Preprint
Article

This version is not peer-reviewed.

Electrochemical Polymerization of Guaiacol in Organic Solvents and Analytical Performance of the Poly(guaiacol) Modified Electrode Towards Phenol Antioxidants

A peer-reviewed article of this preprint also exists.

Submitted:

31 May 2025

Posted:

02 June 2025

You are already at the latest version

Abstract
The electrochemical polymerization of guaiacol was studied in different organic solvents and significant electrode blocking was observed in dichloromethane and microscopic studies verified the formation of coherent deposit on platinum electrode. In acetonitrile the insulating deposit formation proceeded above 20 mM monomer concentration. The differences between acetic acid and ethyl acetate allowed us to make estimations for composition of their binary solvent mixtures utilizing the shape of curves related to guaiacol electropolymerization but only in a narrow range. Guaiacol was not therefore reliable in solvent composition estimations. Poly(guaiacol) modified platinum macroelectrode was assessed in analyses in solutions prepared with organic solvents due to its apolar nature. The analytical performance of the modified electrode was tested in case of butylhydroxyanisole and butylhydroxytoluene. Linear sweep voltammetry was applied under stirred conditions and diminished noise of stirring was experienced compared with the bare electrode but with lower sensitivity.
Keywords: 
;  ;  

1. Introduction

For several decades electrochemical polymerizations are in focus of research due to a series of applications. The monomers themselves or a moiety within the molecule are possible for the layer growth during the polarization which is anodic almost in each cases. Of the monomers phenols are one of the most popular compounds whose electrochemical polymerization is the most widely studied. Several investigations confirmed that when monohydroxy phenols undergo oxidation the para position is far the most favoured in coupling of monomers when this position is not occupied by a substituent. In general application of basic solutions leads to the very efficient coating of the conducting surfaces as phenolate ions are the reactant [1]. When phenols are electrochemically oxidized more processes undergo simultaneously like initiation (formation of the corresponding phenoxyl radical), propagation, chain growth termination, tail-to-tail coupling. In respect of layer growth the head-to-tail couplings are important where the corresponding poly(phenyleneoxides) form [2].
There are many deposits of polyphenols and most of them can serve as protective coating against corrosion both in acidic and basic conditions and methoxyphenol polymers exhibited excellent properties in metal protection [3]. Due to the carbon-carbon and ether linkages these coatings are resistant to hydrolysis. The reaction medium influences the composition of organic film and at the same time the surface state of the metal aimed to protect in aggressive media [4].
In the literature mainly guaiacol derivatives are studied extensively for decades to prepare coatings also for electroanalytical applications. The electrocatalytic properties can be boosted by electrode modification not only in respect of sensitivity but also selectivity. Many deposits have permselective properties especially towards neurotransmitters whose molecular sizes are smaller than other frequently occurring larger interfering compounds. In work of Milczarek et. al. guaiacol and more derivatives proved their excellent properties in selectivity in presence of ascorbic acid, uric acid and acetaminophen by using flow injection analysis [5]. The polyeugenol modified platinum electrode served an excellent choice to attain the low interference of ascorbic acid in the determination of dopamine [6]. It is well known that many compounds bearing guaiacol moiety undergo a demethylation in certain conditions leading to appearance of o-benzoquinone parts in the film thus being able to catalyse the electrooxidation of dopamine which has catechol part which plays the role of binding site. Several modes exist on the other hand for the modification of electrodes with polyeugenol films which are summarized in [7]. In is worth mentioning that in vivo oxygen sensing was possible with polyeugenol film as permselective layer in the brain as level of oxygen here is a marker of some diseases [8].
Similarly to eugenol the electropolymerized form of curcumin has electrocatalytic properties which was tested successfully in the simultaneous determination of some neurotransmitters which was based on the formed o-quinone parts [9]. Polycurcumin nanospheres proved their usefulness in quantification of mercury ions as due to the functional groups of modification layer complexes form elevating the application of differential pulse anodic stripping voltammetry as detection technique [10].
Coniferyl alcohol is also a guaiacol derivative and artificial lignin builds up during its electrooxidation [11]. This process was carried out both in aqueous and organic (CH2Cl2/methanol) systems and according to the expectations the polymerization took place in both types of solutions but in organic media the composition was different indicated by identical ether linkages.
Vanillin and vanillic acid are also popular in electrode modification through their anodic polymerization. Poly(vanillic acid) showed excellent properties on carbon nanotube modified glassy carbon electrode for simultaneous determination of ascorbic acid, dopamine and uric acid [12]. Dopamine and ascorbic acid quantification was possible with carbon paste electrode modified with polyvanillin [13]. This modified electrode exhibited signal enhancement in analysis of adrenaline and uric acid [14], results verified that the strong adsorption of analytes rendered the as-modofied electrode an excellent choice. When platinum electrode was covered by polyvanillin deposit the electroanalysis of a-lipoic acid could be carried out [15].
Electropolymerized ferulic acid was examined both in aqueous and organic solvents but the previous was only appropriate for the polymer formation [16]. More products formed in the electrooxidation reaction which served also as intermediates for film propagation. When carbon nanotubes were modified with poly(ferulic acid) o-quinone moieties formed and polymerization occurred through the carbon-carbon double bond thus elevating analysis of bioactive materials [17].
Functionalization of high conductance carbon black with syringic acid through covalent immobilization made possible the detection of L-cysteine [18]. The preparation of poly(2-methoxy-4-vinylphenol) on multiwalled carbon nanotubes by free radical polymerization using glassy carbon as template led to the anodic oxidation of NADH with low overpotential [19]. The molecularly imprinted film of poly(scopoletin) was capable of sensing human serum albumin [20].
As guaiacol has not been studied widely in non-aqueous solvents (unlike its natural and synthetic derivatives) it was one of the targets of the present work. The deposition studies were conducted mainly in basic environments to enhance the quantity and compactness of deposit so the utilization of polymers formed without acidic and basic additive had high interest in respect of possible applications. The role of this compound in electroanalysis was highlighted in two respects. Its electropolymerization as an indicator of solvent composition and its polymer in electroanalysis of butylhydroxytoluene under stirred conditions.

