Submitted:
12 March 2024
Posted:
12 March 2024
You are already at the latest version
Abstract
Keywords:
1. Introduction
2. Materials and Methods
2.1. Chemicals
2.2. Apparatus
2.3. Electrochemical Procedures
3. Results and Discussion
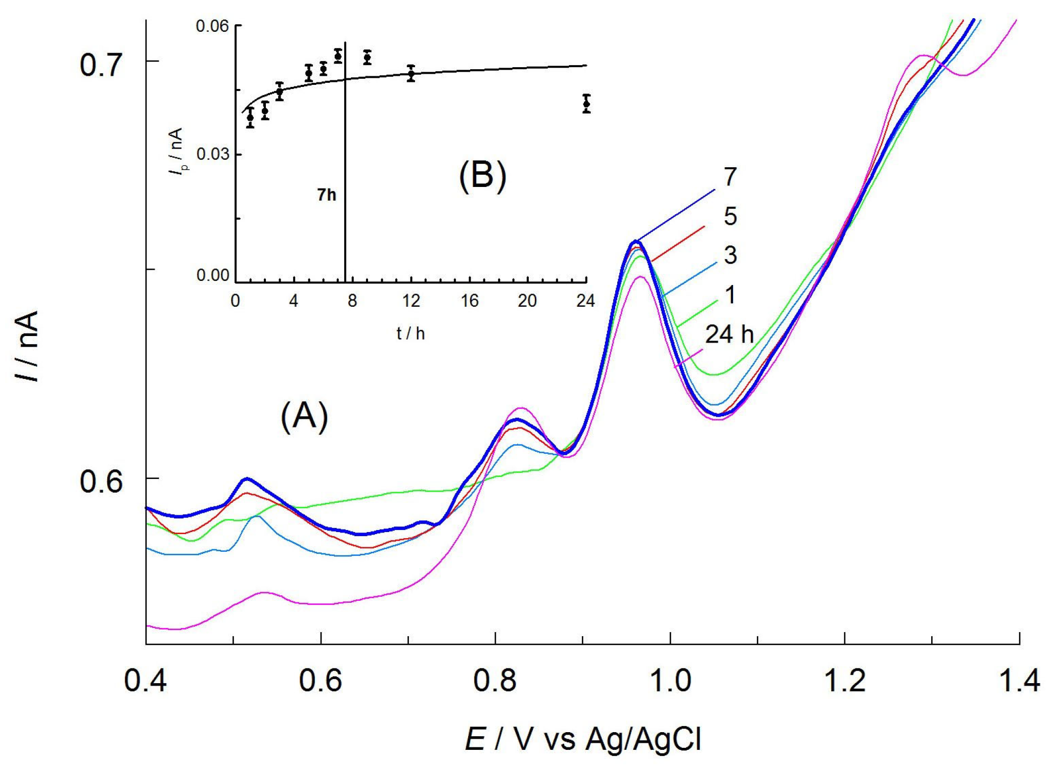
3.1. Study of the Best Voltammetric Conditions
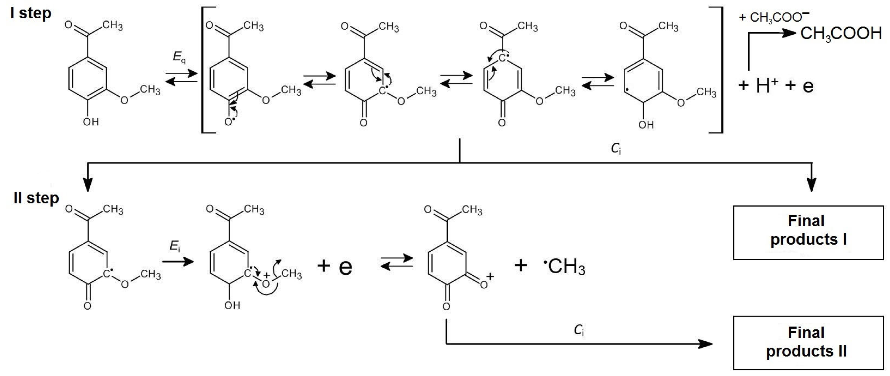
3.2. Voltammetric Behavior of Apocynin in Acetic Acid Environment
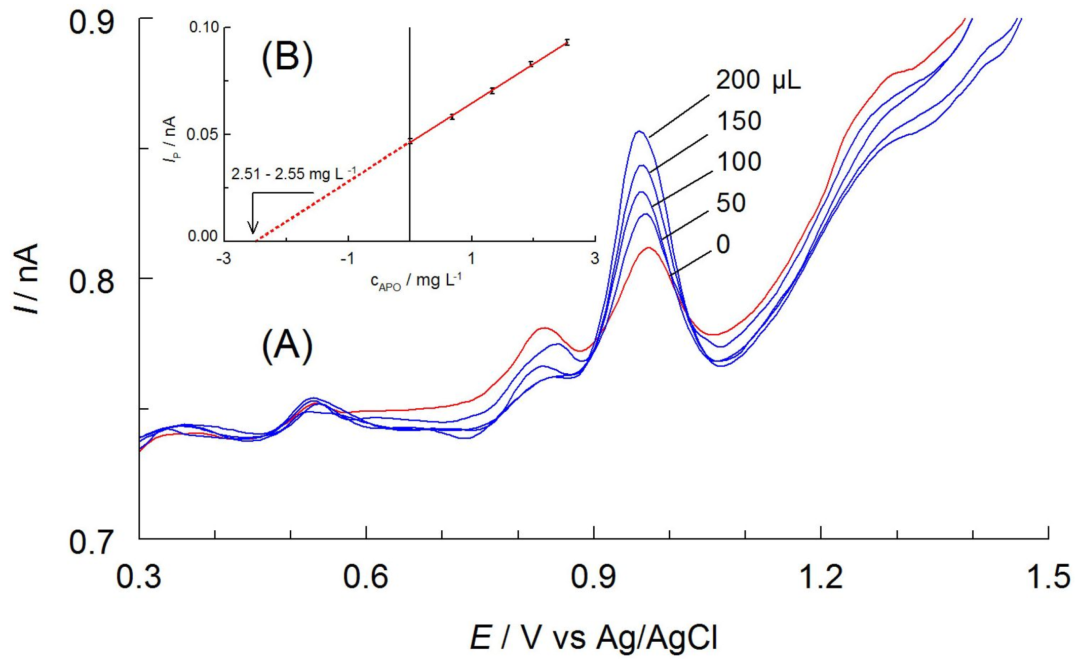
3.3. Analytical Characteristics
3.4. Selectivity
3.5. Extraction
3.6. Recovery Studies
3.7. Real sample analysis
4. Conclusions
Author Contributions
Acknowledgments
Conflicts of Interest
References
- Anter, H.M.; Hashim, I.I.A.; Awadin, W.; Meshali, M.M. Novel anti-inflammatory film as a delivery system for the external medication with bioactive phytochemical “Apocynin”. Drug Des. Devel. Ther. 2018, 12, 2981–3001. [Google Scholar] [CrossRef] [PubMed]
- Stefanska, J.; Pawliczak, R. Apocynin: Molecular aptitudes. Mediators Inflamm. 2008, 2008, 106507. [Google Scholar] [CrossRef] [PubMed]
- Ou, Y.; Zhu, L.; Gao, R.; Zhang, Z.; Qi, J.; Li, S.; Jiang, J. Synthesis of apocynin dimer derivatives combining l-cysteine and alpha-lipoic acid. J. Pharm. Biomed. Sci. 2017, 7, 358–365. [Google Scholar]
- Calkilic, N.M.; Alici, H.; Direkel, Ş.; Tahtaci, H. Synthesis, Characterization, Theoretical Analyses, and Investigation of Their Biological Activities of Acetovanillone-Derived Novel Benzyl Ethers. Polycycl. Aromat. Compd. 2022, 42, 5671–5695. [Google Scholar] [CrossRef]
- Sagrario, M.-A.; MP, G.; J, B.; P, B.-B. Plants with evidence-based therapeutic effects against neurodegenerative diseases. Pharm. Pharmacol. Int. J. 2019, 7, 221–227. [Google Scholar] [CrossRef]
- Baker, C.J.; Mock, N.M.; Averyanov, A.A. Redox- and bio-activity of apocynin (acetovanillone) in tobacco, a plant phenolic that alleviates symptoms of autoimmune diseases in animals. Physiol. Mol. Plant Pathol. 2019, 106, 145–156. [Google Scholar] [CrossRef]
