Submitted:
18 May 2025
Posted:
19 May 2025
You are already at the latest version
Abstract

Keywords:
1. Introduction
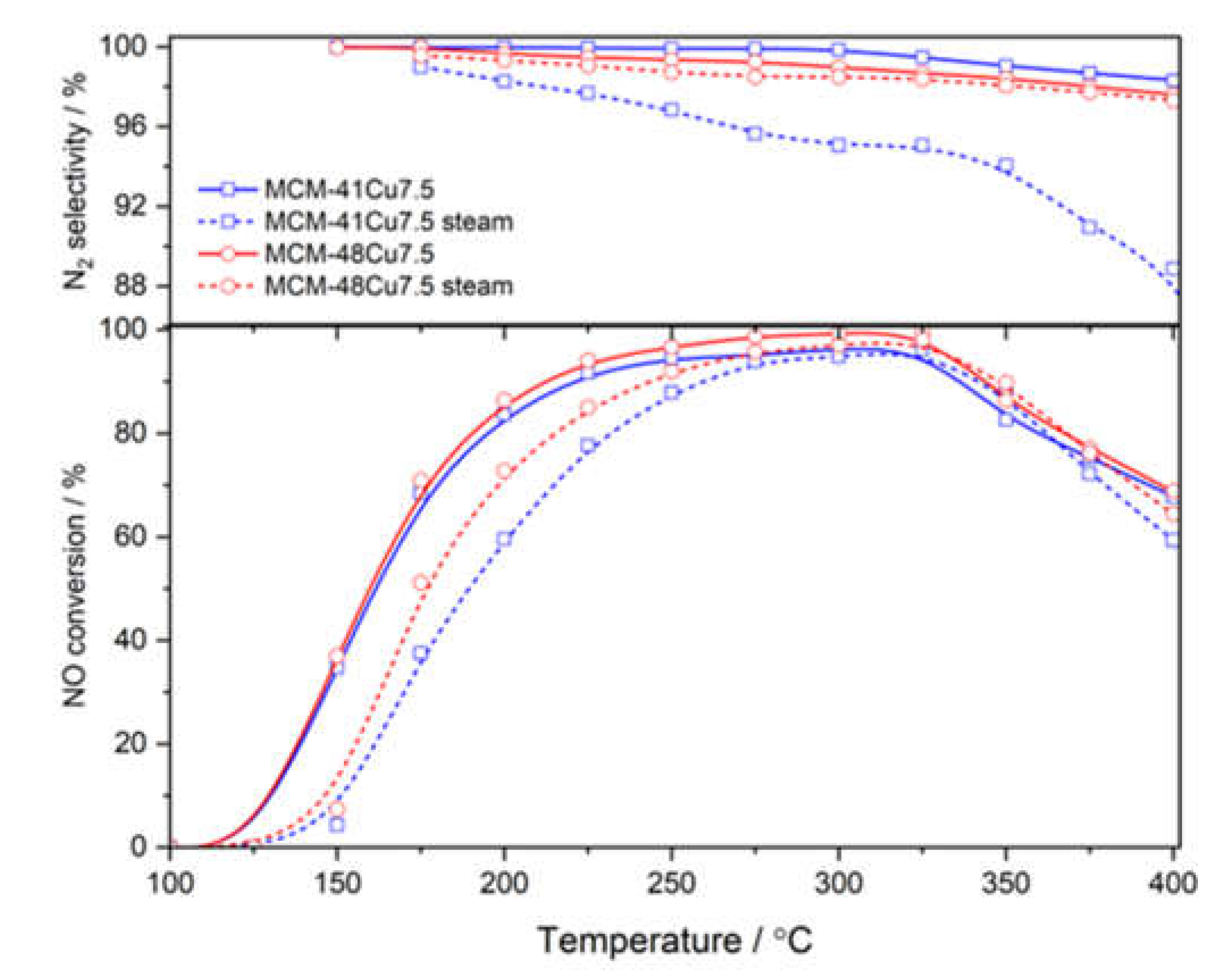
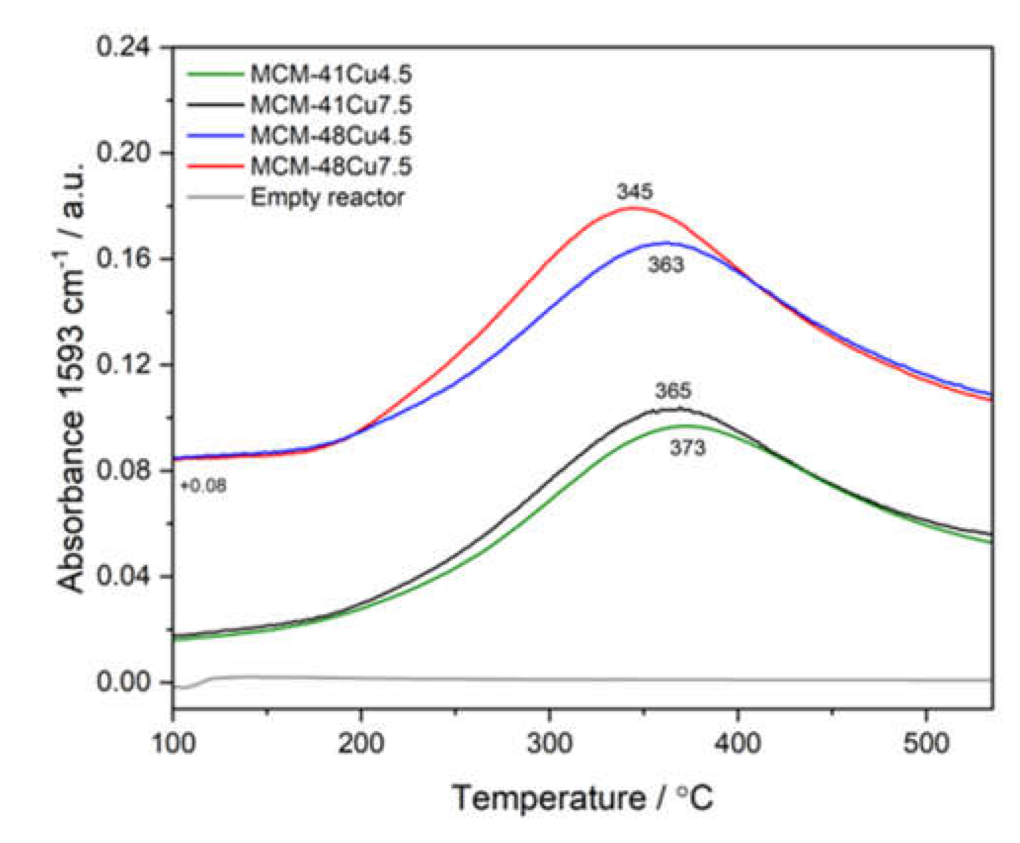
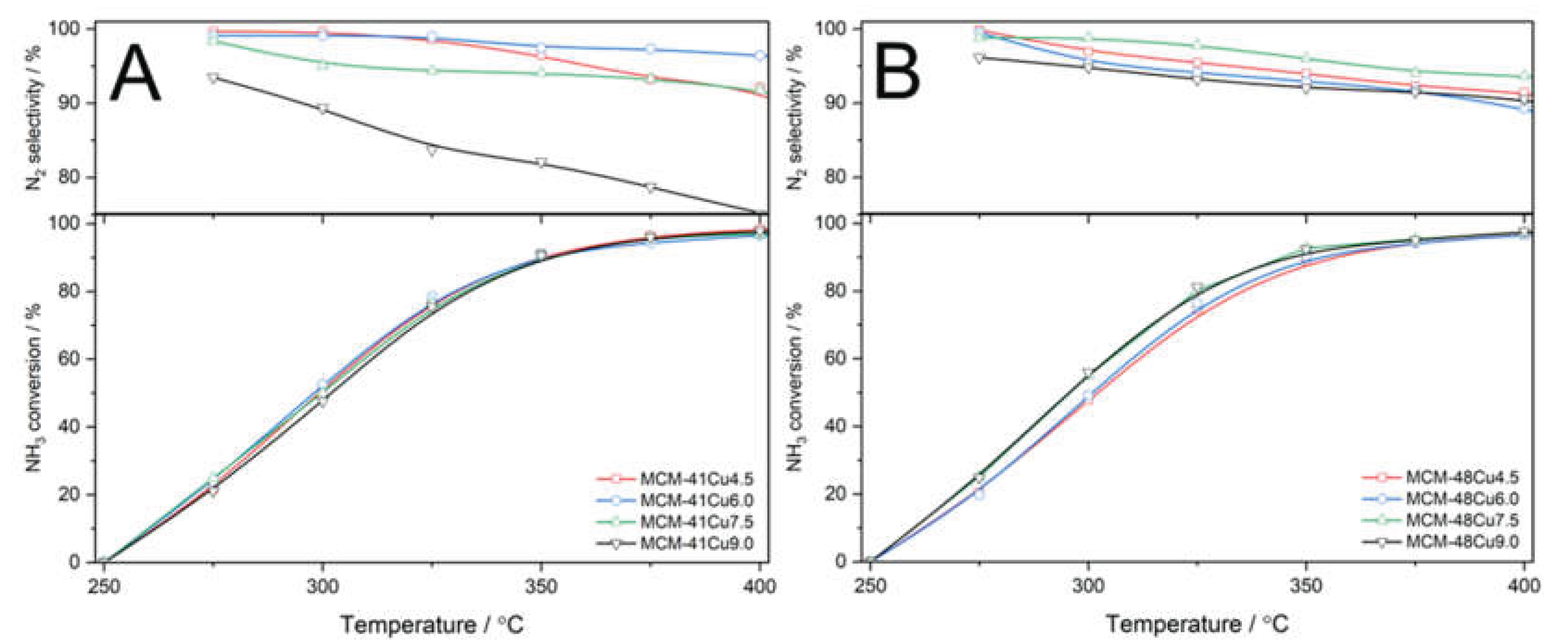
2. Results and Discussion
3. Materials and Methods
3.1. Catalysts Preapration
3.2. Characterization
3.3. Catalytic Tests
3.4. Stability Test
3.5. Oxidation of NO to NO2
4. Conclusions
Author Contributions
Funding
Data Availability Statement
Acknowledgments
Conflicts of Interest
References
- Wu, K.; Xing, L.; Ji, Y. Synthesis and Applications of Copper-Based Catalysts. Catal. 2023, 13, 973. [CrossRef]
- Pathak, R.; Punetha, V.D.; Bhatt, S.; Punetha, M. A review on copper-based nanoparticles as a catalyst: synthesis and applications in coupling reactions. J. Mater. Sci. 2024, 59, 6169–6205. [CrossRef]
- Zhu, Y.Y.; Wang, S.R; Zhu, L.J.; Ge, X.L.; Li, X.B.; Luo, Z.Y. The influence of copper particle dispersion in Cu/SiO2 catalysts on the hydrogenation synthesis of ethylene glycol. Catal. Lett. 2010, 135, 275-281. [CrossRef]
- Wang, Z.Q.; Liu, H.H; Wu, X.P.; Hu, P.; Gong X.Q. Hydride Generation on the Cu-Doped CeO2(111) Surface and Its Role in CO2 Hydrogenation Reactions. Catal. 2022, 12, 963. [CrossRef]
- Chen, S.Y.; Tang, W.; He, J.; Miao, R.; Lin, H.J.; Song, W.; Wang, S.; Gao, P.X.; Suib, S.L. Copper manganese oxide enhanced nanoarray-based monolithic catalysts for hydrocarbon oxidation. J. Mater. Chem. A 2018, 6, 19047-19057. [CrossRef]
