Submitted:
28 May 2025
Posted:
28 May 2025
You are already at the latest version
Abstract
Keywords:
1. Introduction
2. Materials and Methods
2.1. Diets
2.2. Animal Selection and Housing
2.3. Feeding Trial
2.4. Clinical Examinations
2.5. Sample Collection
2.6. Analytical Methods
2.6.1. Proximates
2.6.2. Hematology and Coagulation
2.6.3. Clinical Chemistry
2.6.4. Urinalysis
2.6.5. Fecal Analysis and Digestibility Calculations
2.6.6. Fecal Microbiota Analysis
2.6.7. Statistical Analysis
3. Results
3.1. Proximate Analysis and Feed Quality
3.2. Food Consumption and Body Weight
3.3. Clinical Observations and Treatments
3.4. Hematology and Coagulation
3.5. Clinical Chemistry
3.6. Urinalysis
3.7. Apparent Total Tract Digestibility (ATTD)
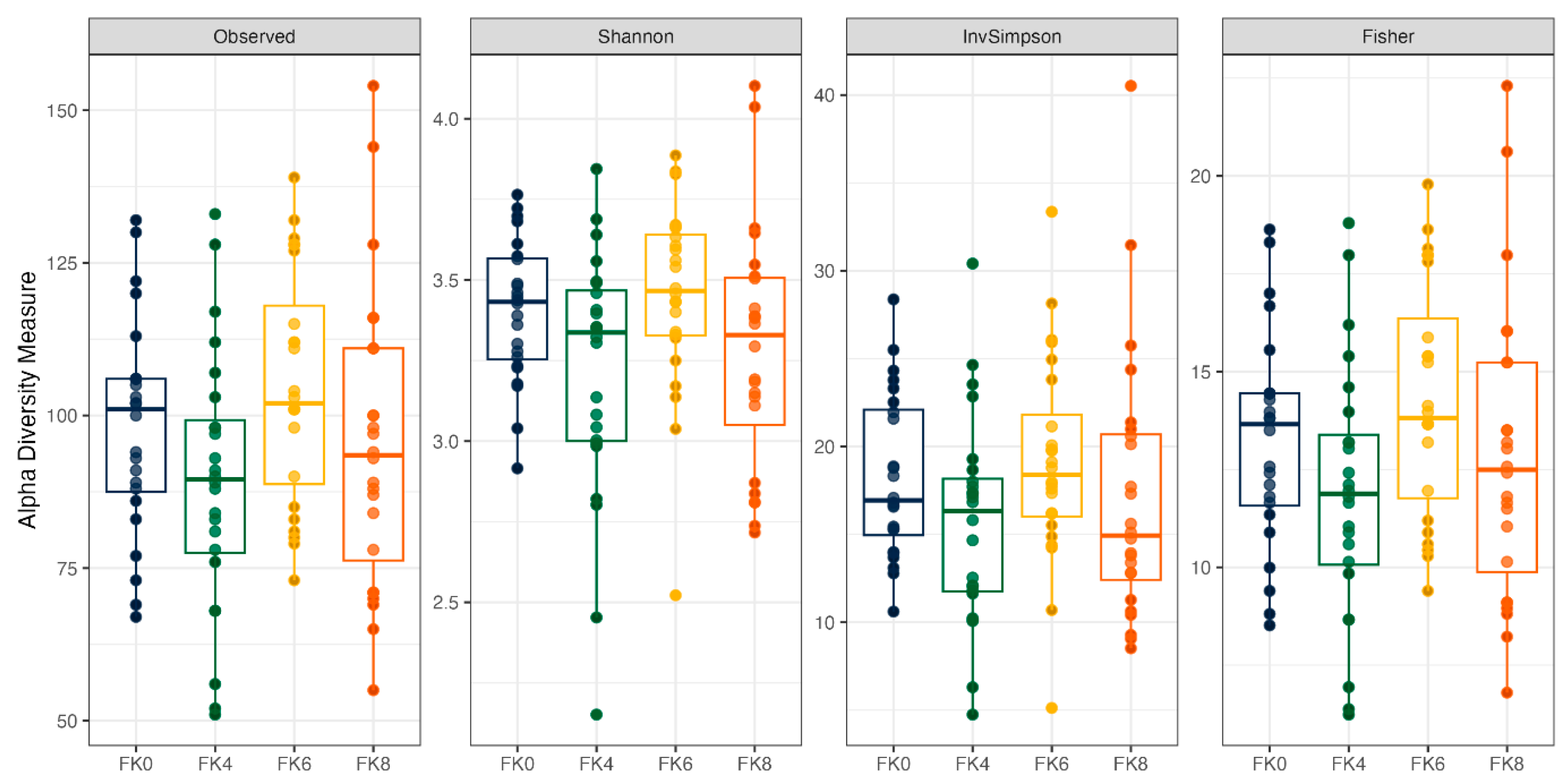
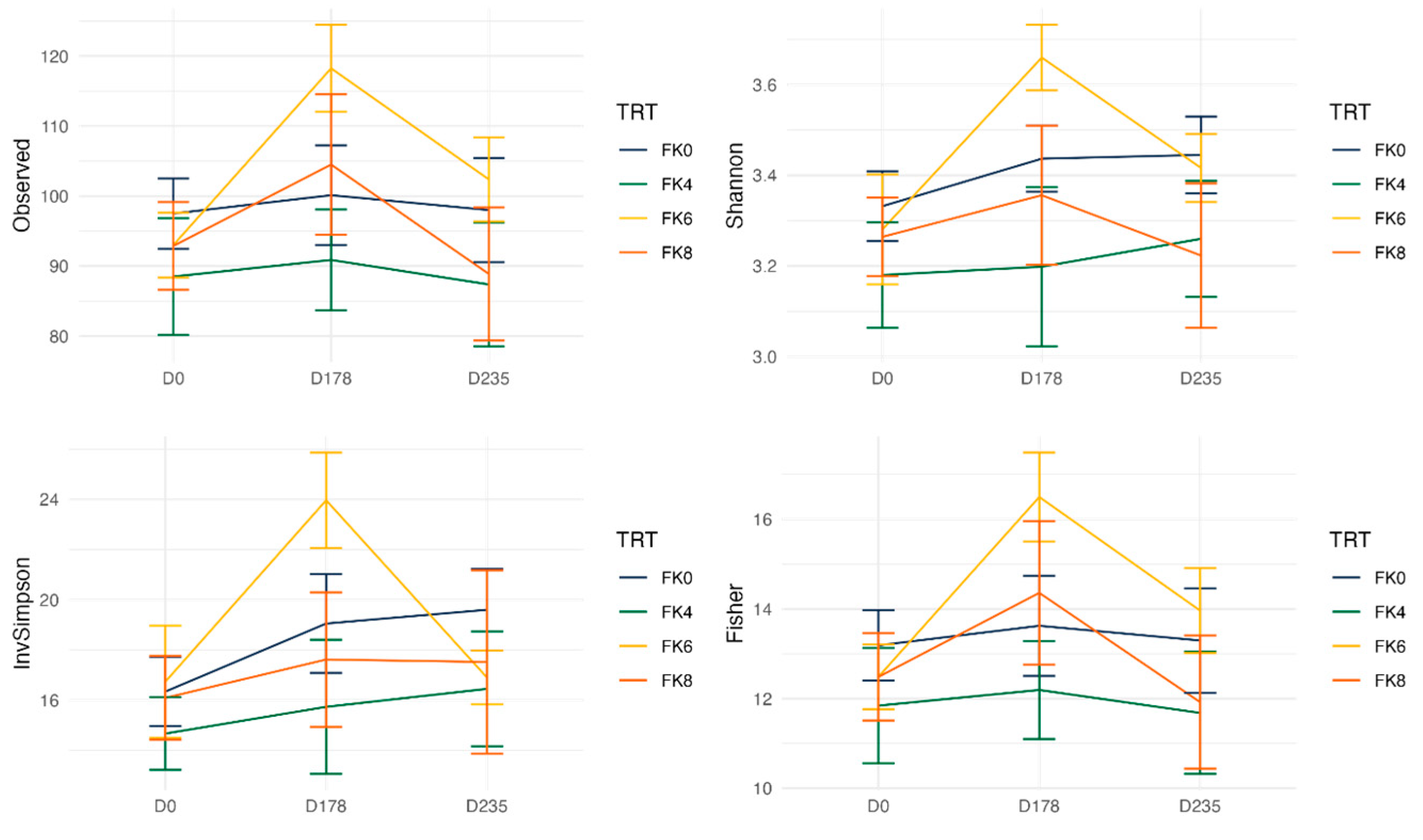
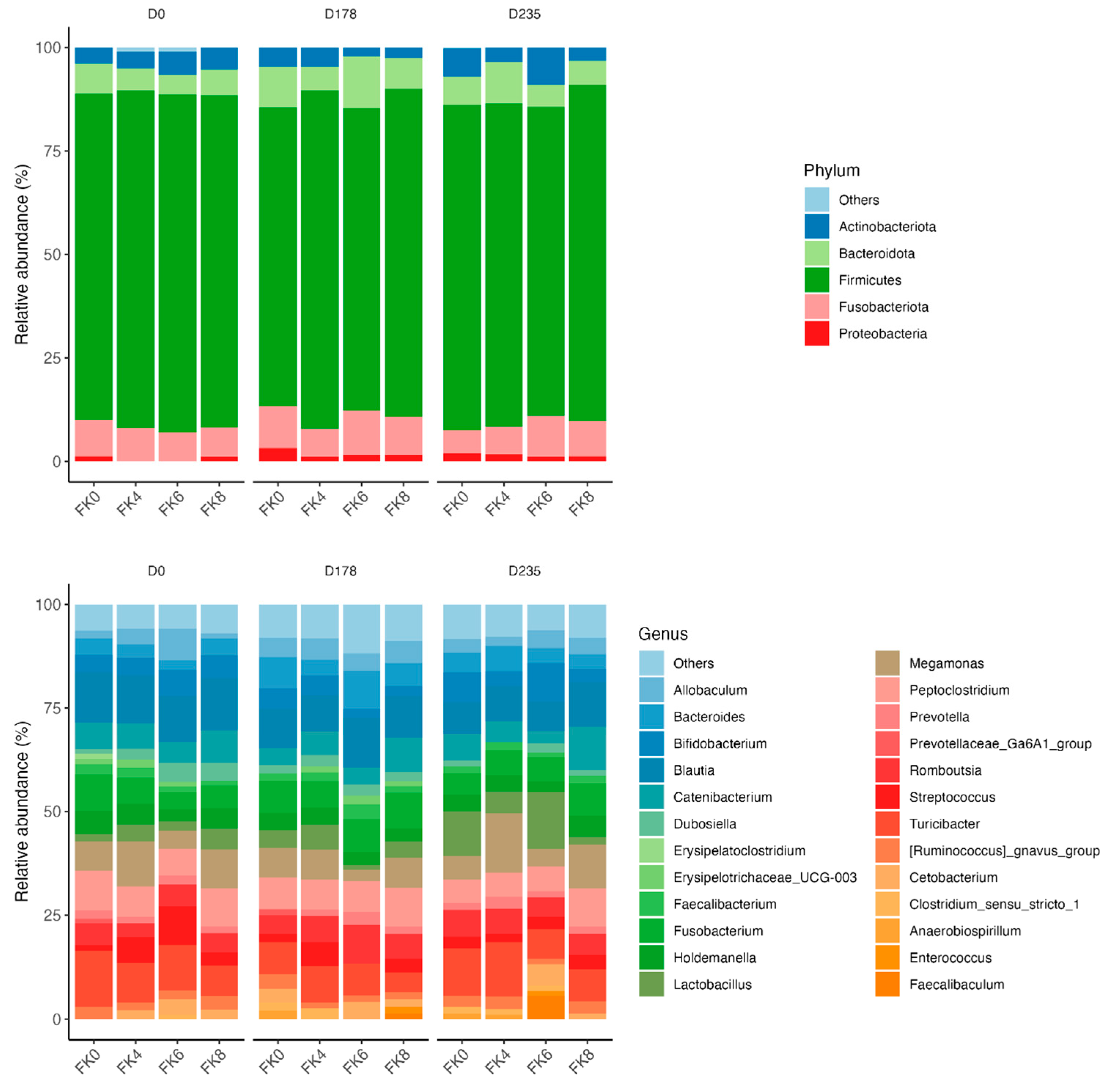
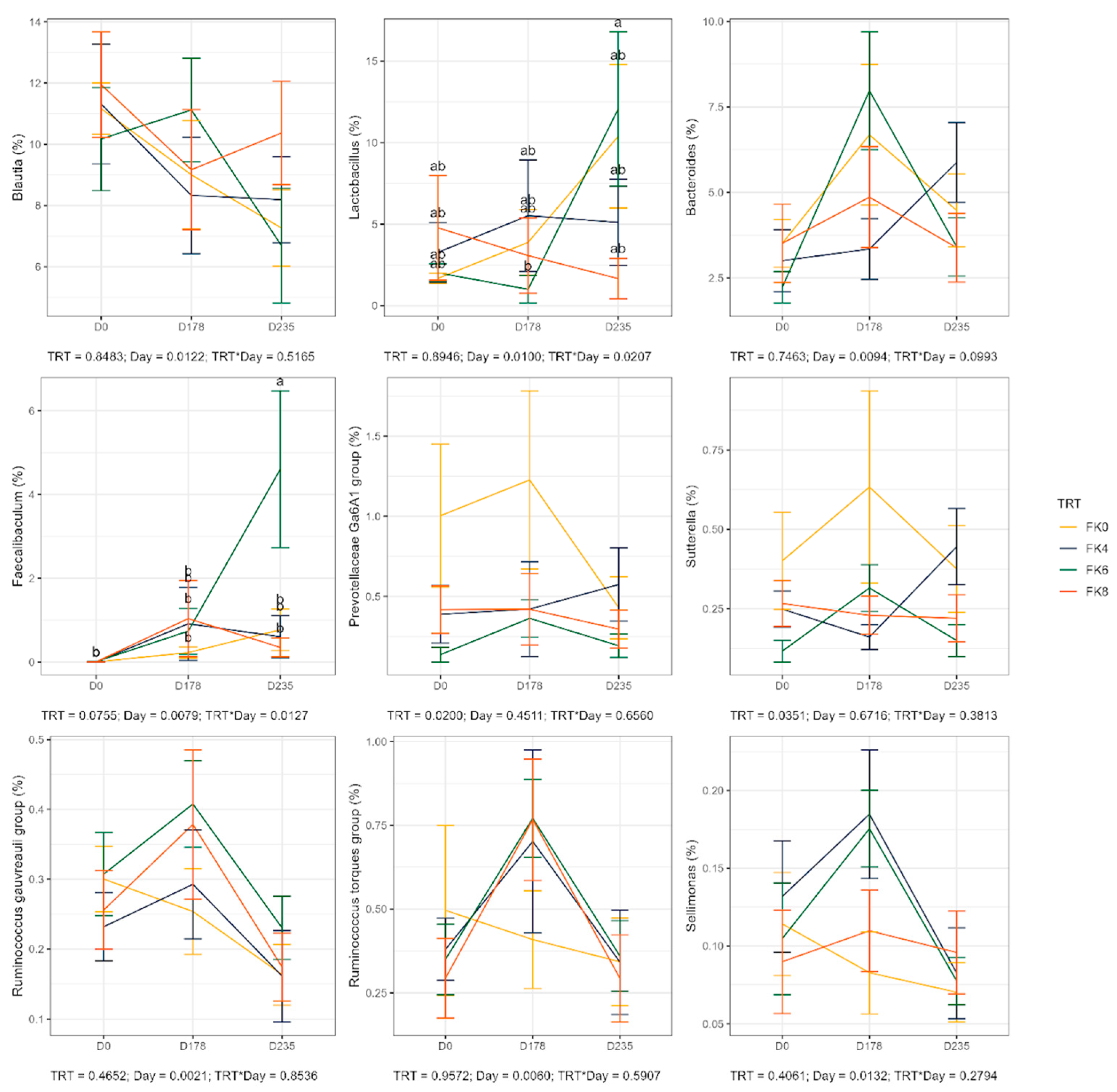
3.8. Fecal Microbiome
4. Discussion
5. Conclusions
Supplementary Materials
Author Contributions
Funding
Institutional Review Board Statement
Data Availability Statement
Acknowledgments
Conflicts of Interest
Abbreviations
| DIAAS-like | Digestible, indispensable amino acid score |
| fL | femtoliters |
| g/dL | grammes per deciliter |
| HCl | hydrochloric acid |
| LC-PUFA | Long-chain polyunsaturated fatty acids |
| µL | microliter |
| mEq/L | milliequivalents per liter |
| mg/dL | milligrams per liter |
| pg | picograms |
| U/L | units per liter |
References
- Swanson, K.S.; Carter, R.A.; Yount, T.P.; Aretz, J.; Buff, P.R. Nutritional sustainability of pet foods. Adv. Nutr. 2013, 4, 141–150. [Google Scholar] [CrossRef] [PubMed]
- Alexandratos, N.; Bruinsma, J. 2012. World Agriculture towards 2030/2050: the 2012 revision. ESA Working paper No. 12-03. 2012, Rome, FAO.
- Van Peteghem, L.; Sakarika, M.; Matassa, S.; Pikaar, I.; Ganigué, R.; Rabaey, K. Towards new carbon–neutral food systems: Combining carbon capture and utilization with microbial protein production. Bioresour. Technol. 2022, 349, 126853. [Google Scholar] [CrossRef] [PubMed]
- Alexander, P.; Berri, A.; Moran, D.; Reay, D.; Rounsevell, M.D.A. The global environmental paw print of pet food. Glob. Environ. Change 2020, 65, 102153. [Google Scholar] [CrossRef]
- Fu, Q.; Zhao, J.; Rong, S.; Han, Y.; Liu, F.; Chu, Q.; Wang, S.; Chen, S. Research advances in plant protein-based products: protein sources, processing technology, and food applications. J. Agric. Food Chem. 2023, 71, 15429–15444. [Google Scholar] [CrossRef]
- McCusker, S.; Buff, P.R.; Yu, Z.; Fascetti, A.J. Amino acid content of selected plant, algae and insect species: a search for alternative protein sources for use in pet foods. J. Nutr. Sci. 2014, 3, e39. [Google Scholar] [CrossRef]
- Kanakubo, K.; Fascetti, A.J.; Larsen, J.A. Assessment of protein and amino acid concentrations and labeling adequacy of commercial vegetarian diets formulated for dogs and cats. J. Am. Vet. Med. Assoc. 2015, 247, 385–392. [Google Scholar] [CrossRef]
- Zafalon, R.V.A.; Risolia, L.W.; Vendramini, T.H.A.; Ayres Rodrigues, R.B.; Pedrinelli, V.; Teixeira, F.A.; Rentas, M.F.; Perini, M.P.; Alvarenga, I.C.; Brunetto, M.A. Nutritional inadequacies in commercial vegan foods for dogs and cats. PLoS One 2020, 15, e0227046. [Google Scholar] [CrossRef]
- Cavanaugh, S.M.; Cavanaugh, R.P.; Gilbert, G.E.; Leavitt, E.L.; Ketzis, J.K.; Vieira, A.B. Short-term amino acid, clinicopathologic, and echocardiographic findings in healthy dogs fed a commercial plant-based diet. PLoS One 2021, 16, e0258044. [Google Scholar] [CrossRef]
- Linde, A.; Lahiff, M.; Krantz, A.; Sharp, N.; Ng, T.T.; Melgarejo, T. Domestic dogs maintain clinical, nutritional, and hematological health outcomes when fed a commercial plant-based diet for a year. PLoS One 2024, 19, e0298942. [Google Scholar] [CrossRef]
- Sim, S.Y.J.; Akila, S.R.V.; Chiang, J.H.; Henry, C.J. Plant proteins for future foods: A roadmap. Foods 2021, 10, 1967. [Google Scholar] [CrossRef]
- Fantinati, M.; Dufayet, R.; Rouch-Buck, P.; Priymenko, N. Relationship between a plant-based “vegan” pet food and clinical manifestation of multiple nutrient deficiencies in two cats. J. Anim. Physiol. Anim. Nutr. 2021, 105, 1179–1191. [Google Scholar] [CrossRef] [PubMed]
- Fiacco, D.C.; Lowe, J.A.; Wiseman, J.; White, G.A. Evaluation of vegetable protein in canine diets: Assessment of performance and apparent ileal amino acid digestibility using a broiler model. J. Anim. Physiol. Anim. Nutr 2018, 102, e442–e448. [Google Scholar] [CrossRef] [PubMed]
- Reilly, L.M.; von Schaumburg, P.C.; Hoke, J.M.; Davenport, G.M.; Utterback, P.L.; Parsons, C.M.; de Godoy, M.R.C. Use of the precision-fed cecectomized rooster assay to determine standardized amino acid digestibility, true metabolizable energy content, and digestible indispensable amino acid scores of plant-based protein by-products used in canine and feline diets. Transl. Anim. Sci. 2021, 5, txab025. [Google Scholar] [CrossRef] [PubMed]
- Reilly, L.M.; von Schaumburg, P.C.; Hoke, J.M.; Davenport, G.M.; Utterback, P.L.; Parsons, C.M.; de Godoy, M.R.C. Macronutrient composition, true metabolizable energy and amino acid digestibility, and indispensable amino acid scoring of pulse ingredients for use in canine and feline diets. J. Anim. Sci. 2020, 98, skaa149. [Google Scholar] [CrossRef]
- Patel, S. Chapter 2 - Insects as a source of sustainable proteins. In Proteins: Sustainable Source, Processing and Applications, Galanakis, C.M., Ed.; Academic Press, London, UK, 2019; pp. 41–61. [CrossRef]
