Submitted:
12 June 2025
Posted:
16 June 2025
You are already at the latest version
Abstract

Keywords:
1. Introduction
2. Materials and Methods
2.1. ASOS Data
2.2. Aviation and Meteorological Gust Factors
3. Results
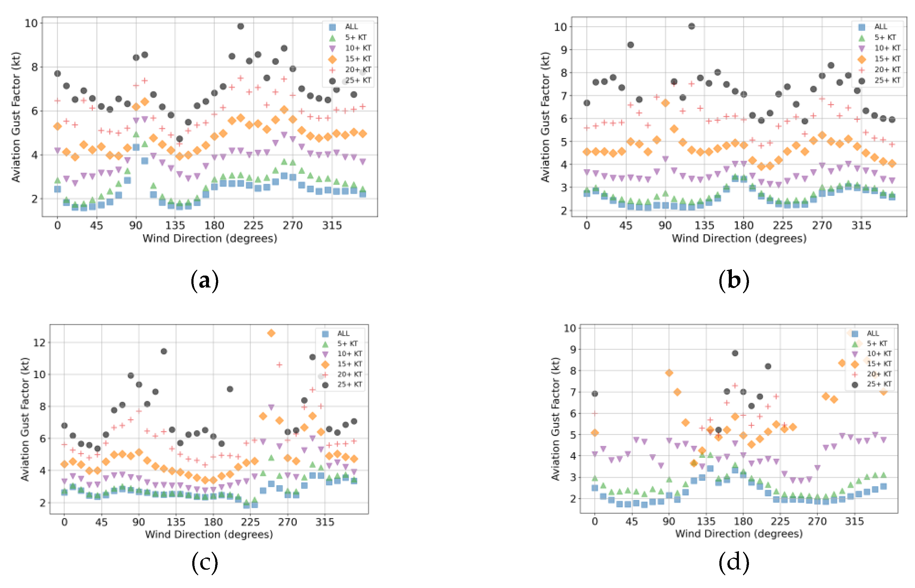
3.1. Unfiltered Average Gust Factors by Direction



3.2. Filtered Average Gust Factors by Direction


3.3. Correlation Between GFmet and GFavn as a Function of Gust Filtering
3.4. NTSB Case CEN18LA172 Borger, Texas
3.4. ASOS Location Change at Manchester-Boston Regional Airport (KMHT)