- Patel, A.; Shukla, P.; Pan, G.T.; Chong, S.; Rudolph, V.; Zhu, Z. Influence of copper loading on mesoporous alumina for catalytic NO reduction in the presence of CO. J. Environ. Chem. Eng. 2017, 5, 2350-2361. [CrossRef]
- Fan, F.; Wang, L.; Wang, L.; Liu, J.; Wang, M. Low-Temperature Selective NO Reduction by CO over Copper-Manganese Oxide Spinels. Catal. 2022, 12, 591. [CrossRef]
- Shi, Y.; Ma, S.; Liu, Z. Copper-based catalysts for CO₂ hydrogenation: A perspective on active sites. EES Catal. 2023, 1, 921-933. [CrossRef]
- Kresge, C.T.; Leonowicz, M.E.; Roth, W.J.; Vartuli, J.C.; Beck, J.S. Ordered mesoporous molecular sieves synthesized by a liquid-crystal template mechanism. Nature 1992, 359, 710-712. [CrossRef]
- Kresge, C.T.; Vartuli, J.C.; Roth, W.J.; Leonowicz, M.E. The discovery of ExxonMobil’s M41S family of mesoporous molecular sieves. Stud. Surf. Sci. Catal. 2004, 148, 53-72. [CrossRef]
- Beck, J.S.; Vartuli, J.C.; Roth, W.J.; Leonowicz, M.E.; Kresge, C.T.; Schmitt, K.D.; Olson, D.H. A new family of mesoporous molecular sieves prepared with liquid crystal templates. J. Am. Chem. Soc. 1992, 114(27), 10834-10843. [CrossRef]
- Kowalczyk, A.; Piwowarska, Z.; Macina, D.; Kuśtrowski, P.; Rokicińska, A.; Michalik, M.; Chmielarz, L. MCM-41 modified with iron by template ion-exchange method as effective catalyst for DeNOx and NH3-SCO processes. Chem. Eng. J. 2016, 295, 167-180. [CrossRef]