- Penazzi, L.; Schiavone, A.; Russo, N.; Nery, J.; Valle, E.; Madrid, J.; Martinez, S.; Hernandez, F.; Pagani, E.; Ala, U.; Prola, L. In vivo and in vitro digestibility of an extruded complete dog food containing black soldier fly (Hermetia illucens) larvae meal as protein source. Front. Vet. Sci. 2021, 8, 653411. [Google Scholar] [CrossRef]
- Choi, I.-H.; Jeong, Y.-W.; Park, K.-H.; Chung, T.-H. Evaluation of companion canine palatability by feeding insect diets(1). JESI 2023, 32, 853–856. [Google Scholar] [CrossRef]
- Abd El-Wahab, A.; Meyer, L.; Kölln, M.; Chuppava, B.; Wilke, V.; Visscher, C.; Kamphues, J. Insect larvae meal (Hermetia illucens) as a sustainable protein source of canine food and its impacts on nutrient digestibility and fecal quality. Animals 2021, 11, 2525. [Google Scholar] [CrossRef]
- Lisenko, K.G.; Godoy, M.R.C.; Oliveira, K.R.B.; Oliveira, M.R.D.; Silva, T.V.; Fontes, T.V.; Lacerda, R.F.; Ferreira, L.G.; Gonçalves, T.M.; Zangeronimo, M.G.; da Costa, D.V.; Saad, F.M.O.B. Digestibility of insect meals for dogs and their effects on blood parameters, faecal characteristics, volatile fatty acids, and gut microbiota. J. Insects Food Feed 2023, 9, 907–918. [Google Scholar] [CrossRef]
- Smola, M.A.; Oba, P.M.; Utterback, P.L.; Sánchez-Sánchez, L.; Parsons, C.M.; Swanson, K.S. Amino acid digestibility and protein quality of mealworm-based ingredients using the precision-fed cecectomized rooster assay. J. Anim. Sci. 2023, 101, skad012. [Google Scholar] [CrossRef]
- Rumpold, B.A.; Langen, N. Consumer acceptance of edible insects in an organic waste-based bioeconomy. Curr. Opin. Green Sustain. Chem. 2020, 23, 80–84. [Google Scholar] [CrossRef]
- Acosta-Estrada, B.A.; Reyes, A.; Rosell, C.M.; Rodrigo, D.; Ibarra-Herrera, C.C. Benefits and challenges in the incorporation of insects in food products. Front. Nutr. 2021, 8, 687712. [Google Scholar] [CrossRef] [PubMed]
- Bosch, G.; Swanson, K.S. Effect of using insects as feed on animals: pet dogs and cats. J. Insects Food Feed 2021, 7, 795–805. [Google Scholar] [CrossRef]
- He, J.; Tang, M.; Zhong, F.; Deng, J.; Li, W.; Zhang, L.; Lin, Q.; Xia, X.; Li, J.; Guo, T. Current trends and possibilities of typical microbial protein production approaches: a review. Crit. Rev. Biotechnol. 2024, 44, 1515–1532. [Google Scholar] [CrossRef] [PubMed]
- Marcellin, E.; Angenent, L.T.; Nielsen, L.K.; Molitor, B. Recycling carbon for sustainable protein production using gas fermentation. Curr. Opin. Biotechnol. 2022, 76, 102723. [Google Scholar] [CrossRef]
- Sobhi, M.; Zakaria, E.; Zhu, F.; Liu, W.; Aboagye, D.; Hu, X.; Cui, Y.; Huo, S. Advanced microbial protein technologies are promising for supporting global food-feed supply chains with positive environmental impacts. Sci. Total Environ. 2023, 894, 165044. [Google Scholar] [CrossRef]
- Xu, J.; Wang, J.; Ma, C.; Wei, Z.; Zhai, Y.; Tian, N.; Zhu, Z.; Xue, M.; Li, D. Embracing a low-carbon future by the production and marketing of C1 gas protein. Biotechnol. Adv. 2023, 63, 108096. [Google Scholar] [CrossRef]
- Anupama; Ravindra, P. Value-added food:: Single cell protein. Biotechnol. Adv. 2000, 18, 459–479. [CrossRef]
- D’Mello, J.P.F. Limiting amino acids in dried microbial cells given to young turkeys. Anim. Feed Sci. Technol. 1979, 4, 209–220. [Google Scholar] [CrossRef]
- Stringer, D.A. Industrial development and evaluation of new protein sources: Micro-organisms. Proc. Nutr. Soc. 1982, 41, 289–300. [Google Scholar] [CrossRef]
- Skrede, A.; Berge, G.M.; Storebakken, T.; Herstad, O.; Aarstad, K.G.; Sundstøl, F. Digestibility of bacterial protein grown on natural gas in mink, pigs, chicken and Atlantic salmon. Anim. Feed Sci. Technol. 1998, 76, 103–116. [Google Scholar] [CrossRef]
- Schøyen, H.F.; Svihus, B.; Storebakken, T.; Skrede, A. Bacterial protein meal produced on natural gas replacing soybean meal or fish meal in broiler chicken diets. Arch. Anim. Nutr. 2007, 61, 276–291. [Google Scholar] [CrossRef] [PubMed]
- Perera, W.M.; Carter, C.G.; Houlihan, D.F. Feed consumption, growth and growth efficiency of rainbow trout (Oncorhynchus mykiss (Walbaum)) fed on diets containing a bacterial single-cell protein. Br. J. Nutr. 1995, 73, 591–603. [Google Scholar] [CrossRef] [PubMed]
- Aas, T.S.; Grisdale-Helland, B.; Terjesen, B.F.; Helland, S.J. Improved growth and nutrient utilisation in Atlantic salmon (Salmo salar) fed diets containing a bacterial protein meal. Aquaculture 2006, 259, 365–376. [Google Scholar] [CrossRef]
- Chen, Y.; Chi, S.; Zhang, S.; Dong, X.; Yang, Q.; Liu, H.; Zhang, W.; Deng, J.; Tan, B.; Xie, S. Replacement of fish meal with Methanotroph (Methylococcus capsulatus, Bath) bacteria meal in the diets of Pacific white shrimp (Litopenaeus vannamei). Aquaculture 2021, 541, 736801. [Google Scholar] [CrossRef]
- Jintasataporn, O.; Chumkam, S.; Triwutanon, S.; LeBlanc, A.; Sawanboonchun, J. Effects of a single cell protein (Methylococcus capsulatus, Bath) in Pacific white shrimp (Penaeus vannamei) diet on growth performance, survival rate and resistance to Vibrio parahaemolyticus, the causative agent of Acute Hepatopancreatic Necrosis Disease. Front. Mar. Sci. 2021, 8, 1643. [Google Scholar] [CrossRef]
- Ruiz, A.; Sanahuja, I.; Thorringer, N.W.; Lynegaard, J.; Ntokou, E.; Furones, D.; Gisbert, E. Single cell protein from methanotrophic bacteria as an alternative healthy and functional protein source in aquafeeds, a holistic approach in rainbow trout (Oncorhynchus mykiss) juveniles. Aquaculture 2023, 576, 739861. [Google Scholar] [CrossRef]