2. Materials and Methods

All chemicals used were analytical reagent grade and used as received. The three electrode cell used for the voltammetric experiments comprised a silver wire reference, a platinum rod counter and a 1 mm in diameter platinum disc working electrode. In some experiments a 25 μm in diameter platinum microdisc was applied. The macrodisc was sealed in polyetheretherketone and the microdisc in glass. The active surfaces of electrodes were cleaned by polishing on a polishing cloth immersed with the aqueous suspension of alumina. Then the electrodes were cleaned with thorough washing with distilled water followed by ultrasonication in a bath to remove adsorbed species originating from the polishing. The potentiostat used during the experiments was Dropsens (Spain, Oviedo). The supporting electrolyte utilized throughout the experiments was tetrabutylammonium perchlorate (TBAP).
The micrographs of deposits were prepared with a Jeol JSM-IT500HR scanning electron microscope (SEM) (Jeol, Tokyo, Japan). The equipment operated at an acceleration voltage of 5 kV. Before microscopic studies the Pt electrodes were thoroughly cleaned with polishing, ultrasonicating and finally rinsing with dry acetone to remove water and consequently to prevent the adsorption of flue-dust particles and water facilitates highly this process as it evaporates very slowly compared with acetone. At the end of electrolysis the prepared layers were washed with the pure solvent used to remove supporting electrolyte and unreacted monomers from them.