4. Discussion
- A modified version of the meteorological gust factor is used and is shown to be the aviation gust factor normalized by the sustained wind speed. This version allows both gust factors to have minimum values of zero when the gust speed approaches the sustained wind speed.
- The averaged GFmet, by direction, is sensitive to local obstructions ranging from smaller nearby airport equipment and small buildings to larger generalized areas of airport development. The averaged GFavn, by direction, is not as responsive to local obstructions, but cases of severe obstruction impact on GFavn are observed to occur. Local obstructions in the vicinity of the ASOS Unit can make the evaluation of mechanical turbulence by natural features of airport development difficult.
- GFmet and GFavn, without filtering by gust values, are often poorly correlated, but a subset of airport locations have substantive negative correlations that may be caused by a specific ASOS siting scenario. GFmet and GFavn, when filtered by including only gusts of at least 15 knots, have a generally high correlation.
- A case of an ASOS relocation indicated that GFmet directional variation was significantly impacted, but the GFavn directional variation was largely preserved and supports the notion that the GFavn is more representative of larger-scale roughness and/or meteorologically driven gust events.
Author Contributions
Funding
Acknowledgments
Conflicts of Interest
Abbreviations
| ASOS | Automated Surface Observing System |
| FAA | Federal Aviation Administration |
| ICAO | International Civil Aviation Organization |
| METAR | Meteorological Aerodrome Report |
| MRLC | Multi-Resolution Land Characteristics |
| NASA | National Aeronautics and Space Administration |
| NLCD | National Land Cover Database |
| NOAA | National Oceanic and Atmospheric Administration |
| SPECI | special meteorological report |
| VOR | Very High Frequency (VHF) Omnidirectional Range |
| WMO | World Meteorological Organization |
Appendix A
| ASRS Report Number | Location | Date | Relevant report text |
|---|---|---|---|
| 1960621 | Unknown | 12/2022 | “This airport is known for rogue gusts as it sits on a hill with the south side of the runway having rising terrain, which seems to create gusts at the numbers on [the] Runway XY approach.” “Much of the time AWOS reports variable wind instead of a direction because it is varying anywhere from 20 – 40 degrees.” |
| 1911945 | Unknown | 06/2022 | “There are buildings (and the helicopter pad) to the immediate north-east of the runway. Given wind direction, it is likely that the first part of the runway had stable winds, but the later part of the runway had more abnormal gusts and eddies caused by wind at the time flowing over those structures.” |
| 1910295 | Unknown | 06/2022 | “The gusty conditions interacting with the large buildings of the city led to downdrafts and mechanical turbulence that kept sucking us down as we tried to climb.” |
| 1887173 | Unknown | 03/2022 | “I think it's possible that the wind that we experienced was higher than what was reported; or possibly the direction of the wind, coming through the hangers and other airport buildings, might have introduced wind shear at the worst possible point in our landing.” |
| 1864945 | Unknown | 12/2021 | “The east side of the airport is where the control tower, some hangers, and trees are. With the winds being out of the east it makes me wonder if we had a weird gust of wind mixed with some mechanical turbulence.” |
| 1760076 | Unknown | 08/2020 | “I wonder if there could be a connection between the CRJ holding short, perpendicular to the numbers and the easterly, variable winds--possibly generating a unique mechanical turbulence which caused the rapid decay in descent so close to the runway” |
| 1509079 | Unknown | 12/2017 | “Rather than return to the airport of departure, which was beyond some hills creating orographic turbulence that could have added to the load factor, I elected to return to a nearby airport that had long, wind-aligned runways” |
| 1420057 | Unknown | 01/2017 | “Trees, hills, and the open area probably produced gusts and directional changes in the wind.” |
| 1383903 | Unknown | 08/2016 | “I believe the combination of the small amount of ice, aileron deflection and mechanical turbulence from buildings on the upwind side of the runway caused the left wing to stall at a higher than normal airspeed, resulting in the uncommanded left roll.” |
| 1363436 | Alturas, California (AAT) | 06/2016 | “In the flare, the aircraft dropped suddenly due to mechanical turbulence created from the wind flowing over the hangars/FBO/trees on the NW side of the airport.” |
| 1340662 | Unknown | 02/2016 | “During the landing, I encountered a gusting wind and mechanical turbulence from the building and terrain on the west side of runway 14” |
| 1071503 | Unknown | 03/2013 | “The crosswind component was 25 KTS and the tailwind component 9 KTS. We chose Runway XX to avoid mechanical turbulence associated with terrain south of the airport.” |
| 1050984 | Alaska | 11/2012 | “At this airport moderate or greater mechanical turbulence can be expected below 1,500-2,000 feet when there are strong winds out of the northwest or northeast quadrants” |
| 1045076 | Melbourne, FL (MLB) | 10/2012 | “There are buildings (and the helicopter pad) to the immediate north-east of the runway. Given wind direction, it is likely that the first part of the runway had stable winds, but the later part of the runway had more abnormal gusts and eddies caused by wind at the time flowing over those structures.” |
| 1016862 | Unknown | 06/2012 | “I thought this must have been due to mechanical turbulence associated with the gusty winds (approximately 150 degrees) coming over the terminal.” |
| 989017 | Unknown | 01/2012 | “The wind was gusty and there was some mechanical turbulence from a large hangar across the runway.” |
| 944692 | Unknown | 04/2011 | “The reported winds, later verified with airport operations, were 180 degrees at four knots. However, the winds were coming from the side of the airport where buildings are relatively close to the runway.” |
| 919797 | Unknown | 11/2010 | “We were high as there was orographic turbulence and we were asked by Tower to turn an early base because there was inbound traffic on long final.” |
| 713739 | LaGuardia, NY (LGA, East River Exclusion Zone) | 10/2006 | “4) THE HT AND PLACEMENT OF THE BUILDINGS AND LCL GEOGRAPHY CREATE UNPREDICTABLE LCL WIND AND WX CONDITIONS.” |
| 497557 | Buffalo, NY (BUF) | 01/2001 | “RPTR CLAIMS WINDSHEAR EQUIP AT BUF DOES NOT GIVE ACCURATE READINGS BECAUSE IT IS AMONGST SURROUNDING VEGETATION AND BUILDINGS.” |
| 485620 | Mammoth Lakes, California (MMH) | 09/2000 | “THE RWY IS SURROUNDED BY EXTREMELY RUGGED AND HIGH TERRAIN AND HAS ASSOCIATED TURB AND GUSTS.” |
| 137899 | Marquette, MI (MQT) | 02/1990 | “THE LCL TERRAIN INCLUDES A LARGE ROCK HILL JUST TO THE N OF RWY 08-26 IN MARQUETTE. THIS HILL CREATES MECHANICAL TURBULENCE AROUND IT WHICH MAKES THE WIND VARIABLE ACROSS THE ARPT PROPERTY, AND CREATING SITUATIONS SUCH AS THE "WHITE OUT" WE ENCOUNTERED.” |
| ICAO Airport Code | Isolated obstructions or siting issues |
|---|---|
| KABQ | None noted |
| KAOO | House 90 m northeast of ASOS |
| KAZO | None noted |
| KBGD | Hangars 50 m northwest of ASOS |
| KBUF | Airport structure 75 m north-northeast of ASOS |
| KCKV | House 160 m south-southeast of ASOS |
| KDFW | ATC tower 290 m east of ASOS |
| KGEZ | Farm silos 260 m north-northeast of ASOS |
| KGLS | VOR 345 m west-southwest of ASOS |
| KHGR | Airport terminal 115 m south-southwest of ASOS |
| KHSV | Patch of trees 115 m west of ASOS |
| KIDA | Glide slope equipment 15 m northeast of ASOS |
| KLXV | ASOS locate next to large area of trees |
| KMHT | Buildings 165 m east-northeast of ASOS |
| KONT | None noted |
| KOVE | Road with trees 20 m west of ASOS |
| KPAE | Large airport structure 80 m southeast of ASOS |
| KPKD | Hangars 25 m northeast of ASOS |
| KSLC | None noted |
| KTCC | None noted |
Appendix B