- Vasilaki, A.; Mente, E.; Fountoulaki, E.; Henry, M.; Nikoloudaki, C.; Berillis, P.; Kousoulaki, K.; Nengas, I. Fishmeal, plant protein, and fish oil substitution with single-cell ingredients in organic feeds for European sea bass (Dicentrarchus labrax). Front. Physiol. 2023, 14, 1199497. [Google Scholar] [CrossRef]
- Øverland, M.S.; Skrede, A.; Matre, T. Bacterial protein grown on natural gas as feed for pigs. Acta Agri. Scand. A Anim. Sci. 2001, 51, 97–106. [Google Scholar] [CrossRef]
- Øverland, M.; Petter Kjos, N.; Skrede, A. Effect of bacterial protein meal grown on natural gas on growth performance and carcass traits of pigs. Ital. J. Anim. Sci. 2004, 3, 323–336. [Google Scholar] [CrossRef]
- Hellwing, A.L.F.; Tauson, A.-H.; Kjos, N.P.; Skrede, A. Bacterial protein meal in diets for growing pigs: effects on protein and energy metabolism. Animal 2007, 1, 45–54. [Google Scholar] [CrossRef]
- Hellwing, A.L.F.; Tauson, A.-H.; Skrede, A. Blood parameters in growing pigs fed increasing levels of bacterial protein meal. Acta Vet. Scand. 2007, 49, 33. [Google Scholar] [CrossRef] [PubMed]
- Rønn, M.; Thorsteinsson, M.; Johannsen, J.C.; Nørgaard, J.V.; Julegaard, I.K.; Nielsen, M.O. Evaluation of nutritional quality for weaner piglets of a new methanotrophic microbial cell-derived protein feed. Anim. Feed Sci. Technol. 2022, 294, 115498. [Google Scholar] [CrossRef]
- Hedemann, M.S.; Rønn, M.; van der Heide, M.E.; Julegaard, I.K.; Nielsen, M.O. Dietary inclusion of methanotrophic microbial cell-derived protein in the early postweaning period sustains growth performance and intestinal health of weaner piglets. Animal 2023, 17, 100798. [Google Scholar] [CrossRef] [PubMed]
- Hellwing, A.L.F.; Tauson, A.-H.; Skrede, A. Effect of bacterial protein meal on protein and energy metabolism in growing chickens. Arch. Anim. Nutr. 2006, 60, 365–381. [Google Scholar] [CrossRef]
- Schøyen, H.F.; Hetland, H.; Rouvinen-Watt, K.; Skrede, A. Growth performance and ileal and total tract amino acid digestibility in broiler chickens fed diets containing bacterial protein produced on natural gas. Poult. Sci. 2007, 86, 87–93. [Google Scholar] [CrossRef]
- Skrede, A.; Faaland Schøyen, H.; Svihus, B.; Storebakken, T. The effect of bacterial protein grown on natural gas on growth performance and sensory quality of broiler chickens. Can. J. Anim. Sci. 2003, 83, 229–237. [Google Scholar] [CrossRef]
- Ahlstrøm, Ø.; Tauson, A.-H.; Hellwing, A.L.F.; Mydland, L.T.; Skrede, A. Growth performance, nitrogen balance and urinary purine derivatives in growing-furring mink (Mustela vison) fed bacterial protein produced from natural gas. J. Anim. Feed Sci. 2006, 15, 491–504. [Google Scholar] [CrossRef]
- Hellwing, A.L.F.; Tauson, A.-H.; Skrede, A.; Kjos, N.P.; Ahlstrøm, Ø. Bacterial protein meal in diets for pigs and minks: Comparative studies on protein turnover rate and urinary excretion of purine base derivatives. Arch. Anim. Nutr. 2007, 61, 425–443. [Google Scholar] [CrossRef]
- Skrede, A.; Mydland, L.T.; Øverland, M. Effects of growth substrate and partial removal of nucleic acids in the production of bacterial protein meal on amino acid profile and digestibility in mink. J. Anim. Feed Sci. 2009, 18, 689–698. [Google Scholar] [CrossRef]
- Skrede, A.; Ahlstrøm, Ø. Bacterial protein produced on natural gas: A new potential feed ingredient for dogs evaluated using the blue fox as a model. J. Nutr. 2002, 132, 1668S–1669S. [Google Scholar] [CrossRef]
- Vhile, S.G.; Skrede, A.; Ahlstrøm, Ø.; Szymeczko, R.; Hove, K. Ileal and total tract nutrient digestibility in blue foxes (Alopex lagopus) fed extruded diets containing different protein sources. Arch. Anim. Nutr. 2005, 59, 61–72. [Google Scholar] [CrossRef] [PubMed]
- Biswas, A.; Takakuwa, F.; Yamada, S.; Matsuda, A.; Saville, R.M.; LeBlanc, A.; Silverman, J.A.; Sato, N.; Tanaka, H. Methanotroph (Methylococcus capsulatus, Bath) bacteria meal as an alternative protein source for Japanese yellowtail, Seriola quinqueradiata. Aquaculture 2020, 529, 735700. [Google Scholar] [CrossRef]
- Øverland, M.; Tauson, A.-H.; Shearer, K.; Skrede, A. Evaluation of methane-utilising bacteria products as feed ingredients for monogastric animals. Arch. Anim. Nutr. 2010, 64, 171–189. [Google Scholar] [CrossRef] [PubMed]
- Yu, H.; Liang, H.; Longshaw, M.; Wang, J.; Ge, X.; Ren, M.; Zhang, L. Methanotroph (Methylococcus capsulatus, Bath) bacteria meal (FeedKind®) could effectively improve the growth, apparent digestibility coefficient, blood biochemical parameters, antioxidant indices of juvenile Jian carp (Cyprinus carpio var. Jian). Anim. Feed Sci. Technol. 2022, 288, 115293. [Google Scholar] [CrossRef]
- Oba, P.M.; Utterback, P.L.; Longshaw, M.; Parsons, C.M.; Swanson, K.S. Comparing the standardized amino acid digestibility of an alternative protein source with commercially available protein-based ingredients using the precision-fed cecectomized rooster assay. J. Anim. Sci. 2023, 101, skad236. [Google Scholar] [CrossRef]
- Glencross, B.; Ling, X.; Gatlin, D.; Kaushik, S.; Øverland, M.; Newton, R.; Valente, L.M.P. A SWOT analysis of the use of marine, grain, terrestrial-animal and novel protein ingredients in aquaculture feeds. Rev. Fish. Sci. Aquacult. 2024, 32, 396–434. [Google Scholar] [CrossRef]
- Glencross, B.D.; Huyben, D.; Schrama, J.W. The application of single-cell ingredients in aquaculture feeds — a review. Fishes 2020, 5, 22. [Google Scholar] [CrossRef]
- AAFCO, 2023. Official Publication. Association of American Feed Control Officials, Champaign, IL.