3. Results

In general, the position of substituents in phenols determines the susceptibility to electrode fouling and para position is the most significantly favourable. Earlier investigations were conducted in basic solutions of guaiacol and its derivatives to obtain an adherent and compact layer. On the other hand, solvent plays a critical role in the development of deposits as a result of monomer oxidation. A series of organic solvents were tested for guaiacol in 25 mM concentrations without additives and in this way we can see the differences when only supporting electrolyte is present apart from the studied compound in solutions. In acetone, dimethylformamide, dimethyl sulfoxide, 1-propanol there was not current decline indicating the favourable solvation properties. Only 12 % decrease was observed in nitrobenzene by the fifth measurement.
In Figure 1 the voltammograms are displayed taken in acetonitrile and dichloromethane for 25 mM guaiacol. The currents diminished continuously in acetonitrile but they decreased gradually in dichloromethane. The related micrographs are revealed in Figure 2 in these two solvents and significant differences could be found between them. The micrograph of layer grown in acetonitrile seems to be very thin as scratches of platinum surface are clearly seen but deposit formed in dichloromethane has identical characteristics. The polymerized guaiacol is concentrated mainly in bundles and cubic forms. These configurations developed continuously but electrode became almost completely fouled during the first cycle in comparison with the voltammetric experiments as it could be seen also from the diminished currents compared with acetonitrile.
The dependence of reproducibility on the concentration provides also useful information about the susceptibility of a compound to polymerization. These experiments were conducted between 5 and 25 mM guaiacol concentrations and in acetonitrile above 10 mM there was a weak fouling but at 25 mM concentration it became very visible. In dichloromethane the deactivation was rapid in 5 mM concentration and in higher concentrations this process accelerated.
Figure 3. Peak current values of repetitive cyclic voltammetric curves for guaiacol in acetonitrile and CH2Cl2 with Pt macroelectrode.
Figure 3. Peak current values of repetitive cyclic voltammetric curves for guaiacol in acetonitrile and CH2Cl2 with Pt macroelectrode.
Preprints 161906 g003
In acetic acid and ethyl acetate by using macroelectrode peaks did not show up only continuous current enhancements increasing the potential which suggests that it can be attributed to a significant ohmic drop due to the relatively low solvent permittivities. The studies with more polimerizable compounds highlighted that the current originating from the anodic oxidation of the corresponding material has high contribution to the currents [21]. This consequence was based on the scans after the first one as is several cases peaks showed up as a result of polymer formation residing in front of the electrode. This phenomenon was not observed in case of guaiacol but it was oxidized. The repeatable curves verified that adhesion of poly(guaiacol) was not satisfactory to platinum surface which could lead to current declines. That is why the voltammetric experiments were conducted with 25 μm Pt microelectrode. In that recent work with the isomer of guaiacol, 4-methoxyphenol the microelectrode voltammograms were different in acetic acid and ethyl acetate and magnitude of current depended on the solvent composition with a continuously decreasing tendency with enhancing the acetic acid content. The shape of curves were very similar in acetic acid and ethyl acetate independently on the concentration but the potentials of plateaus shifted to higher potentials in ethyl acetate due to kinetic parameters.
In case of guaiacol the shapes of voltammograms were very similar in acetic acid and it is also true in ethyl acetate but peaks showed up already in smaller concentrations and the range was the same (Figure 4). This indicates that products of guaiacol electrooxidation blocks more efficiently the surface of electrode.
The electrochemical polymerization of a compound is an option for utilization in estimation of solvent composition. Namely the shapes of curves and magnitude of currents by a preset uniform concentration make possible this type of analysis. If the difference between solvent viscosities are high the mass transport limited currents serve as analytical information. The dependence on the acetic acid-ethyl acetate binary solvent composition in the full range is revealed in Figure 5. The data are based mainly on the peak currents where quantity of ethyl acetate was significant. This is a similarity to the behaviour of 4-methoxyphenol but oxidation peaks appeared in more compositions and the investigated compositions were the same as in case of 4-methoxyphenol. The current plateaus showed up at higher acetic acid contents. It is clearly seen also in the figure that guaiacol can not serve as an appropriate electroactive compound for estimation of solvent composition of binary systems of the outlined solvents. To 40 v/v% acetic acid content surprisingly the peak currents increased and then declined leading to a non-reliable calibration curve. The explanation for the current increase at higher ethyl acetate contents might be the better solvation properties of acetic acid for poly(guaiacol) and suppressed propagation of film on electrode allowed measurements of elevated current peaks keeping the shape characteristics experienced in ethyl acetate. This statement is based on the curves in acetic acid seen in the corresponding part of Figure 4.
Performance of deposits in electroanalysis of butylhydroxytoluene