- Yancheva, D.Y.; Stoyanov, S.S.; Velcheva, E.A.; Stamboliyska, B.A.; Smelcerovic, A. DFT study on the radical scavenging capacity of apocynin with different free radicals. Bulg. Chem. Commun. 2019, 49, 137–144. [Google Scholar]
- Pereira, G.C.; Piton, E.; dos Santos, B.M.; da Silva, R.M.; de Almeida, A.S.; Dalenogare, D.P.; Schiefelbein, N.S.; Fialho, M.F.P.; Moresco, R.N.; dos Santos, G.T.; i, in. Apocynin as an antidepressant agent: in vivo behavior and oxidative parameters modulation. Behav. Brain Res. 2020, 388, 112643. [Google Scholar] [CrossRef]
- Liu, Z.; Ren, Z.; Zhang, J.; Chuang, C.C.; Kandaswamy, E.; Zhou, T.; Zuo, L. Role of ROS and nutritional antioxidants in human diseases. Front. Physiol. 2018, 9, 1–14. [Google Scholar] [CrossRef]
- Petrônio, M.S.; Zeraik, M.L.; Da Fonseca, L.M.; Ximenes, V.F. Apocynin: Chemical and biophysical properties of a NADPH oxidase inhibitor. Molecules 2013, 18, 2821–2839. [Google Scholar] [CrossRef]
- Kim, S.Y.; Moon, K.A.; Jo, H.Y.; Jeong, S.; Seon, S.H.; Jung, E.; Cho, Y.S.; Chun, E.; Lee, K.Y. Anti-inflammatory effects of apocynin, an inhibitor of NADPH oxidase, in airway inflammation. Immunol. Cell Biol. 2012, 90, 441–448. [Google Scholar] [CrossRef] [PubMed]
- Sturm, S.; Struppner, H. Analysis of iridoid glycosides from Picrorhiza kurroa by capillary electrophoresis and high performance liquid chromatography - Mass spectrometry. Chromatographia 2001, 53, 612–618. [Google Scholar] [CrossRef]
- Boshtam, M.; Kouhpayeh, S.; Amini, F.; Azizi, Y.; Najaflu, M.; Shariati, L.; Khanahmad, H. Anti-inflammatory effects of apocynin: a narrative review of the evidence. All Life 2021, 14, 997–1010. [Google Scholar] [CrossRef]
- Wang, K.; Li, L.; Song, Y.; Ye, X.; Fu, S.; Jiang, J.; Li, S. Improvement of Pharmacokinetics Behavior of Apocynin by Nitrone Derivatization: Comparative Pharmacokinetics of Nitrone-Apocynin and its Parent Apocynin in Rats. PLoS One 2013, 8, e70189. [Google Scholar] [CrossRef]
- de Oliveira, J.K.; Ronik, D.F.V.; Ascari, J.; Mainardes, R.M.; Khalil, N.M. A stability-indicating high performance liquid chromatography method to determine apocynin in nanoparticles. J. Pharm. Anal. 2017, 7, 129–133. [Google Scholar] [CrossRef]