- Hand, M. Small Animal Clinical Nutrition, 5th ed. Mark Morris Institute, 2010.
- Caporaso, J.G.; Lauber, C.L.; Walters, W.A.; Berg-Lyons, D.; Huntley, J.; Fierer, N.; Owens, S.M.; Betley, J.; Fraser, L.; Bauer, M.; Gormley, N.; Gilbert, J.A.; Smith, G.; Knight, R. Ultra-high-throughput microbial community analysis on the Illumina HiSeq and MiSeq platforms. ISME J 2012, 6, 1621–1624. [Google Scholar] [CrossRef]
- Caporaso, J.G.; Kuczynski, J.; Stombaugh, J.; Bittinger, K.; Bushman, F.D.; Costello, E.K.; Fierer, N.; Peña, A.G.; Goodrich, J.K.; Gordon, J.I.; Huttley, G.A.; Kelley, S.T.; Knights, D.; Koenig, J.E.; Ley, R.E.; Lozupone, C.A.; McDonald, D.; Muegge, B.D.; Pirrung, M.; Reeder, J.; Sevinsky, J.R.; Turnbaugh, P.J.; Walters, W.A.; Widmann, J.; Yatsunenko, T.; Zaneveld, J.; Knight, R. QIIME allows analysis of high-throughput community sequencing data. Nat. Methods 2010, 7, 335–336. [Google Scholar] [CrossRef]
- Callahan, B.J.; McMurdie, P.J.; Rosen, M.J.; Han, A.W.; Johnson, A.J.A.; Holmes, S.P. DADA2: High-resolution sample inference from Illumina amplicon data. Nat. Methods 2016, 13, 581–583. [Google Scholar] [CrossRef]
- Bokulich, N.A.; Kaehler, B.D.; Rideout, J.R.; Dillon, M.; Bolyen, E.; Knight, R.; Huttley, G.A.; Gregory Caporaso, J. Optimizing taxonomic classification of marker-gene amplicon sequences with QIIME 2’s q2-feature-classifier plugin. Microbiome 2018, 6, 90. [Google Scholar] [CrossRef] [PubMed]
- Quast, C.; Pruesse, E.; Yilmaz, P.; Gerken, J.; Schweer, T.; Yarza, P.; Peplies, J.; Glöckner, F.O. The SILVA ribosomal RNA gene database project: improved data processing and web-based tools. Nucleic Acids Res. 2013, 41, D590–D596. [Google Scholar] [CrossRef] [PubMed]
- Robeson, M.S.; O’Rourke, D.R.; Kaehler, B.D.; Ziemski, M.; Dillon, M.R.; Foster, J.T.; Bokulich, N.A. RESCRIPt: Reproducible sequence taxonomy reference database management. PLoS Comput. Biol. 2021, 17, e1009581. [Google Scholar] [CrossRef] [PubMed]
- Lozupone, C.; Knight, R. UniFrac: a new phylogenetic method for comparing microbial communities. Appl. Environ. Microbiol. 2005, 71, 8228–8235. [Google Scholar] [CrossRef]
- Milliken, G.; Johnson, D. Analysis of Messy Data, Volume III: Analysis of Covariance, 1st ed; Routledge, London, UK. 622pp.
- Pilmer, L.W.; Woolley, L.D.; Lymbery, A.J.; Salini, M.; Partridge, G.J. Using dietary additives to improve palatability of diets containing single-cell protein from methanotrophic bacteria in yellowtail kingfish (Seriola lalandi) diets. Aquacult. Res. 2022, 53, 5006–5017. [Google Scholar] [CrossRef]
- Andrade, T.; Lima, D.C.; Domingues, L.P.; Félix, A.P.; de Oliveira, S.G.; Maiorka, A. Spray-dried porcine plasma in dog foods: implications on digestibility, palatability and haematology. Semin. Ciênc. Agrár. 2019, 40, 1287–1296. [Google Scholar] [CrossRef]
- Guilherme-Fernandes, J.; Fonseca, A.J.M.; Aires, T.; Lima, S.A.C.; Maia, M.R.G.; Cabrita, A.R.J. Unveiling the effects of shrimp hydrolysate as a dietary ingredient in healthy adult Beagle dogs. J. Anim. Sci. 2024, 102, skae280. [Google Scholar] [CrossRef]
- Lin, C.-Y.; Kerr, K.R.; Panasevich, M.R.; Daristotle, L.; Frantz, N.Z. Duckweed protein as an alternative plant-based protein source for dog and cat dry diets. J. Anim. Sci. 2024, 102, skae244. [Google Scholar] [CrossRef]
- Kim, H.S.; Titgemeyer, E.C.; Curles, E.; Olsen, L.M.; Aldrich, C.G. Evaluation of soybean ingredients in pet foods applications: Systematic review. Animals 2024, 14, 16. [Google Scholar] [CrossRef]
- French, S.; Cochrane, C.-Y.; Faurot, M.; Audibert, P.; Belloso, T.; Badri, D.V. Safety and digestibility of a novel ingredient, brewed lamb protein, in healthy adult dogs. Animals 2025, 15, 427. [Google Scholar] [CrossRef]
- Kara, K.; Kahraman, O.; İnal, F.; İnanç, Z.S.; Öztaş, Y.; Alataş, M.S.; Ahmed, I. Digestion, faeces microbiome, and selected blood parameters in dogs fed extruded food containing Black soldier fly ( Hermetia illucens ) meal. Ital. J. Anim. Sci. 2025, 24, 466–483. [Google Scholar] [CrossRef]
- Rodrigues, A.; Leal, R.O.; Girod, M.; Dally, C.; Guery, E.; Gomes, E.; Hernandez, J. Canine copper-associated hepatitis: A retrospective study of 17 clinical cases. Open Vet. J. 2020, 10, 128–134. [Google Scholar] [CrossRef] [PubMed]
- Gori, E.; Pierini, A.; Meucci, V.; Abramo, F.; Muscatello, L.V.; Marchetti, V. ; Hepatic lead and copper concentrations in dogs with chronic hepatitis and their relationship with hematology, serum biochemistry, and histopathology. J. Vet. Intern. Med. 2021, 35, 1773–1779. [Google Scholar] [CrossRef] [PubMed]
- Poblanno Silva, F.M.; Grant, C.E.; Ribeiro, É.d.M.; Verbrugghe, A. Nutritional management of a dog with hepatic enzymopathy suspected to be secondary to copper-associated hepatitis: a case report. Front. Vet. Sci. 2023, 10, 1215447. [Google Scholar] [CrossRef]
- Amundson, L.A.; Kirn, B.N.; Swensson, E.J.; Millican, A.A.; Fahey, G.C. Copper metabolism and its implications for canine nutrition. Transl. Anim. Sci. 2024, 8, txad147. [Google Scholar] [CrossRef]
- National Research Council of the National Academies. Nutrient Requirements of Dogs and Cats. National Academies Press, Washington, D.C., USA, 2006; 398pp. [CrossRef]
- Ryu, M.-O.; Lee, K.-H.; Ha, H.-M.; Kim, H.-R.; Ahn, W.-S.; Kim, S.-H.; Seo, K.-W. Proximate analysis and profiles of amino acids, fatty acids, and minerals in insect-based foods for dogs. Am. J. Vet. Res. 2025, 86, 1–9. [Google Scholar] [CrossRef]
- Aas, T.S.; Hatlen, B.; Grisdale-Helland, B.; Terjesen, B.F.; Penn, M.; Bakke-McKellep, A.M.; Helland, S.J. Feed intake, growth and nutrient utilization in Atlantic halibut (Hippoglossus hippoglossus) fed diets containing a bacterial protein meal. Aquacult. Res. 2007, 38, 351–360. [Google Scholar] [CrossRef]
- Guo, B.; He, X.; Ge, C.; Xue, M.; Wang, J.; Longshaw, M.; Wang, J.; Liang, X. A natural gas fermentation bacterial meal (FeedKind®) as a functional alternative ingredient for fishmeal in diet of largemouth bass, Micropterus salmoides. Antioxidants 2022, 11, 1479. [Google Scholar] [CrossRef]
- Saichenko, I.V.; Antipov, A.A.; Bakhur, T.I.; Bezditko, L.V.; Shmayun, S.S. Co-infection of Trichuris vulpis and Toxocara canis in different aged dogs: Influence on the haematological indices. Biosys. Divers. 2021, 29, 129–134. [Google Scholar] [CrossRef]
- Romarheim, O.H.; Hetland, D.L.; Skrede, A.; Øverland, M.; Mydland, L.T.; Landsverk, T. Prevention of soya-induced enteritis in Atlantic salmon (Salmo salar) by bacteria grown on natural gas is dose dependent and related to epithelial MHC II reactivity and CD8α+ intraepithelial lymphocytes. Br. J. Nutr. 2013, 109, 1062–1070. [Google Scholar] [CrossRef]
- Romarheim, O.H.; Landsverk, T.; Mydland, L.T.; Skrede, A.; Øverland, M. Cell wall fractions from Methylococcus capsulatus prevent soybean meal-induced enteritis in Atlantic salmon (Salmo salar). Aquaculture 2013, 402–403, 13–18. [Google Scholar] [CrossRef]