- Corma, A. From microporous to mesoporous molecular sieve materials and their use in catalysis. Chem. Rev. 1997, 97(6), 2373-2419. [CrossRef]
- Kowalczyk, A.; Borcuch, A.; Michalik, M.; Rutkowska, M.; Gil, B.; Sojka, Z.; Indyka, P.; Chmielarz, L. MCM-41 modified with transition metals by template ion-exchange method as catalysts for selective catalytic oxidation of ammonia to dinitrogen. Micropor. Mesopor. Mater. 2017, 240, 9-21. [CrossRef]
- Jankowska, A.; Kowalczyk, A.; Rutkowska, M.; Michalik, M.; Chmielarz, L. Catalytic Performance of Bimetallic Systems (Cu-Fe, Cu-Mn, Fe-Mn) Based on Spherical MCM-41 Modified by Template Ion-Exchange in NH3-SCR Process. Catal. 2022, 12, 885. [CrossRef]
- Liepold, A.; Roos, K.; Reschetilowski, W.; Schmidt, R.; Stöcker, M.; Philippou, A.; Anderson, M.W.; Esculcas, A.P.; Rocha, J. The nature of the acid sites in mesoporous MCM-41 molecular sieves. Stud. Surf. Sci. Catal. 1997, 105, 412-430. [CrossRef]
- Gawande, M.B.; Goswami, A.; Felpin, F.X.; Asefa, T.; Huang, X.; Silva, R.; Zou, X.; Varma, R.S. Cu and Cu-based nanoparticles: synthesis and applications in catalysis. Chem. Rev. 2016, 116(6), 3722-3811. [CrossRef]
- Chmielarz, L.; Kuśtrowski, P.; Dziembaj, R.; Cool, P.; Vansant, E.F. SBA-15 Mesoporous silica modified with metal oxides by MDD method in the role of DeNOx catalysts. Micropor. Mesopor. Mat. 2010, 127, 133-141. [CrossRef]