- Chandasana, H.; Chhonker, Y.S.; Bala, V.; Prasad, Y.D.; Chaitanya, T.K.; Sharma, V.L.; Bhatta, R.S. Pharmacokinetic, bioavailability, metabolism and plasma protein binding evaluation of NADPH-oxidase inhibitor apocynin using LC-MS/MS. J. Chromatogr. B Anal. Technol. Biomed. Life Sci. 2015, 985, 180–188. [Google Scholar] [CrossRef] [PubMed]
- Wang, Q.; Smith, R.E.; Luchtefeld, R.; Sun, A.Y.; Simonyi, A.; Luo, R.; Sun, G.Y. Bioavailability of apocynin through its conversion to glycoconjugate but not to diapocynin. Phytomedicine 2008, 15, 496–503. [Google Scholar] [CrossRef]
- Trumbull, K.A.; McAllister, D.; Gandelman, M.M.; Fung, W.Y.; Lew, T.; Brennan, L.; Lopez, N.; Morré, J.; Kalyanaraman, B.; Beckman, J.S. Diapocynin and apocynin administration fails to significantly extend survival in G93A SOD1 ALS mice. Neurobiol. Dis. 2012, 45, 137–144. [Google Scholar] [CrossRef]
- Michałkiewicz, S.; Kaczor, M. Potential windows accessible to platinum and carbon electrodes in acetic acid and its mixtures with ethyl acetate. Chem. Analityczna 2004, 49, 121–128. [Google Scholar]
- Luchtefeld, R.; Luo, R.; Stine, K.; Alt, M.L.; Chernovitz, P.A.; Smith, R.E. Dose formulation and analysis of diapocynin. J. Agric. Food Chem. 2008, 56, 301–306. [Google Scholar] [CrossRef]
- Izutsu, K. Electrochemistry in Nonaqueous Solutions; WILEY-VCH: Weinheim, 2009. [Google Scholar]
- Bard, A.J.; Faulkner, L.R. Electrochemical Methods. Fundamentals and Applications; WILEY-VCH: New York, 2001. [Google Scholar]
- Zoski, C.G. Ultramicroelectrodes: Design, Fabrication, and Characterization. Electroanalysis 2002, 1041–1051. [Google Scholar] [CrossRef]
- Scholz, F. Electroanalytical Methods, Guide to Experiments and Applications; Scholz, F.; R, *!!! REPLACE !!!* (Eds.) ; Springer-Verlag: Berlin Heidelberg, 2002.
- Gosser, D.K. Cyclic Voltammetry; Simulation and Analysis of Reaction Mechanisms; VCH: New York, 1993. [Google Scholar]
