S.; Zhang, J. A carbon price ensemble prediction model based on secondary decomposition strategies and bidirectional long short-term memory neural network by an improved particle swarm optimization. Energy Science & Engineering 2024, 12. [Google Scholar]














| Data | Time | Count | Mean | Std. | Min | Max |
| HuBei | 2020/1/2-2024/5/10 | 961 | 39.95 | 7.24 | 24.49 | 61.48 |
| GuangDong | 2020/1/2-2024/5/13 | 1056 | 56.12 | 19.93 | 26.67 | 95.26 |
| GuangDong | HuBei | |||||||
| RMSE | MAE | MAPE | R2 | RMSE | MAE | MAPE | R2 | |
| GRU | 2.5695 | 2.1145 | 2.96% | 0.7839 | 1.1219 | 0.7804 | 1.81% | 0.8022 |
| TCN | 2.4661 | 2.0309 | 2.85% | 0.8010 | 1.1214 | 0.7815 | 1.82% | 0.8023 |
| Transformer | 2.1602 | 1.7447 | 2.46% | 0.8473 | 1.1125 | 0.7783 | 1.81% | 0.8054 |
| TCN-Transformer | 1.9711 | 1.4533 | 2.05% | 0.8729 | 1.0995 | 0.7577 | 1.76% | 0.8100 |
| RMSE | MAE | MAPE | R2 | |
| DCS-ICEEMDAN-GRU | 1.1885 | 0.7389 | 1.05% | 0.9538 |
| DCS-ICEEMDAN-Transformer | 1.1115 | 0.6539 | 0.93% | 0.9596 |
| DCS-ICEEMDAN-TCN | 1.0572 | 0.6084 | 0.87% | 0.9634 |
| DCS-ICEEMDAN-TCN-Transformer | 0.9956 | 0.6522 | 0.94% | 0.9676 |
| PSO-ICEEMDAN-TCN-Transformer | 1.1457 | 0.7217 | 1.02% | 0.9570 |
| GWO-ICEEMDAN-TCN-Transformer | 1.0987 | 0.6737 | 0.97% | 0.9605 |
| WAA-ICEEMDAN-TCN-Transformer | 1.0414 | 0.6906 | 1.00% | 0.9645 |
| RMSE | MAE | MAPE | R2 | |
| DCS-ICEEMDAN-GRU | 0.6249 | 0.4931 | 1.14% | 0.9386 |
| DCS-ICEEMDAN-Transformer | 0.6218 | 0.4900 | 1.13% | 0.9392 |
| DCS-ICEEMDAN-TCN | 0.6218 | 0.4652 | 1.07% | 0.9392 |
| DCS-ICEEMDAN-TCN-Transformer | 0.5803 | 0.4439 | 1.02% | 0.9471 |
| PSO-ICEEMDAN-TCN-Transformer | 0.5812 | 0.4672 | 1.08% | 0.9469 |
| GWO-ICEEMDAN-TCN-Transformer | 0.5833 | 0.468 | 1.08% | 0.9465 |
| WAA-ICEEMDAN-TCN-Transformer | 0.5841 | 0.4697 | 1.08% | 0.9464 |
| RMSE | MAE | MAPE | R2 | |
| OVMD-GRU | 1.8350 | 1.4821 | 2.15% | 0.8898 |
| OVMD-Transformer | 1.8959 | 1.5632 | 2.26% | 0.8824 |
| OVMD-TCN | 1.8472 | 1.5191 | 2.20% | 0.8883 |
| OVMD-TCN-Transformer | 1.6476 | 1.3546 | 1.96% | 0.9112 |
| DCS-ICEEMDAN-GRU | 1.1885 | 0.7389 | 1.05% | 0.9538 |
| DCS-ICEEMDAN-Transformer | 1.1115 | 0.6539 | 0.93% | 0.9596 |
| DCS-ICEEMDAN-TCN | 1.0572 | 0.6084 | 0.87% | 0.9634 |
| DCS-ICEEMDAN-TCN-Transformer | 0.9956 | 0.6522 | 0.94% | 0.9676 |
| ISD-GRU | 0.6616 | 0.5020 | 0.71% | 0.9857 |
| ISD-Transformer | 0.5884 | 0.4099 | 0.58% | 0.9887 |
| ISD-TCN | 0.7338 | 0.4415 | 0.63% | 0.9824 |
| ISD-TCN-Transformer | 0.5700 | 0.3638 | 0.51% | 0.9894 |
| RMSE | MAE | MAPE | R2 | |
| OVMD-GRU | 0.6805 | 0.5300 | 1.23% | 0.9272 |
| OVMD-Transformer | 0.6772 | 0.5269 | 1.22% | 0.9279 |
| OVMD-TCN | 0.6755 | 0.4963 | 1.15% | 0.9283 |
| OVMD-TCN-Transformer | 0.6254 | 0.4933 | 1.14% | 0.9385 |
| DCS-ICEEMDAN-GRU | 0.6249 | 0.4931 | 1.14% | 0.9386 |
| DCS-ICEEMDAN-Transformer | 0.6218 | 0.4900 | 1.13% | 0.9392 |
| DCS-ICEEMDAN-TCN | 0.6218 | 0.4652 | 1.07% | 0.9392 |
| DCS-ICEEMDAN-TCN-Transformer | 0.5841 | 0.4697 | 1.08% | 0.9464 |
| ISD-GRU | 0.5012 | 0.3892 | 0.90% | 0.9605 |
| ISD-Transformer | 0.5006 | 0.4103 | 0.95% | 0.9606 |