There is a pressing need worldwide to carry out quantifications of a large number of organic compounds to control the food safety. Butylhydroxytoluene (BHT) is one of the most commonly used synthetic antioxidants in many areas. In electrochemical procedures many electrode material proved appropriate choice including platinum, gold, glassy carbon, boron doped diamond and these were modified in many ways. For example this compound is added to biodiesel and nature of supporting electrolyte has high influence on the reliability of quantification [22]. Differential pulse voltammetry proved also useful in multicomponent analysis [23,24].
Amperometric detection based procedures are also developed like hydrodynamic voltammetry where multiple pulses are applied combined with the flow-injection technique. This type of detection makes possible sensitive determinations under stirred conditions due to the significantly enhanced mass transport limited currents polarizing the electrode to the diffusion controlled range where contribution of the studied compound to the overall current becomes constant polarizing the electrode to more positive (anodic process) or more negative (cathodic process) direction. Basically, when amperometric detection is used the interference caused by coexisting electroactive compounds necessitates the substraction of current signals. In these multicomponent systems measurements are necessary at more potentials depending on the number of analytes.
In Figure 6 the results obtained with the electrochemically deposited modifying poly(guaiacol) layers from acetonitrile and dichloromethane are displayed in the 5 mM acetonitrile solution of butylhydroxytoluene. The anodic peaks were taken into account at different times while the modified electrodes were immersed in the solution. The differences between the solvents are remarkable. Deposition from acetonitrile leads to a compact layer whose permeability gets better in time. This observation confirms that a layer is present on the electrode completing the microscopic results. In contrary the layer formed in dichloromethane has a highly permeable layer having also slight accumulation as the peak currents recorded within the whole studied time interval are very close to the value measured with the bare electrode which was 88 μA.
Linear sweep voltammetry (LSV) is a fast method making possible more or less selective determinations and depending on the standard potentials of the coexisting analytes and the route chosen for electrode modification it makes more or less reliable simultaneous determinations as it was possible for butylhydroxyanisol (BHA) and BHT. As it was delineated before the amperometric detection becomes lengthly in multicomponent systems therefore performance of LSV technique was assessed under stirred conditions. As mass transport limited currents will be reached with its application similarly to amperometry the advantages of stirring will be also exploited in the diffusion controlled potential range.
As the noise caused by stirring of solutions makes unfavourable the reliability of determination the effect of poly(guaiacol) coating should be established. Five cycles were taken in 25 mM dichloromethane solution of guaiacol between 0 and 2.5 V and Figure 7 reveals the LSV curves taken under stirred conditions with 700 rpm rotation speed in 0.5 mM acetonitrile solution of BHT. It is clearly seen that the noise of stirring decreased approximately to the half of that of the bare electrode. Usually this type of noise has some fluctuations the uncertainty of data reading becomes difficult is the magnitude of these fluctuations is high. If it is reduced this renders the analysis of curves more comfortable. In an earlier work the deposit of 2’,6’-dihydroxyacetophenone prepared in dimethyl sulfoxide exhibited a drastical alleviation of noise of stirring [25] but in case of poly(guaiacol) it was not as significant as for the acetophenone derivative. In accordance with the microscopic results the deposit distribution throughout the whole electrode surface was not uniform and the almost constant currents of BHT (see Figure 6) also reinforce the consequence that the organic layer could weakly exclude the solution flows within the pores of polymeric film. On the other hand the application of the poly(guaiacol) modifying layer proved not fruitful as it resulted lower mass transport limited currents.
Comparing the above LSV results under stirred conditions with that found in Figure 6 the conclusion is that the presence of deposit renders the rotation speed at the electrode smaller and it allowes reduced mass transport limited signal. The contribution of the previously observed slight adsorption on the film becomes negligible due to the large enhancement of stirring. As BHA is the most frequently occurring interferent of BHT calibrations were carried out with the same concentrations with the poly(guaiacol) modified electrode. The related curves are stationary voltammograms as expected. However they do not exhibit horizontal line it is only true by taking into account the curve taken in blank solution.
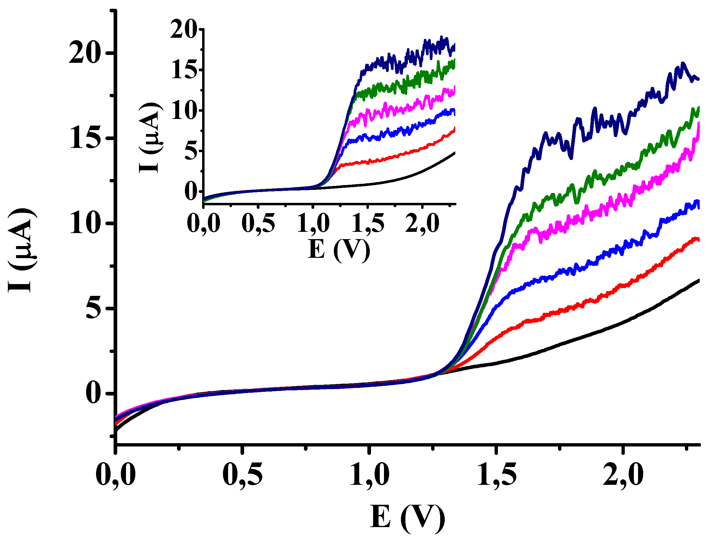
As the voltammograms show the extent of noise increases gradually with the concentration especially when the plateaus are reached. This suggest a proportionality of the noise to the magnitude of signal. An LSV curve was taken in an acetonitrile solution when the concentration of BHA and BHT was uniform 300 mM. By using the actual calibration curve of the modified electrode after calibration, the recoveries were 111,67 % for BHA and 103,78 % for BHT. However the value for BHA seems to be a little high, this is probably due to the interference of the rising part of BHT signal. The advantage originating from the choice of linear sweep voltammetry paired with stirring against amperometry applying also stirring continuously is clearly seen from the curves of Figure 8 as by the same solution conductivities there are shifts of potentials with the concentration where plateaus begin and in our situation there is a small difference between BHA and BHT and choice of constant potential would lead to mistakes in experimental design and utilizing LSV we can see the whole voltammogram and simple subtraction results the analytical signals when more analytes are present.