Appendix C




Appendix D




References
- Aguiar, M.; Stolzer, A.; Boyd, D. D. Rates and causes of accidents for general aviation aircraft operating in a mountainous and high elevation terrain environment. Accident Analysis & Prevention 2017, 107, 195–201. [Google Scholar]
- Federal Aviation Administration (2008). On Landings, Part II. FAA-P-8740-49.
- Federal Aviation Administration. (2022). Airplane Flying Handbook: FAA-H-8083-3C (2025). Simon and Schuster.
- Rooney, H. (2023). Utilizing Flight Data Monitoring at a Part 141 Flight School to Determine Predictors for Unstabilized Approaches and Go-arounds.
- Federal Aviation Administration; US Department of Transportation. Turbulence. In Aviation Weather Handbook; Academics, A.S., Ed.; Aviation Supplies & Academics, Inc.: Newcastle, WA, USA, 2022. [Google Scholar]
- National Transportation Safety Board Aviation Database (2025), https://www.ntsb.gov/Pages/AviationQueryv2.aspx, Last accessed. 24 May.
- Aviation Safety Reporting System: ASRS Database Online. (2025). https://asrs.arc.nasa.gov/search/database.html. Last accessed. 26 May.
- Fang, P.; Huo, T.; Pan, J.; Luan, G. Variations in gust factor with wind direction and height based on the measurements from a coastal tower during three landfalling typhoons. Tropical Cyclone Research and Review 2024, 13(3), 187–195. [Google Scholar] [CrossRef]
- Paulsen, B. M.; Schroeder, J. L. An examination of tropical and extratropical gust factors and the associated wind speed histograms. Journal of Applied Meteorology 2005, 44(2), 270–280. [Google Scholar] [CrossRef]
- Harris, A. R.; Kahl, J. D. Gust factors: Meteorologically stratified climatology, data artifacts, and utility in forecasting peak gusts. Journal of Applied Meteorology and Climatology 2017, 56(12), 3151–3166. [Google Scholar] [CrossRef]
- Coen, J. Some requirements for simulating wildland fire behavior using insight from coupled weather—wildland fire models. Fire 2018, 1(1), 6. [Google Scholar] [CrossRef]
- World Meteorological Organization (WMO). Guide to Meteorological Instruments and Methods of Observation, 2014 ed.; Updated in 2017; WMO: Geneva, Switzerland, 2017; p. 1165. [Google Scholar]
- NOAA, 1994: Federal standards for siting meteorological sensors at airports. Office of the Federal Coordinator for Meteorological Observations and Supporting Research, FCM-S4-1994. [Available online at http://www.ofcm.gov/siting/text/a-cover.htm].
- Fovell, R. G.; Gallagher, A. Winds and gusts during the Thomas fire. Fire 2018, 1(03), 47. [Google Scholar] [CrossRef]
- NOAA, 1998: Automated Surface Observing System (ASOS) user’s guide. NOAA Tech. Doc.; 72 pp.; https://www.weather.gov/media/asos/aum-toc.pdf.
- Yu, B.; Gan Chowdhury, A. Gust factors and turbulence intensities for the tropical cyclone environment. Journal of Applied Meteorology and Climatology 2009, 48(3), 534–552. [Google Scholar] [CrossRef]
- Seastrand, S. R. (2018). The Seasonal Predictability of Extreme Wind Events in the Southwest United States (Doctoral dissertation, The University of Arizona).