- Zhang, Q.; Liang, H.; Longshaw, M.; Wang, J.; Ge, X.; Zhu, J.; Li, S.; Ren, M. Effects of replacing fishmeal with methanotroph (Methylococcus capsulatus, Bath) bacteria meal (FeedKind®) on growth and intestinal health status of juvenile largemouth bass (Micropterus salmoides). Fish Shellfish Immunol. 2022, 122, 298–305. [Google Scholar] [CrossRef] [PubMed]
- Zhang, J.; Yu, M.; Wang, J.; Longshaw, M.; Song, K.; Wang, L.; Li, X.; Zhang, C.; Lu, K. Methanotroph (Methylococcus capsulatus, Bath) bacteria meal alleviates soybean meal-induced enteritis in spotted seabass (Lateolabrax maculatus) by modulating immune responses and the intestinal flora. Aquaculture 2023, 575, 739795. [Google Scholar] [CrossRef]
- Zheng, J.; Zhang, W.; Dan, Z.; Cao, X.; Gong, Y.; Mai, K.; Ai, Q. Dietary methanotroph bacteria meal alleviates soybean meal-induced enteritis by improving immune tolerance and intestinal flora profile of juvenile turbot (Scophthalmus maximus L.). Fish Shellfish Immunol. 2024, 148, 109463. [Google Scholar] [CrossRef]
- Dai, J.; Luo, H.; Liu, Z.; Hu, Y. Evaluation of fish meal replacement by Methylococcus capsulatus protein in diets for juvenile Chinese softshell turtle (Pelodiscus sinensis). Aquaculture 2024, 587, 740857. [Google Scholar] [CrossRef]
- Christensen, H.R.; Larsen, L.C.; Frøkiær, H. The oral immunogenicity of BioProtein, a bacterial single-cell protein, is affected by its particulate nature. Br. J. Nutr. 2003, 90, 169–178. [Google Scholar] [CrossRef]
- Romarheim, O.H.; Øverland, M.; Mydland, L.T.; Skrede, A.; Landsverk, T. Bacteria grown on natural gas prevent soybean meal-induced enteritis in Atlantic salmon. J. Nutr. 2011, 141, 124–130. [Google Scholar] [CrossRef]
- Sikkeland, L.I.B.; Thorgersen, E.B.; Haug, T.; Mollnes, T.E. Complement activation and cytokine response by BioProtein, a bacterial single cell protein. Clin. Exp. Immunol. 2007, 148, 146–152. [Google Scholar] [CrossRef]
- Mølck, A.-M.; Poulsen, M.; Christensen, H.R.; Lauridsen, S.T.; Madsen, C. Immunotoxicity of nucleic acid reduced BioProtein — a bacterial derived single cell protein — in Wistar rats. Toxicol. 2002, 174, 183–200. [Google Scholar] [CrossRef]
- Boyd, J.W. The mechanisms relating to increases in plasma enzymes and isoenzymes in diseases of animals. Vet. Clin. Pathol. 1983, 12, 9–24. [Google Scholar] [CrossRef]
- Oikonomidis, I.; Milne, E. Clinical enzymology of the dog and cat. Aust. Vet. J. 2023, 101, 465–478. [Google Scholar] [CrossRef] [PubMed]
- Center, S.A. Interpretation of liver enzymes. Vet. Clin. North Am. Small Anim. Pract. 2007, 37, 297–333. [Google Scholar] [CrossRef] [PubMed]
- Oba, P.M.; Kelly, J.; Kostiuk, D.; Swanson, K.S. . Effects of weight loss and feeding specially formulated diets on the body composition, blood metabolite profiles, voluntary physical activity, and fecal metabolites and microbiota of obese dogs. J. Anim. Sci. 2023, 101, skad073. [Google Scholar] [CrossRef] [PubMed]
- Wells, H.G. The purine metabolism of the dalmatian coach hound. J. Biol. Chem. 1918, 35, 221–225. [Google Scholar] [CrossRef]
- Langfeldt, E.; Holmsen, J. The excretion of purine derivatives in dogs. Biochem. J. 1925, 19, 717–723. [Google Scholar] [CrossRef]
- Hellwing, A.L.F.; Tauson, A.-H.; Skrede, A. Excretion of purine base derivatives after intake of bacterial protein meal in pigs. In: Livestock Science, 10th International Symposium on Digestive Physiology in Pigs, Denmark 2006, 109, 70–72. [Google Scholar] [CrossRef]
- Defarges, A.; Evason, M.; Dunn, M.; Berent, A. Urolithiasis in Small Animals. In: Clinical Small Animal Internal Medicine., 1st ed.; Bruyette, D.S.; Bexfield, N.; Chretin, J.D.; Kidd, L.; Kube, S.; Langston, C.; Owen, T.J.; Oyama, M.A.; Peterson, N.; Reiter, L.V.; Rozanski, E.A.; Ruaux, C.; Torres, S.M.F., Eds.; John Wiley & Sons, Ltd, London, 2020; pp. 1123–1156. [CrossRef]
- Osborne, C.A., Lulich, J.P., Ulrich, L.K., 2010. Chapter 38: Canine urolithiasis: definitions, pathophysiology and clinical manifestations. In: Small Animal Clinical Nutrition, 5th Edition. 2007, p. 813-832.
- Kaempfle, M.; Bergmann, M.; Koelle, P.; Hartmann, K. High performance liquid chromatography analysis and description of purine content of diets suitable for dogs with Leishmania infection during Allopurinol treatment — a pilot trial. Animals 2023, 13, 3060. [Google Scholar] [CrossRef]
- Kasahara, K.; Kerby, R.L.; Zhang, Q.; Pradhan, M.; Mehrabian, M.; Lusis, A.J.; Bergström, G.; Bäckhed, F.; Rey, F.E. Gut bacterial metabolism contributes to host global purine homeostasis. Cell Host Microbe 2023, 31, 1038–1053.e10. [Google Scholar] [CrossRef]
- Zhen, Y.; Chen, Y.; Ge, L.; Wei, W.; Wang, Y.; Hu, L.; Loor, J.J.; Wang, M.; Yin, J. The short-day cycle induces intestinal epithelial purine metabolism imbalance and hepatic disfunctions in antibiotic-mediated gut microbiota perturbation mice. Int. J. Mol. Sci. 2022, 23, 6008. [Google Scholar] [CrossRef]
- Suchodolski, J.S. Analysis of the gut microbiome in dogs and cats. Vet. Clin. Pathol. 2022, 50, 6–17. [Google Scholar] [CrossRef]
- Baritugo, K.A.; Bakhsh, A.; Kim, B.; Park, S. Perspectives on functional foods for improvement of canine health and treatment of diseases. J. Funct. Foods 2023, 109, 105744. [Google Scholar] [CrossRef]
- Atuahene, D.; Mukarram, S.A.; Balouei, F.; Antwi, A. Gut health optimization in canines and felines: Exploring the role of probiotics and nutraceuticals. Pets 2024, 1, 135–151. [Google Scholar] [CrossRef]
- Rojas, C.A.; Park, B.; Scarsella, E.; Jospin, G.; Entrolezo, Z.; Jarett, J.K.; Martin, A.; Ganz, H.H. Species-level characterization of the core microbiome in healthy dogs using full-length 16S rRNA gene sequencing. Front. Vet. Sci. 2024, 11, 1405470. [Google Scholar] [CrossRef] [PubMed]
- Wilson, S.M.; Swanson, K.S. The influence of ‘biotics’ on the gut microbiome of dogs and cats. Vet. Rec. 2024, 195, 2–12. [Google Scholar] [CrossRef] [PubMed]
- Balouei, F.; Stefanon, B.; Armone, R.; Randazzo, A.; Chiofalo, B. Nutritional and microbiome effects of a partial substitution of poultry meat with hydrolyzed feather meal in dog diets. Microorganisms 2025, 13, 121. [Google Scholar] [CrossRef]
- Montserrat-Malagarriga, M.; Castillejos, L.; Salas-Mani, A.; Torre, C.; Martín-Orúe, S.M. The impact of fiber source on digestive function, fecal microbiota, and immune response in adult dogs. Animals 2024, 14, 196. [Google Scholar] [CrossRef]
- Zhang, L.; Yang, K.; Jian, S.; Xin, Z.; Wen, C.; Zhang, L.; Huang, J.; Deng, B.; Deng, J. Effects of softening dry food with water on stress response, intestinal microbiome, and metabolic profile in Beagle dogs. Metabolites 2022, 12, 1124. [Google Scholar] [CrossRef]
- Kim, H.; Seo, J.; Park, T.; Seo, K.; Cho, H.-W.; Chun, J.L.; Kim, K.H. Obese dogs exhibit different fecal microbiome and specific microbial networks compared with normal weight dogs. Sci. Rep. 2023, 13, 723. [Google Scholar] [CrossRef]
- AOAC. 2006. Official Methods of Analysis of AOAC International. 17th ed. Association of Official Analysis Chemists International, Arlington, VA, USA.
- AOAC. 2002. Official Methods of Analysis of AOAC International. 16th ed. Association of Official Analysis Chemists International, Arlington, VA, USA.