4. Conclusions

The use of linear sweep voltammetry has benefits in electroanalysis as simultaneous application of stirring continuously renews the concentration close to the electrode surface ensuring significantly enhanced concentration gradient. This special utilization of linear sweep voltammetry makes possible sensitive and relatively fast determinations of selected compounds. The coverage by a modifying layer brings further improvement as optimization of its thickness and porosity contributes to alleviation of noise caused by stirring and a very thin diffusion layer must be present in front of electrode by retaining the sensitivity.

Author Contributions

For research articles with several authors, a short paragraph specifying their individual contributions must be provided. The following statements should be used “Conceptualization, L.K.; methodology, L.K.; investigation, L.K.; writing—original draft preparation, L.K.; writing—review and editing, S.K.; visualization, P.S.; supervision, L.K.; All authors have read and agreed to the published version of the manuscript.” Please turn to the CRediT taxonomy for the term explanation. Authorship must be limited to those who have contributed substantially to the work reported.

Funding

This research was funded by the Hungarian National Research Development and Innovation Of-fice (NKFI), grant number NKFI-137793, Chinese-Hungarian Intergovernmental S&T Cooperation Programme (Project no.: CH-10-6/2024 and 2024-1.2.5-TÉT-2024-00006), and by the New National Excellence Program of the Ministry for In-novation and Technology Project no. TKP2021-EGA-17. The financial support of the Uni Pécs under the project 015_2024_PTE_RK/31 is highly appreciated.

Institutional Review Board Statement

Not applicable.

Informed Consent Statement

Not applicable.

Data Availability Statement

The data presented in this study are available on request from the corresponding author.

Conflicts of Interest

The authors declare no conflicts of interest.

