Submitted:
23 June 2025
Posted:
23 June 2025
You are already at the latest version
Abstract
Keywords:
1. Introduction
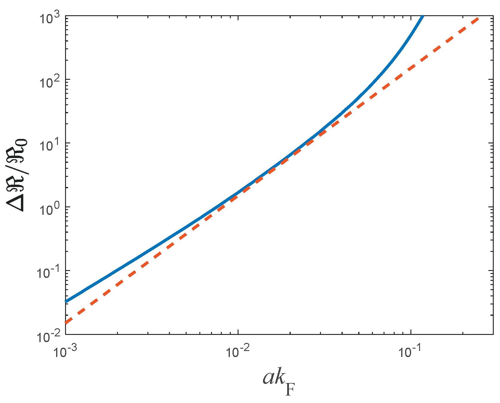
2. Generic Approximate Solution
3. Exact Numerical Solution
4. Experimental Realization
5. Summary
References
- Landauer, R. Spatial variation of currents and fields in metal films and surfaces. IBM J. Res. Dev. 1957, 1, 223–231. [Google Scholar] [CrossRef]
- Büttiker, M. Four-terminal phase-coherent conductance. Phys. Rev. Lett. 1986, 57, 1761. [Google Scholar] [CrossRef] [PubMed]
- Datta, S. Electronic Transport in Mesoscopic Systems; Cambridge University Press: Cambridge, England, 1995. [Google Scholar]
- Beenakker, C.W.J. Random-matrix theory of quantum transport. Rev. Mod. Phys. 1997, 69, 731. [Google Scholar] [CrossRef]
- van Wees, B.J.; van Houten, H.; Beenakker, C.W.J.; Williamson, J.G.; Kouwenhoven, L.P.; van der Marel, D.; Foxon, C.T. Quantized Conductance of Point Contacts in a Two-Dimensional Electron Gas. Phys. Rev. Lett. 1988, 60, 848. [Google Scholar] [CrossRef] [PubMed]
- Kouwenhoven, L.P.; van Wees, B.J.; Harmans, C.J.P.M.; Williamson, J.G.; van Houten, H.; Beenakker, C.W.J.; Foxon, C.T.; Harris, J.J. Nonlinear Conductance of Quantum Point Contacts. Physical Review B 1989, 39, 8040. [Google Scholar] [CrossRef] [PubMed]
- von Klitzing, K.; Dorda, G.; Pepper, M. New Method for High-Accuracy Determination of the Fine-Structure Constant Based on Quantized Hall Resistance. Phys. Rev. Lett. 1980, 45, 494. [Google Scholar] [CrossRef]
- Tsui, D.C.; Stormer, H.L.; Gossard, A.C. Two-Dimensional Magnetotransport in the Extreme Quantum Limit. Phys. Rev. Lett. 1982, 48, 1559. [Google Scholar] [CrossRef]
- Kouwenhoven, L.P.; Austing, D.; Tarucha, S. Few-electron quantum dots. Rep. Prog. Phys. 2001, 64, 701. [Google Scholar] [CrossRef]
- Griffiths, D.J.; Schroeter, D.F. Introduction to Quantum Mechanics, 3rd ed.; Cambridge University Press: Cambridge, UK, 2018. [Google Scholar]
- Ashcroft, N.W.; Mermi, N.D. Solid State Physics; Holt, Rinehart and Winston: New York, 1976. [Google Scholar]
- Merzbacher, E. Quantum Mechanics, 2nd ed.; Wiley & Sons: New York, 1970. [Google Scholar]
- Davies, J.H. The Physics of Low-Dimensional Semiconductors: An Introduction; Cambridge Univ. Press: Cambridge, UK, 1998. [Google Scholar]
- Tsu, R.; Esaki, L. Tunneling in a Finite Superlattice. Appl. Phys. Lett. 1973, 22, 562. [Google Scholar] [CrossRef]
- Anantram, M.P.; Datta, S. Current-Fluctuation in Mesoscopic Systems with a δ-Function Barrier. Phys. Rev. B 1996, 53, 16390. [Google Scholar] [CrossRef] [PubMed]
- Barnard, C.; Quinn, J.J. Quantum Transport through a Short Barrier in a Wide Quantum Wire. Phys. Rev. B 1995, 52, 15893. [Google Scholar]
- Imry, Y. Introduction to Mesoscopic Physics, 2nd ed.; Oxford Univ. Press: Oxford, UK, 2002. [Google Scholar]


Disclaimer/Publisher’s Note: The statements, opinions and data contained in all publications are solely those of the individual author(s) and contributor(s) and not of MDPI and/or the editor(s). MDPI and/or the editor(s) disclaim responsibility for any injury to people or property resulting from any ideas, methods, instructions or products referred to in the content. |
© 2025 by the authors. Licensee MDPI, Basel, Switzerland. This article is an open access article distributed under the terms and conditions of the Creative Commons Attribution (CC BY) license (http://creativecommons.org/licenses/by/4.0/).