| NTSB Case Number | Location | Date | Synopsis | ||
|---|---|---|---|---|---|
| ERA23LA187 | Cedar Key, Florida | 04/07/2023 | Mechanical turbulence encountered crossing the runway 23 threshold. | ||
| ANC19CA002 | Gambell, Alaska | 10/23/2018 | Aircraft was flown higher than the glideslope in anticipation of mechanical turbulence expected by the pilot when winds are out of the east. | ||
| CEN18LA172 | Borger, Texas | 05/11/2018 | Pilot reported strong updrafts in association with unusual landforms on short final. | ||
| CHI08CA013 | Middlefield, Ohio | 10/04/2007 | Pilot reported a sudden loss of lift on approach due to mechanical turbulence from trees. | ||
| FTW98LA247 | Claremore, Oklahoma | 05/28/1998 | Pilot reported being unable to maintain altitude due to mechanical turbulence from trees off the end of the runway. | ||
| FTW85LA241 | Fort Worth, Texas | 05/31/1985 | Mechanical turbulence from nearby buildings on takeoff. |
| ICAO Airport Code | Location | NLCD % Developed L-M-H, Forest 1 |
|---|---|---|
| KABQ | Albuquerque, NM | 58.3, 00.0 |
| KAOO | Altoona, PA | 14.5, 07.1 |
| KAZO | Kalamazoo, MI | 46.5, 05.4 |
| KBGD | Borger, TX | 28.9, 00.0 |
| KBUF | Buffalo, NY | 84.2, 00.2 |
| KCKV | Clarksville, TN | 42.1, 12.7 |
| KDFW | Dallas-Fort Worth, TX | 86.9, 01.2 |
| KGEZ | Shelbyville, IN | 16.9, 02.4 |
| KGLS | Galveston, TX | 40.6, 00.0 |
| KHGR | Hagerstown, MD | 41.0, 02.4 |
| KHSV | Huntsville, AL | 28.6, 00.5 |
| KIDA | Idaho Falls, ID | 42.5, 00.0 |
| KLXV | Leadville, CO | 12.2, 54.3 |
| KMHT | Manchester, NH | 48.0, 24.6 |
| KONT | Ontario, CA | 92.1, 00.0 |
| KOVE | Oroville, CA | 09.8, 00.0 |
| KPAE | Everett, WA | 64.9, 11.6 |
| KPKD | Park Rapids, MN | 19.5, 11.8 |
| KSLC | Salt Lake City, UT | 86.1, 00.0 |
| KTCC | Tucumcari, NM | 02.3, 00.0 |
Disclaimer/Publisher’s Note: The statements, opinions and data contained in all publications are solely those of the individual author(s) and contributor(s) and not of MDPI and/or the editor(s). MDPI and/or the editor(s) disclaim responsibility for any injury to people or property resulting from any ideas, methods, instructions or products referred to in the content. |
© 2025 by the authors. Licensee MDPI, Basel, Switzerland. This article is an open access article distributed under the terms and conditions of the Creative Commons Attribution (CC BY) license (http://creativecommons.org/licenses/by/4.0/).