References

  1. Maali, A.; Najoua, D.; Rihab, H.; Hasen, M.S.; Hechmi, S.; Emilia, M.; Salma, B. Electrodeposition of 4,4′-di-tert-butylbiphenyl peroxide from the anodic oxidation of p-tert-butylphenol in an alkaline acetonitrile solution. J. Appl. Electrochem. 2017, 47, 507–516. [Google Scholar]
  2. Bruno, F.; Pham, M.C.; Dubois, J.E. Polaromicrotribometric study of polyphenylene oxide film formation on metal electrodes by electrolysis of disubstituted phenols. Electrochim. Acta, 1977, 22, 451–457. [Google Scholar] [CrossRef]
  3. Youssef, S.; Dalila, K.; Ridha, A. Electropolymerization of phenol, o-nitrophenol and o-methoxyphenol on gold and carbon steel materials and their corrosion protection effects. Prog. Org. Coat. 2010, 69, 335–343. [Google Scholar]
  4. Mengoli, G.; Marco, M.M. An overview of phenol electropolymerization for metal protection. J. Electrochem. Soc. 1987, 134, 12. [Google Scholar] [CrossRef]
  5. Milczarek, G.; Ciszewski, A. Permselective properties of electropolymerized guaiacol derivatives, Electroanal. 2003, 15, 5–6.
  6. Ciszewski, A.; Milczarek, G. Polyeugenol-modified platinum electrode for selective detection of dopamine in the presence of ascorbic acid. Anal. Chem. 1999, 71, 1055–1061. [Google Scholar] [CrossRef] [PubMed]
  7. Ciszewski, A.; Milczarek, G. Preparation and general properties of chemically modified electrodes based on electrosynthesized thin polymeric films derived from eugenol. Electroanalysis 2001, 13, 860–867. [Google Scholar] [CrossRef]
  8. Paul, D.W.; Prajapati, I.; Reed, M.L. Electropolymerized eugenol: Evaluation as a protective film for oxygen sensing. Sens. Actuators B Chem. 2013, 183, 129–135. [Google Scholar] [CrossRef]
  9. Devadas, B.; Rajkumar, M.; Chen, S.M. Electropolymerization of curcumin on glassy carbon electrode and its electrocatalytic application for the voltammetric determination of epinephrine and p-acetoaminophenol. Colloids Surf. B 2014, 116, 674–680. [Google Scholar] [CrossRef]
  10. Kumar, K.K.; Devendiran, M.; Kalaivani, R.A.; Narayanan, S.S. Polycurcumin nanospheres modified electrode for nanoscale detection of mercury ions in seawater. Chem. Phys. Lett. 2021, 781, 138974. [Google Scholar] [CrossRef]
  11. Matsushita, Y.; Sekiguchi, T.; Ichino, R.; Fukushima, K. Electropolymerization of coniferyl alcohol. J. Wood Sci. 2009, 55, 344–349. [Google Scholar] [CrossRef]
  12. Silva, L.V.d.; Silva, F.A.S.; Kubota, L.T.; Lopes, C.B.; Lima, P.R.; Costa, E.O.; Pinho Júnior,W. ; Goulart, M.O.F. Amperometric sensor based on carbon nanotubes and electropolymerized vanillic acid for simultaneous determination of ascorbic acid, dopamine, and uric acid. J. Solid State Electrochem. 2016, 20, 2389–2393. [Google Scholar] [CrossRef]
  13. Manjunatha, J.G.; Swamy, B.E.K.; Deraman, M.; Mamatha, G.P. Simultaneous voltammetric measurement of ascorbic acid and dopamine at poly (vanillin) modified carbon paste electrode: A cyclic voltammetric study. Der. Pharm. Chem. 2012, 4, 2489–2497. [Google Scholar]
  14. Madhuchandra, H.D.; Swamy, B.E.K. Poly (vanillin) modified carbon paste electrode for the determination of adrenaline: A voltammetric study. Mater. Sci. Energy Technol. 2019, 2, 697–702. [Google Scholar] [CrossRef]
  15. Duran, S.T.; Hassine, C.B.A.; Burç, M.; Güngör, Ö. Voltammetric determination of a-lipoic acid using poly(vanillin) modified platinum electrode. Anal. Bioanal. Electrochem. 2020, 12, 857–869. [Google Scholar]