- Prosky, L.; Asp, N.G.; Schweizer, T.F.; DeVries, J.W.; Furda, I. Determination of insoluble, soluble, and total dietary fiber in foods and food products: interlaboratory study. J. Assoc. Off. Anal. Chem. 1988, 71, 1017–1023. [Google Scholar] [CrossRef]
- Viñas, P.; López-Erroz, C.; Balsalabre, N.; Hernández-Córdoba, M. Reversed-phase liquid chromatography on an amide stationary phase for the determination of the B group vitamins in baby foods. J. Chrom. A 2003, 1007, 77–84. [Google Scholar] [CrossRef]









| Crude Protein | 74.68 |
| Ash | 7.17 |
| Fat | 8.48 |
| Crude Fibre | 0.03 |
| Alanine | 4.27 |
| Arginine | 3.89 |
| Aspartic acid | 5.21 |
| Glutamic acid | 6.51 |
| Glycine | 3.06 |
| Histidine | 1.34 |
| Isoleucine | 2.65 |
| Leucine | 4.61 |
| Lysine | 3.41 |
| Phenylalanine | 2.49 |
| Proline | 2.49 |
| Serine | 2.07 |
| Threonine | 2.62 |
| Tyrosine | 1.60 |
| Valine | 3.46 |
| Tryptophan | 0.77 |
| Methionine | 1.61 |
| Cystine | 0.37 |
| Copper (mg/kg) | 83.67 |
| Diet | ||||
| Ingredient Name | FK0 | FK4 | FK6 | FK8 |
| FeedKind | 0 | 4 | 6 | 8 |
| Ground Corn | 24.749 | 28.734 | 29.509 | 29.465 |
| Soybean Meal | 15.750 | 9.354 | 10.113 | 7.052 |
| Chicken Meal | 9.354 | 9.448 | 10.214 | 10.924 |
| Corn Gluten Meal | 9.354 | 9.262 | 6.000 | 5.000 |
| Chicken Fat | 7.671 | 7.247 | 7.091 | 7.052 |
| Wheat Midds | 7.671 | 7.247 | 7.091 | 7.052 |
| Ground Wheat | 7.671 | 7.247 | 6.324 | 7.052 |
| Dicalcium Phosphate | 3.777 | 3.602 | 3.436 | 3.524 |
| Beet Pulp | 3.200 | 2.974 | 3.465 | 4.000 |
| Liquid Natural Flavor | 3.000 | 3.000 | 3.000 | 3.000 |
| Dry Natural Flavor | 2.000 | 2.000 | 2.000 | 2.000 |
| Blood Meal | 1.000 | 1.000 | 1.000 | 1.000 |
| Wheat Germ Meal | 1.000 | 1.500 | 1.000 | 1.500 |
| Fish Oil | 0.652 | 0.649 | 0.635 | 0.482 |
| Brewer's Dried Yeast | 0.635 | 0.397 | 0.200 | 0.200 |
| Salt | 0.610 | 0.572 | 0.538 | 0.515 |
| Dried Whey | 0.500 | 0.200 | 0.500 | 0.500 |
| L-Threonine | 0.301 | 0.322 | 0.311 | 0.323 |
| Choline Chloride 60% | 0.228 | 0.216 | 0.202 | 0.153 |
| Potassium Chloride | 0.222 | 0.371 | 0.716 | 0.552 |
| Calcium Carbonate | 0.200 | 0.200 | 0.200 | 0.200 |
| Vitamins Premix | 0.189 | 0.189 | 0.189 | 0.189 |
| Minerals Premix | 0.155 | 0.158 | 0.156 | 0.155 |
| Mixed Tocopherols | 0.096 | 0.096 | 0.096 | 0.097 |
| BHA + BHT | 0.015 | 0.015 | 0.015 | 0.015 |
| Total value | 100.000 | 100.000 | 100.000 | 100.000 |
| Protein | 28.35 | 28.91 | 29.39 | 30.4 |
| Crude Fat | 13.09 | 13.85 | 13 | 12.4 |
| Crude Fiber | 2.9 | 3.11 | 2.9 | 2.78 |
| Ash | 7.14 | 7.57 | 8.29 | 8.08 |
| Feed component | Units | FK0 | FK4 | FK6 | FK8 | Minimum requirements1 |
| Moisture | % | 7.28 | 7.50 | 8.21 | 8.24 | - |
| Dry Matter | % | 92.72 | 92.50 | 91.79 | 91.76 | - |
| Crude Protein | % | 25.8 | 27.4 | 28.3 | 27.9 | 22.5 |
| Fat (acid hydrolysis) | % | 13.9 | 11.0 | 11.6 | 10.4 | 8.5 |
| Crude Fiber | % | 4.02 | 4.77 | 3.42 | 2.98 | - |
| Ash | % | 6.32 | 6.88 | 7.41 | 7.34 | - |
| Total Sulfur | % | 0.33 | 0.36 | 0.37 | 0.37 | - |
| Phosphorus (total) | % | 1.20 | 1.31 | 1.37 | 1.38 | 1.00 |
| Potassium (total) | % | 0.95 | 0.99 | 1.13 | 1.02 | 0.6 |
| Magnesium (total) | % | 0.16 | 0.17 | 0.19 | 0.20 | 0.06 |
| Calcium (total) | % | 1.16 | 1.38 | 1.45 | 1.36 | 1.2 |
| Sodium (total) | % | 0.34 | 0.40 | 0.40 | 0.38 | 0.30 |
| Iron (total) | ppm | 324 | 384 | 356 | 356 | 88 |
| Manganese (total) | ppm | 53.0 | 56.0 | 55.7 | 63.8 | 7.2 |
| Copper (total) | ppm | 24.4 | 28.0 | 27.1 | 30.8 | 12.4 |
| Zinc (total) | ppm | 149 | 148 | 130 | 157 | 100 |
| Aspartic acid | % | 2.44 | 2.57 | 2.40 | 2.26 | |
| Threonine | % | 1.11 | 1.19 | 1.18 | 1.19 | 1.04 |
| Serine | % | 1.23 | 1.30 | 1.20 | 1.18 | |
| Glutamic acid | % | 4.90 | 4.86 | 4.62 | 4.20 | |
| Proline | % | 1.81 | 1.76 | 1.75 | 1.43 | |
| Glycine | % | 1.92 | 1.89 | 1.79 | 1.64 | |
| Alanine | % | 1.88 | 1.98 | 1.89 | 1.84 | |
| Cystine | % | 0.34 | 0.32 | 0.42 | 0.31 | |
| Valine | % | 1.00 | 1.01 | 1.04 | 0.86 | 0.68 |
| Methionine | % | 0.43 | 0.45 | 0.50 | 0.50 | 0.35 |
| Isoleucine | % | 0.74 | 0.76 | 0.77 | 0.65 | 0.71 |
| Leucine | % | 1.70 | 2.16 | 2.07 | 2.20 | 1.29 |
| Tyrosine | % | 0.82 | 0.89 | 0.86 | 0.77 | |
| Phenylalanine | % | 1.06 | 1.10 | 1.09 | 1.11 | 0.83 |
| Lysine (total) | % | 1.09 | 1.14 | 1.32 | 1.11 | 0.90 |
| Histidine | % | 0.59 | 0.62 | 0.61 | 0.56 | 0.44 |
| Arginine | % | 1.00 | 0.94 | 1.00 | 1.42 | 1.00 |
| Tryptophan | % | 0.23 | 0.26 | 0.27 | 0.28 | 0.20 |
| Saturated fat (total) | g/100g | 4.28 | 3.41 | 3.63 | 3.28 | |
| Polyunsaturated fats (total) | g/100g | 3.25 | 2.62 | 2.75 | 2.45 | |
| Monounsaturated fats (total) | g/100g | 6.33 | 4.94 | 5.18 | 4.64 | |
| Trans fatty acids (total) | g/100g | 0.04 | 0.03 | 0.04 | 0.03 | |
| Omega 3 fatty acids (total) | g/100g | 0.22 | 0.19 | 0.22 | 0.18 | |
| Omega 6 fatty acids (total) | g/100g | 3.00 | 2.40 | 2.51 | 2.24 | |
| Omega 9 fatty acids (total) | g/100g | 5.39 | 4.19 | 4.38 | 3.92 | |
| Pantothenic acid (Vitamin B5) | mg/kg | 39.8 | 45.9 | 57.6 | 61.4 | 12 |
| Riboflavin (Vitamin B2) | mg/kg | 5.26 | 5.94 | 6.77 | 6.72 | 5.2 |
| Item | FK0 | FK4 | FK6 | FK8 |
| Dry matter, % | 93.87 | 93.83 | 93.16 | 92.92 |
| ---- Dry matter basis ---- | ||||
| Organic matter | 93.16 | 91.97 | 91.52 | 91.69 |
| Ash | 6.84 | 8.03 | 8.48 | 8.31 |
| Crude protein | 26.26 | 28.67 | 29.74 | 29.68 |
| Acid-hydrolyzed fat | 12.82 | 11.97 | 12.41 | 12.39 |
| Total dietary fiber | 16.04 | 16.62 | 15.98 | 16.27 |
| Insoluble fiber | 11.7 | 12.24 | 11.91 | 12.06 |
| Soluble fiber | 4.35 | 4.38 | 4.06 | 4.21 |
| Gross energy, kcal/g | 4.92 | 4.83 | 4.88 | 4.89 |
| FK0 | FK4 | FK6 | FK8 | P | |
| Mean initial weight (kg) (day 0) | 7.44 ± 1.372 | 7.7 ± 1.11 | 8.1 ± 1.24 | 8.24 ± 1.31 | 0.567 |
| Mean final weight (kg) (day 175) | 7.98 ± 1.61 | 8.10 ± 1.44 | 8.36 ± 1.49 | 8.27 ± 1.54 | 0.95 |
| Mean final weight (kg) (day 239) | 8.00 ± 1.62 | 8.23 ±1.49 | 8.60 ± 1.51 | 8.66 ± 1.45 | 0.789 |
| Weight gain (%) (day 0 to 180) | 7.23 | 4.85 | 3.24 | 0.35 | - |
| FCR (day 0 to 180) | 58.46 | 87.39 | 131.25 | 1238.66 | |
| Weight gain (%) (day 180 to 239) | 0.16 | 0.77 | 2.08 | 4.30 | - |
| FCR (day 181 to day 239) | 776.81 | 163.33 | 63.37 | 32.23 | |
| Weight gain (%) (day 0 to 239) | 7.56 | 6.47 | 6.17 | 5.03 | - |
| FCR (day 0 to day 239) | 73.13 | 85.96 | 91.08 | 113.22 |
| Day | Reference range | FK0 | FK4 | FK6 | FK8 |
| Red Blood Cell Count (106/uL) | |||||
| Day -7 | 5.64-7.98 | 6.831 ± 0.3171 | 6.828 ± 0.5255 | 6.929 ± 0.2923 | 7.051 ± 0.4330 |
| Day 169 | 6.980 ± 0.5423 | 7.036 ± 0.4564 | 6.808 ± 0.4563 | 6.803 ± 0.3138 | |
| Day 232 | 6.679 ± 0.4660 | 6.734 ± 0.6398 | 6.904 ± 0.5460 | 6.936 ± 0.5195 | |
| Hemoglobin (g/dL) | |||||
| Day -7 | 13.2-18.3 | 15.90 ± 0.784 | 15.64 ± 1.089 | 16.25 ± 0.767 | 16.24 ± 1.021 |