- Desimoni, E.; Brunetti, B. Presenting Analytical Performances of Electrochemical Sensors. Some Suggestions. Electroanalysis 2013, 1645–1651. [Google Scholar] [CrossRef]
- Mocak, J.; Bond, A.M.; Mitchell, S.; Scollary, G. A statistical overview of standard (IUPAC and ACS) and new procedures for determining the limits of detection and quantification: Application to voltammetric and stripping techniques. Pure Appl. Chem. 1997, 69, 297–328. [Google Scholar] [CrossRef]
- Wang, J. Real-time electrochemical monitoring: Toward green analytical chemistry. Acc. Chem. Res. 2002, 35, 811–816. [Google Scholar] [CrossRef]









| Method | Application | Linear Range (mol L–1) |
LOD (mol L–1) |
LOQ (mol L–1) |
Ref. |
|---|---|---|---|---|---|
| HPLC-UV | rat plasma | 1.2×10–6 – 6.0×10–4 | 1.2×10–6 | [14] | |
| HPLC-UV | bovine serum albumine | 3.0×10–5 – 6.0×10–4 | 4.7×10–7 | 1.4×10–6 | [15] |
| LC-MS/MS | rat and human plasma | 6.0×10–9 – 6.0×10–6 | 6.0×10–9 | [16] | |
| DPV(CF) | herbal extracts | 2.7×10–6 – 2.6×10–4 | 8.9×10–7 | 2.7×10–6 | This work |
| Sample | APO Taken/ mg g-1 |
1)APO found/ mg g-1 |
2)RSD/% (n = 5) |
3)R/% |
|---|---|---|---|---|
| Control 1 (rosemary matrix) |
4.97 | 4.97 ± 0.03 | 0.6 | 100.0 |
| Control 2 (rosemary matrix) |
12.39 | 12.38 ± 0.04 | 0.4 | 99.9 |
| Control 3 (rosemary matrix) |
24.36 | 24.38 ± 0.07 | 0.3 | 100.1 |
| Kutki | ‒ | 1.27 ± 0.02 | 0.9 | ‒ |
| Kutki with APO added | 4.92 | 6.21 ± 0.04 | 0.5 | 126.2 |
Disclaimer/Publisher’s Note: The statements, opinions and data contained in all publications are solely those of the individual author(s) and contributor(s) and not of MDPI and/or the editor(s). MDPI and/or the editor(s) disclaim responsibility for any injury to people or property resulting from any ideas, methods, instructions or products referred to in the content. |
© 2024 by the authors. Licensee MDPI, Basel, Switzerland. This article is an open access article distributed under the terms and conditions of the Creative Commons Attribution (CC BY) license (https://creativecommons.org/licenses/by/4.0/).