| ISD-TCN | 0.5003 | 0.4093 | 0.95% | 0.9607 |
| ISD-TCN-Transformer | 0.4979 | 0.4078 | 0.94% | 0.9610 |
| Model | RMSE | MAE | MAPE | R2 | |
| GuangDong | ISD-TCN-Transformer-EC1 | 0.4342 | 0.2471 | 0.36% | 0.9940 |
| ISD-TCN-Transformer-EC2 | 0.3568 | 0.1760 | 0.26% | 0.9959 | |
| ISD-TCN-Transformer-EC3 | 0.3194 | 0.1388 | 0.20% | 0.9967 | |
| ISD-TCN-Transformer-EC4 | 0.2893 | 0.1171 | 0.17% | 0.9973 | |
| HuBei | ISD-TCN-Transformer-EC1 | 0.4608 | 0.3684 | 0.87% | 0.9670 |
| ISD-TCN-Transformer-EC2 | 0.2906 | 0.2184 | 0.51% | 0.9869 | |
| ISD-TCN-Transformer-EC3 | 0.1678 | 0.1352 | 0.32% | 0.9956 | |
| ISD-TCN-Transformer-EC4 | 0.1534 | 0.1172 | 0.28% | 0.9963 |
| Model | RMSE | MAE | MAPE | R2 | |
| GuangDong | Zou’s model | 0.3570 | 0.1876 | 0.28% | 0.9959 |
| Li’s model | 0.3337 | 0.1602 | 0.24% | 0.9964 | |
| Deng’s model | 0.4367 | 0.2485 | 0.37% | 0.9939 | |
| Propoed | 0.2893 | 0.1171 | 0.17% | 0.9973 | |
| HuBei | Zou’s model | 0.4088 | 0.3028 | 0.71% | 0.9740 |
| Li’s model | 0.4251 | 0.3152 | 0.74% | 0.9719 | |
| Deng’s model | 0.4815 | 0.3893 | 0.91% | 0.9639 | |
| Propoed | 0.1534 | 0.1172 | 0.28% | 0.9963 |
| Name | Published year | Major contribution | Disadvantages compared with the proposed model |
| Zou’s model | 2024 | •CEEMD-VMD secondary decomposition technology is adopted •Optimize LSTM with IPSO |
•Ignore the importance of CEEMD and VMD parameter selection •Neglects interval estimation |
| Li’s model | 2025 | •Apply one decomposition technique to error correction •The decomposed components were classified |
•The secondary decomposition technique is not considered to be introduced into the error correction algorithm •No secondary decomposition technology is used |
| Deng’s model | 2025 | •An enhanced secondary decomposition technique is proposed to solve the problem of over-decomposition of secondary decomposition |
•Neglects interval estimation •The adaptive ability of secondary decomposition technology is not strengthened |
| GuangDong | HuBei | |||||
| PICP | PINAW | CWC | PICP | PINAW | CWC | |
| T Location Scale | 0.7630 | 0.0078 | 0.1468 | 0.7172 | 0.0047 | 0.1284 |
| Logistic | 0.7393 | 0.0073 | 0.1440 | 0.7475 | 0.0050 | 0.1299 |
| Normal | 0.7962 | 0.0082 | 0.1493 | 0.7172 | 0.0047 | 0.1283 |
| GMM | 0.7346 | 0.0075 | 0.1449 | 0.7071 | 0.0047 | 0.1282 |
| KDE | 0.7536 | 0.0077 | 0.1464 | 0.7071 | 0.0049 | 0.1296 |
| BKDE | 0.9617 | 0.0336 | 0.0336 | 0.9842 | 0.0784 | 0.0784 |
Disclaimer/Publisher’s Note: The statements, opinions and data contained in all publications are solely those of the individual author(s) and contributor(s) and not of MDPI and/or the editor(s). MDPI and/or the editor(s) disclaim responsibility for any injury to people or property resulting from any ideas, methods, instructions or products referred to in the content. |
© 2025 by the authors. Licensee MDPI, Basel, Switzerland. This article is an open access article distributed under the terms and conditions of the Creative Commons Attribution (CC BY) license (http://creativecommons.org/licenses/by/4.0/).