| Day 169 | 16.43 ± 1.236 | 16.46 ± 1.195 | 16.16 ± 1.072 | 15.66 ± 0.550 | |
| Day 232 | 15.84 ± 1.097 | 15.78 ± 1.655 | 16.38 ± 1.319 | 16.11 ± 1.122 | |
| Hemocrit (%) | |||||
| Day -7 | 39.8-55.5 | 46.18 ± 2.271 | 45.59 ± 2.966 | 47.05 ± 2.181 | 47.01 ± 2.718 |
| Day 169 | 49.54 ± 3.398 | 50.40 ± 3.806 | 48.98 ± 3.184 | 47.70 ± 1.654 | |
| Day 232 | 47.33 ± 3.157 | 47.43 ± 4.756 | 49.24 ± 3.363 | 48.66 ± 3.123 | |
| Mean Corpuscular Volume (fL) | |||||
| Day -7 | 65.4-74.2 | 67.61 ± 2.325 | 66.80 ± 2.191 | 67.90 ± 1.058 | 66.66 ± 1.686 |
| Day 169 | 71.09 ± 2.653 | 71.64 ± 2.571 | 71.96 ± 1.085 | 70.16 ± 1.969 | |
| Day 232 | 70.88 ± 2.575 | 70.40 ± 2.424 | 71.39 ± 1.118 | 70.21 ± 2.097 | |
| Mean Corpuscular Hemoglobin (pg) | |||||
| Day -7 | 21.6-24.6 | 23.31 ± 0.872 | 22.94 ± 0.905 | 23.42 ± 0.311 | 23.07 ± 0.687 |
| Day 169 | 23.54 ± 0.865 | 23.40 ± 0.812 | 23.76 ± 0.437 | 23.01 ± 0.863 | |
| Day 232 | 23.71 ± 1.025 | 23.40 ± 0.741 | 23.71 ± 0.419 | 23.26 ± 0.812 | |
| Mean Corpuscular Hemoglobin Concentration (g/dL) | |||||
| Day -7 | 31.9-34.5 | 34.49 ± 0.203 | 34.34 ± 0.510 | 34.54 ± 0.354 | 34.59 ± 0.302 |
| Day 169 | 33.14 ± 0.366 | 32.71 ± 0.409 | 33.01 ± 0.300 | 32.81 ± 0.481 | |
| Day 232 | 33.48 ± 0.341 | 33.26 ± 0.288 | 33.25 ± 0.563 | 33.11 ± 0.353 | |
| Red Blood Cell Distribution Width (%) | |||||
| Day -7 | 11.3-13.5 | 11.93 ± 0.369 | 12.06 ± 0.245 | 12.29 ± 0.327 | 11.96 ± 0.331 |
| Day 169 | 12.43 ± 0.358 | 12.56 ± 0.346 | 12.90 ± 0.644 | 12.69 ± 0.422 | |
| Day 232 | 12.39 ± 0.519 | 12.11 ± 0.416 | 12.59 ± 0.506 | 12.31 ± 0.453 | |
| Platelet Count (103/uL) | |||||
| Day -7 | 154-427 | 273.4 ± 31.75 | 269.9 ± 52.72 | 259.5 ± 50.61 | 276.4 ± 39.64 |
| Day 169 | 293.6 ± 36.62 | 310.8 ± 50.32 | 330.4 ± 96.13 | 317.3 ± 43.33 | |
| Day 232 | 308.6 ± 51.90 | 294.3 ± 55.11 | 283.8 ± 62.97 | 327.3 ± 43.23 | |
| MPV (fL) | |||||
| Day -7 | 7.9-16.2 | 11.23 ± 1.557 | 10.78 ± 1.237 | 11.05 ± 1.232 | 10.29 ± 0.758 |
| Day 169 | 11.98 ± 1.929 | 11.69 ± 2.209 | 12.34 ± 1.793 | 11.40 ± 1.349 | |
| Day 232 | 13.55 ± 1.535 | 13.13 ± 1.229 | 13.20 ± 1.605 | 12.87 ± 1.447 | |
| Reticulocytes (109/L) | |||||
| Day -7 | 9.1-87.5 | 33.14 ± 5.901 | 32.43 ± 9.512 | 37.61 ± 9.101 | 38.57 ± 12.448 |
| Day 169 | 31.35 ± 10.117 | 51.54 ± 19.799 | 57.74 ± 20.995 | 60.74 ± 38.094 | |
| Day 232 | 32.11 ± 7.260 | 35.90 ± 11.705 | 58.93 ± 26.505 | 59.31 ± 20.025 | |
| White Blood Cell Count (103/uL) | |||||
| Day -7 | 5.59-13.33 | 8.503 ± 1.496 | 8.066 ± 1.113 | 8.544 ± 1.164 | 8.696 ± 1.260 |
| Day 169 | 8.875 ± 1.098 | 10.829 ± 4.318 | 11.934 ± 4.146 | 12.973 ± 2.929 | |
| Day 232 | 9.414 ± 1.477 | 10.221 ± 1.656 | 10.080 ± 2.017 | 10.171 ± 0.756 | |
| Neutrophils (103/uL) | |||||
| Day -7 | 3.02-9.19 | 4.844 ± 0.9667 | 4.683 ± 0.6899 | 4.810 ± 0.8069 | 5.286 ± 0.7566 |
| Day 169 | 5.504 ± 0.9185 | 7.365 ± 3.8040 | 8.228 ± 3.4552 | 8.967 ± 1.9673 | |
| Day 232 | 5.840 ± 1.1491 | 6.505 ± 1.2514 | 6.096 ± 1.5059 | 6.566 ± 0.6471 | |
| Lymphocytes (103/uL) | |||||
| Day -7 | 1.49-4.08 | 2.706 ± 0.6820 | 2.523 ± 0.4754 | 2.668 ± 0.2471 | 2.797 ± 0.6111 |
| Day 169 | 2.453 ± 0.4245 | 2.423 ± 0.4086 | 2.635 ± 0.4800 | 2.774 ± 0.6780 | |
| Day 232 | 2.599 ± 0.4197 | 2.739 ± 0.3705 | 2.870 ± 0.4396 | 2.606 ± 0.3425 | |
| Monocytes (103/uL) | |||||
| Day -7 | 0.2-0.87 | 0.318 ± 0.0785 | 0.369 ± 0.0815 | 0.420 ± 0.1042 | 0.460 ± 0.1393 |
| Day 169 | 0.325 ± 0.0697 | 0.571 ± 0.4234 | 0.639 ± 0.3245 | 0.733 ± 0.2381 | |
| Day 232 | 0.430 ± 0.1836 | 0.449 ± 0.0620 | 0.520 ± 0.1343 | 0.487 ± 0.0711 | |
| Eosinophil (103/uL) | |||||
| Day -7 | 0.08-0.74 | 0.515 ± 0.2244 | 0.403 ± 0.2149 | 0.545 ± 0.3349 | 0.310 ± 0.1363 |
| Day 169 | 0.394 ± 0.1205 | 0.393 ± 0.2622 | 0.331 ± 0.1132 | 0.384 ± 0.4347 | |
| Day 232 | 0.464 ± 0.2391 | 0.445 ± 0.2478 | 0.498 ± 0.3409 | 0.419 ± 0.2168 | |
| Basophils (103/uL) | |||||
| Day -7 | 0.02-0.15 | 0.064 ± 0.0239 | 0.043 ± 0.0219 | 0.049 ± 0.0125 | 0.056 ± 0.0299 |
| Day 169 | 0.054 ± 0.0239 | 0.045 ± 0.0220 | 0.048 ± 0.0158 | 0.057 ± 0.0138 | |
| Day 232 | 0.054 ± 0.0130 | 0.053 ± 0.0271 | 0.059 ± 0.0181 | 0.064 ± 0.0382 | |
| Large Unstained Cells (103/uL) | |||||
| Day -7 | 0.01-0.1 | 0.058 ± 0.0139 | 0.049 ± 0.0309 | 0.053 ± 0.0167 | 0.053 ± 0.0281 |
| Day 169 | 0.035 ± 0.0160 | 0.033 ± 0.0219 | 0.051 ± 0.0336 | 0.059 ± 0.0363 | |
| Day 232 | 0.026 ± 0.0092 | 0.030 ± 0.0160 | 0.039 ± 0.0223 | 0.036 ± 0.0151 | |
| Days | Reference range | FK0 | FK4 | FK6 | FK8 |
| Activated Partial Thromboplastin Time (sec) | |||||
| Day -7 | 9.8-13.8 | 12.49 ± 0.409 | 12.36 ± 0.717 | 12.68 ± 0.406 | 12.54 ± 0.556 |
| Day 169 | 12.18 ± 0.459 | 12.05 ± 0.798 | 12.28 ± 0.471 | 12.21 ± 0.363 | |
| Day 232 | 12.19 ± 0.380 | 12.01 ± 0.596 | 12.40 ± 0.421 | 12.40 ± 0.370 | |
| Fibrinogen (mg/dL) | |||||
| Day -7 | 144-305 | 164.6 ± 14.09 | 185.4 ± 42.73 | 191.0 ± 26.15 | 184.4 ± 39.31 |
| Day 169 | 188.0 ± 44.15 | 206.4 ± 55.32 | 249.0 ± 64.00 | 241.4 ± 54.52 | |
| Day 232 | 184.6 ± 27.76 | 226.8 ± 47.20 | 222.3 ± 34.82 | 221.4 ± 68.19 | |
| Prothrombin Time (sec) | |||||
| Day -7 | 7.0-8.8 | 8.16 ± 0.262 | 8.00 ± 0.256 | 7.88 ± 0.175 | 8.29 ± 0.219 |
| Day 169 | 7.98 ± 0.341 | 7.93 ± 0.191 | 7.75 ± 0.330 | 8.13 ± 0.287 | |
| Day 232 | 8.10 ± 0.302 | 7.83 ± 0.276 | 7.80 ± 0.193 | 8.21 ± 0.261 | |
| Days | Reference range | FK0 | FK4 | FK6 | FK8 |
| Albumin / Globulin Ratio | |||||
| Day -7 | 1.1-1.9 | 1.61 ± 0.146 | 1.54 ± 0.233 | 1.73 ± 0.413 | 1.56 ± 0.113 |
| Day 169 | 1.39 ± 0.146 | 1.33 ± 0.301 | 1.30 ± 0.169 | 1.17 ± 0.180 | |
| Day 232 | 1.29 ± 0.125 | 1.19 ± 0.189 | 1.24 ± 0.151 | 1.13 ± 0.138 | |
| Albumin (g/dL) | |||||
| Day -7 | 2.9-3.6 | 3.30 ± 0.251 | 3.34 ± 0.141 | 3.31 ± 0.181 | 3.36 ± 0.113 |
| Day 169 | 3.25 ± 0.227 | 3.29 ± 0.230 | 3.23 ± 0.149 | 3.21 ± 0.195 | |
| Day 232 | 3.05 ± 0.169 | 3.04 ± 0.192 | 3.09 ± 0.155 | 3.07 ± 0.198 | |
| Alkaline Phosphatase (U/L) | |||||
| Day - 7 | 22-126 | 55.1 ± 15.48 | 62.0 ± 22.13 | 56.3 ± 13.44 | 57.6 ± 12.12 |
| Day 169 | 60.0 ± 26.34 | 59.6 ± 25.04 | 56.0 ± 12.02 | 66.7 ± 21.91 | |
| Day 232 | 53.4 ± 16.93 | 59.5 ± 26.06 | 54.3 ± 14.74 | 60.9 ± 17.85 | |
| Alanine Transferase (U/L) | |||||
| Day -7 | 19-59 | 31.8 ± 7.48 | 29.0 ± 2.62 | 30.9 ± 6.69 | 32.6 ± 3.60 |
| Day 169 | 33 ± 6.82 | 33.0 ± 6.02 | 34.8 ± 6.71 | 39.3 ± 19.09 | |
| Day 232 | 30.3 ± 10.08 | 27.8 ± 4.68 | 29.0 ± 4.60 | 30.4 ± 7.48 | |
| Aspartate Aminotransferase (U/L) | |||||
| Day -7 | 20-47 | 30.0 ± 3.7 | 31.0 ± 5.10 | 33.1 ± 5.51 | 32.4 ± 6.11 |
| Day 169 | 31.4 ± 7.42 | 35.1 ± 4.36 | 36.1 ± 11.58 | 37.1 ± 12.06 | |
| Day 232 | 29.6 ± 4.21 | 31.4 ± 2.26 | 35.1 ± 4.76 | 34.0 ± 6.81 | |
| Bile acids (umol/L) | |||||
| Day -7 | No reference range | 0.54 ± 0.346 | 0.63 ± 0.568 | 0.66 ± 0.424 | 1.56 ± 1.693 |
| Day 169 | 0.83 ± 0.623 | 4.31 ± 8.017 | 3.05 ± 4.407 | 2.13 ± 2.336 | |