  16. Matsushita, Y.; Nakamura, A.; Aoki, D.; Yagami, S.; Fukushima, K. Bio-based polymer from ferulic acid by electropolymerization. BioResources 2016, 11, 9789–9802. [Google Scholar] [CrossRef]
  17. Da Silva, L.V.; Lopes, C.B.; da Silva, W.C.; de Paiva, Y.G.; dos Santos Silva, F.A.; Lima, P.R.; Kubota, L.T.; Goulart, M.O.F. Electropolymerization of ferulic acid on multi-walled carbon nanotubes modified glassy carbon electrode as a versatile platform for NADH, dopamine and epinephrine separate detection. Microchem. J. 2017, 133, 460–467. [Google Scholar] [CrossRef]
  18. Sundaram, S.; Kadir, M.R.A. A new highly conducting carbon black (CL-08) modified electrode functionalized with syringic acid for sensitive and selective L-cysteine electrocatalysis at low potential. Electrochim. Acta 2017, 224, 475–486. [Google Scholar] [CrossRef]
  19. Corrêa, C.C.; Santhiago, M.; e Silva, C.C.C.; Formiga, A.L.B.; Kubota, L.T. Synthesis and electrochemical characterization of poly(2-methoxy-4-vinylphenol) with MWCNTs. Electroanal. 2011, 23, 2562–2568. [Google Scholar] [CrossRef]
  20. Stojanovic, Z.; Erd˝ossy, J.; Keltai, K.; Scheller, F.W.; Gyurcsányi, R.E. Electrosynthesized molecularly imprinted polyscopoletin nanofilms for human serum albumin detection. Anal. Chim. Acta 2017, 977, 1–9. [Google Scholar] [CrossRef]
  21. Kiss, L.; Szabó, P. Acetic acid and ethyl acetate as solvents for electropolymerization reactions, considering 4-methoxyphenol and composition of solvent mixtures. Organics 2024, 5, 670–683. [Google Scholar] [CrossRef]
  22. Jaromira, C.; Markéta, T.; Tomás, M.; Renáta, S.; Jan, J. Voltammetric determination of BHT antioxidant at gold electrode in biodiesel. Electroanal. 2012, 24, 1374–1379. [Google Scholar]
  23. Lívia, S.S.; Jonathan, W.V.D.; Pedro, R.B.F.; Mariliz, G.; Clarisse, M.S.P. Direct and simultaneous determination of four phenolic antioxidants in biodiesel using differential pulse voltammetry assisted by artificial neural networks and variable selection by decision trees. Fuel 2019, 236, 803–810. [Google Scholar]
  24. Lívia, S.S.; Pedro, R.B.F.; Clarisse, M.S.P.; Mariliz, G. A Chemometric-Assisted Voltammetric Method for Simultaneous Determination of Four Antioxidants in Biodiesel Samples. Energy Fuels 2020, 34, 412–418. [Google Scholar]
  25. Kiss, L.; Li, H.; Yan, H.; Kunsági-Máté, S. Comparison between electropolymers of 3,5-dihydroxybenzoic acid and 2′,6′-dihydroxyacetophenone in dimethyl sulfoxide and their analytical performance towards selected analytes with the role of the washing liquid. Molecules 2024, 29, 3972. [Google Scholar] [CrossRef] [PubMed]
Figure 1. Repetitive cyclic voltammograms of guaiacol in acetonitrile (ACN) and in CH2Cl2 (c=25 mM, supporting electrolyte 0.05 M TBAP, scan rate 0.1 V/s).
Figure 1. Repetitive cyclic voltammograms of guaiacol in acetonitrile (ACN) and in CH2Cl2 (c=25 mM, supporting electrolyte 0.05 M TBAP, scan rate 0.1 V/s).
Preprints 161906 g001
Figure 2. Scanning electron micrographs of deposits grown in acetonitrile and dichloromethane containing guaiacol in 25 mM concentration.
Figure 2. Scanning electron micrographs of deposits grown in acetonitrile and dichloromethane containing guaiacol in 25 mM concentration.