| Day 232 | 2.01 ± 1.132 | 4.15 ± 8.765 | 5.61 ± 9.888 | 1.16 ± 0.787 | |
| Calcium (mg/dL) | |||||
| Day -7 | 9.4-11.0 | 10.06 ± 0.267 | 10.05 ± 0.177 | 9.93 ± 0.219 | 10.14 ± 0.251 |
| Day 169 | 9.94 ± 0.160 | 10.14 ± 0.389 | 9.99 ± 0.304 | 9.94 ± 0.282 | |
| Day 232 | 9.58 ± 0.183 | 9.74 ± 0.374 | 9.83 ± 0.271 | 9.71 ± 0.273 | |
| Cholesterol (mg/dL) | |||||
| Day -7 | 104-252 | 159.4 ± 44.78 | 163.9 ± 17.68 | 171.0 ± 46.50 | 154.7 ± 25.17 |
| Day 169 | 163.5 ± 35.61 | 149.9 ± 28.01 | 158.8 ± 35.79 | 153.9 ± 27.72 | |
| Day 232 | 181.8 ± 47.98 | 161.1 ± 17.33 | 182.8 ± 46.60 | 168.6 ± 52.18 | |
| Creatine Kinase (U/L) | |||||
| Day -7 | 81-458 | 180.9 ± 48.92 | 162.0 ± 34.14 | 209.9 ± 63.31 | 201.6 ± 81.39 |
| Day 169 | 181.0 ± 127.65 | 156.0 ± 57.03 | 182.6 ± 173.33 | 183.0 ± 93.04 | |
| Day 232 | 159.6 ± 45.06 | 163.9 ± 53.91 | 227.0 ± 103.84 | 207.1 ± 98.05 | |
| Chloride (mEq/L) | |||||
| Day -7 | 109-117 | 115.0 ± 1.20 | 115.0 ± 1.60 | 114.9 ± 1.46 | 115.3 ± 1.38 |
| Day 169 | 114.5 ± 1.77 | 115.0 ± 1.31 | 114.1 ± 2.03 | 114.3 ± 1.98 | |
| Day 232 | 115.5 ± 1.60 | 116.4 ± 1.41 | 115.5 ± 1.85 | 116.1 ± 1.57 | |
| Bicarbonate (mEq/L) | |||||
| Day -7 | No reference range | 23.9 ± 3.91 | 22.4 ± 3.66 | 21.6 ± 2.20 | 22.0 ± 2.83 |
| Day 169 | 22.0 ± 2.07 | 20.4 ± 1.77 | 21.6 ± 1.85 | 22.4 ± 4.28 | |
| Day 232 | 22.0 ± 1.07 | 21.6 ± 2.33 | 20.4 ± 2.13 | 20.6 ± 2.57 | |
| Creatinine (mg/dL) | |||||
| Day -7 | 0.4-0.8 | 0.58 ± 0.0171 | 0.63 ± 0.071 | 0.60 ± 0.076 | 0.63 ± 0.076 |
| Day 169 | 0.61 ± 0.064 | 0.66 ± 0.130 | 0.61 ± 0.136 | 0.59 ± 0.069 | |
| Day 232 | 0.61 ± 0.064 | 0.66 ± 0.092 | 0.63 ± 0.089 | 0.61 ± 0.069 | |
| Gamma Glutamyl Transferase (U/L) | |||||
| Day -7 | 0.0-4.0 | 0.0 ± 0.0 | 0.0 ± 0.0 | 0.0 ± 0.0 | 0.0 ± 0.0 |
| Day 169 | 0.0 ± 0.0 | 0.0 ± 0.0 | 0.0 ± 0.0 | 0.0 ± 0.0 | |
| Day 232 | 0.0 ± 0.0 | 0.0 ± 0.0 | 0.0 ± 0.0 | 0.0 ± 0.0 | |
| Globulin (g/dL) | |||||
| Day -7 | 1.7-2.9 | 2.06 ± 0.213 | 2.20 ± 0.245 | 2.00 ± 0.298 | 2.20 ± 0.191 |
| Day 169 | 2.36 ± 0.262 | 2.56 ± 0.472 | 2.54 ± 0.288 | 2.77 ± 0.315 | |
| Day 232 | 2.40 ± 0.200 | 2.58 ± 0.358 | 2.51 ± 0.189 | 2.70 ± 0.231 | |
| Glucose (mg/dL) | |||||
| Day -7 | 67-101 | 88.1 ± 9.51 | 87.8 ± 5.55 | 87.6 ± 8.00 | 86.7 ± 6.60 |
| Day 169 | 90.8 ± 8.41 | 83.0 ± 7.13 | 80.5 ± 6.35 | 80.0 ± 9.24 | |
| Day 232 | 89.3 ± 8.31 | 86.3 ± 7.54 | 83.3 ± 7.11 | 85.6 ± 5.77 | |
| Potassium (mEq/L) | |||||
| Day -7 | 4.0-4.9 | 4.34 ± 0.169 | 4.26 ± 0.185 | 4.30 ± 0.200 | 4.37 ± 0.256 |
| Day 169 | 4.31 ± 0.210 | 4.36 ± 0.192 | 4.40 ± 0.227 | 4.30 ± 0.265 | |
| Day 232 | 4.29 ± 0.146 | 4.35 ± 0.298 | 4.53 ± 0.198 | 4.60 ± 0.283 | |
| Lactate Dehydrogenase (U/L) | |||||
| Day -7 | 40-303 | 171.5 ± 67.00 | 139.8 ± 77.57 | 220.5 ± 91.60 | 168.0 ± 100.07 |
| Day 169 | 169.6 ± 152.13 | 134.5 ± 86.27 | 199.5 ± 268.72 | 155.7 ± 145.04 | |
| Day 232 | 141.0 ± 82.99 | 111.8 ± 51.84 | 218.5 ± 130.12 | 152.6 ± 60.87 | |
| Sodium (mEq/L) | |||||
| Day -7 | 144-150 | 147.3 ± 0.46 | 147.3 ± 1.04 | 146.4 ± 0.74 | 147.7 ± 0.95 |
| Day 169 | 146.3 ± 1.49 | 146.0 ± 1.07 | 145.8 ± 2.31 | 146.0 ± 1.29 | |
| Day 232 | 146.8 ± 1.49 | 146.9 ± 1.13 | 146.4 ± 1.30 | 146.6 ± 0.49 | |
| Phosphorus (mg/dL) | |||||
| Day -7 | 3.2-5.4 | 4.01 ± 0.270 | 4.13 ± 0.337 | 3.80 ± 0.342 | 4.06 ± 0.310 |
| Day 169 | 3.01 ± 0.236 | 3.34 ± 0.220 | 3.14 ± 0.307 | 3.04 ± 0.565 | |
| Day 232 | 2.85 ± 0.283 | 2.90 ± 0.389 | 3.18 ± 0.474 | 2.96 ± 0.336 | |
| Total Bilirubin (mg/dL) | |||||
| Day -7 | 0.0-0.1 | 0.016 ± 0.0119 | 0.014 ± 0.0106 | 0.011 ± 0.0173 | 0.017 ± 0.0150 |
| Day 169 | 0.030 ± 0.0185 | 0.021 ± 0.0155 | 0.018 ± 0.0167 | 0.013 ± 0.0111 | |
| Day 232 | 0.029 ± 0.0196 | 0.018 ± 0.0231 | 0.015 ± 0.0141 | 0.017 ± 0.0150 | |
| Total Protein (g/dL) | |||||
| Day -7 | 4.8-6.2 | 5.36 ± 0.385 | 5.54 ± 0.239 | 5.31 ± 0.280 | 5.56 ± 0.257 |
| Day 169 | 5.61 ± 0.432 | 5.85 ± 0.460 | 5.76 ± 0.226 | 5.99 ± 0.195 | |
| Day 232 | 5.45 ± 0.267 | 5.61 ± 0.376 | 5.60 ± 0.177 | 5.77 ± 0.304 | |
| Triglycerides (mg/dL) | |||||
| Day -7 | 19-65 | 26.9 ± 7.66 | 30.9 ± 5.49 | 34.6 ± 10.85 | 29.9 ± 8.05 |
| Day 169 | 29.6 ± 6.35 | 34.3 ± 4.06 | 36.4 ± 7.37 | 36.4 ± 7.35 | |
| Day 232 | 30.3 ± 5.23 | 35.0 ± 6.82 | 38.8 ± 5.28 | 36.3 ± 10.44 | |
| Urea Nitrogen (mg/dL) | |||||
| Day -7 | 10.0-24.0 | 13.0 ± 1.93 | 13.4 ± 1.69 | 13.1 ± 1.36 | 13.3 ± 1.70 |
| Day 169 | 12.0 ± 1.20 | 13.0 ± 2.93 | 13.6 ± 1.92 | 12.1 ± 1.35 | |
| Day 232 | 11.3 ± 1.04 | 11.6 ±1.77 | 11.6 ±1.06 | 11.6 ±1.81 | |
| Day | Reference range | FK0 | FK4 | FK6 | FK8 |
| Volume (mL) | |||||
| Day -7 | No reference range | 93.98 ± 66.272 | 86.45 ± 55.112 | 81.26 ± 31.135 | 125.14 ± 123.567 |
| Day 169 | 123.20 ± 101.446 | 99.53 ± 58.867 | 107.04 ± 64.784 | 166.40 ± 172.987 | |
| Day 232 | 91.85 ± 50.951 | 56.50 ± 48.977 | 89.23 ± 58.860 | 121.26 ± 78.126 | |
| Specific gravity | |||||
| Day -7 | 1.010-1.070 | 1.0480 ± 0.0201 | 1.0494 ± 0.0175 | 1.0489 ± 0.0102 | 1.0463 ± 0.0278 |
| Day 169 | 1.0396 ± 0.0205 | 1.0370 ± 0.0125 | 1.0366 ± 0.0101 | 1.0329 ± 0.0209 | |
| Day 232 | 1.0399 ± 0.0144 | 1.0451 ± 0.0113 | 1.0361 ± 0.0165 | 1.0333 ± 0.0166 | |
| pH | |||||
| Day -7 | 5.50-9.00 | 5.47 ± 0.1797 | 5.365 ± 0.1259 | 5.485 ± 0.4294 | 5.601 ± 0.5632 |
| Day 169 | 5.565 ± 0.3307 | 5.328 ± 0.1681 | 5.368 ± 0.1349 | 5.591 ± 0.4281 | |
| Day 232 | 5.426 ± 0.2026 | 5.260 ± 0.2089 | 5.311 ± 0.3629 | 5.309 ± 0.1586 | |
| Item | FK0 | FK4 | FK6 | FK8 | SEM1 | p-value |
| Food intake | ||||||
| g food/d, as-is | 169.00 | 179.32 | 191.23 | 197.34 | 7.45 | 0.0581 |
| g food/d, DM | 158.63 | 168.26 | 178.15 | 183.37 | 6.96 | 0.0865 |
| kcal/d, as-is | 781.25 | 813.12 | 870.25 | 897.43 | 34.10 | 0.0941 |
| Fecal output | ||||||
| g/d, as-is | 107.75 | 133.17 | 122.66 | 130.28 | 8.00 | 0.1302 |
| g/d, DM | 31.47b | 36.82ab | 35.40ab | 39.21a | 1.41 | 0.0060 |
| Digestibility, % | ||||||
| DM | 80.11 | 78.07 | 76.35 | 78.56 | 1.95 | 0.5893 |
| OM | 82.92a | 80.94b | 83.21a | 81.63ab | 0.48 | 0.0066 |
| Fat | 91.92a | 90.55b | 91.93a | 91.44ab | 0.29 | 0.0067 |
| Protein | 81.09 | 80.23 | 81.68 | 80.25 | 0.53 | 0.1789 |
| Energy | 83.78a | 81.83b | 83.78a | 82.35ab | 0.38 | 0.0012 |
| Copper | 23.28 | 19.59 | 20.71 | 20.11 | 2.01 | 0.5879 |
Disclaimer/Publisher’s Note: The statements, opinions and data contained in all publications are solely those of the individual author(s) and contributor(s) and not of MDPI and/or the editor(s). MDPI and/or the editor(s) disclaim responsibility for any injury to people or property resulting from any ideas, methods, instructions or products referred to in the content. |
© 2025 by the authors. Licensee MDPI, Basel, Switzerland. This article is an open access article distributed under the terms and conditions of the Creative Commons Attribution (CC BY) license (http://creativecommons.org/licenses/by/4.0/).