Preprints 161906 g002
Figure 4. Cyclic voltammetric curves for different concentrations of guaiacol in acetic acid (AcOH) and ethyl acetate (EtOAc) with 25 μm microelectrode (supporting electrolyte 50 mM TBAP, scan rate 0.1 V/s, black: 5 mM, red: 10 mM, blue: 15 mM, magenta: 20 mM, green: 25 mM guaiacol).
Figure 4. Cyclic voltammetric curves for different concentrations of guaiacol in acetic acid (AcOH) and ethyl acetate (EtOAc) with 25 μm microelectrode (supporting electrolyte 50 mM TBAP, scan rate 0.1 V/s, black: 5 mM, red: 10 mM, blue: 15 mM, magenta: 20 mM, green: 25 mM guaiacol).
Preprints 161906 g004
Figure 5. Dependence of currents measured with 25 mm Pt microelectrode with scan rate of 0.1 V/s on acetic acid content in its mixtures with ethyl acetate containing 25 mM guaiacol and 50 mM TBAP uniformly.
Figure 5. Dependence of currents measured with 25 mm Pt microelectrode with scan rate of 0.1 V/s on acetic acid content in its mixtures with ethyl acetate containing 25 mM guaiacol and 50 mM TBAP uniformly.
Preprints 161906 g005
Figure 6. Dependence of linear sweep voltammetric peak currents on time with modifying layers grown in acetonitrile and dichloromethane (supporting electrolyte 50 mM TBAP, scan rate 0.1 V/s).
Figure 6. Dependence of linear sweep voltammetric peak currents on time with modifying layers grown in acetonitrile and dichloromethane (supporting electrolyte 50 mM TBAP, scan rate 0.1 V/s).
Preprints 161906 g006
Figure 7. Linear sweep voltammetric curves taken with bare platinum electrode (black curve) and with poly(guaiacol) modified electrode (red curve) in 0.5 mM acetonitrile solution of BHT containing 10 mM TBAP supporting electrolyte with scan rate of 0.1 V/s
Figure 7. Linear sweep voltammetric curves taken with bare platinum electrode (black curve) and with poly(guaiacol) modified electrode (red curve) in 0.5 mM acetonitrile solution of BHT containing 10 mM TBAP supporting electrolyte with scan rate of 0.1 V/s
Preprints 161906 g007
Figure 8. LSV voltammograms in acetonitrile under stirred conditions with 700 rpm of BHT main graph) and BHA (inset graph) (supporting electrolyte 10 mM TBAP, scan rate 0.1 V/s, black: 0 μM, red: 100 μm, blue: 200 μM, magenta: 300 μM, green: 400 μM, navy: 500 μM)
Figure 8. LSV voltammograms in acetonitrile under stirred conditions with 700 rpm of BHT main graph) and BHA (inset graph) (supporting electrolyte 10 mM TBAP, scan rate 0.1 V/s, black: 0 μM, red: 100 μm, blue: 200 μM, magenta: 300 μM, green: 400 μM, navy: 500 μM)
Preprints 161906 g008
Disclaimer/Publisher’s Note: The statements, opinions and data contained in all publications are solely those of the individual author(s) and contributor(s) and not of MDPI and/or the editor(s). MDPI and/or the editor(s) disclaim responsibility for any injury to people or property resulting from any ideas, methods, instructions or products referred to in the content.
Copyright: This open access article is published under a Creative Commons CC BY 4.0 license, which permit the free download, distribution, and reuse, provided that the author and preprint are cited in any reuse.
Prerpints.org logo

Preprints.org is a free preprint server supported by MDPI in Basel, Switzerland.

Subscribe

Disclaimer

Terms of Use

Privacy Policy

Privacy Settings

© 2026 MDPI (Basel, Switzerland) unless otherwise stated