- Chmielarz, L.; Kuśtrowski, P.; Drozdek, M.; Rutkowska, M.; Dziembaj, R.; Michalik, M.; Cool, P.; Vansant, E.F. SBA-15 mesoporous silica modified with rhodium by MDD method and its catalytic role for N2O decomposition reaction. J. Porous Mat. 2011, 18(4), 483-491. [CrossRef]
- Ciesla, U.; Schüth, F. Ordered mesoporous materials. Micropor. Mesopor. Mat. 1999, 27, 131-149. [CrossRef]
- Xin, Q.; Glisenti, A.; Philippopoulos, C.J.; Poulakis, E.; Mertens, M.; Nyalosaso, J.L; Meynen, V.; Cool, P. Comparison between a water-based and a solvent-based impregnation method towards dispersed CuO/SBA-15 catalysts: Texture, structure and catalytic performance in automotive exhaust gas abatement. Catal. 2016, 6, 164. [CrossRef]
- Xin, Q.; Papavasiliou, A.; Boukos, N.; Glisenti, A.; Li, J.P.H.; Yang, Y.; Philippopoulos, C.J.; Poulakis, E.; Katsaros, F.K.; Meynen, V.; Cool, P. Preparation of CuO/SBA-15 catalyst by the modified ammonia driven deposition precipitation method with a high thermal stability and an efficient automotive CO and hydrocarbons conversion. Appl. Catal. B: Environ. 2018, 223, 103-115. [CrossRef]
- Papavasiliou, A.; Van Everbroeck, T.; Blonda, C.; Oliani, B.; Sakellis, E.; Cool, P.; Canu, P.; Katsaros, F.K. Mesoporous CuO/TiO2 catalysts prepared by the ammonia driven deposition precipitation method for CO preferential oxidation: Effect of metal loading. Fuel 2022, 311, 122491. [CrossRef]
- Van Everbroeck, T.; Papavasiliou, A.; Ciocarlan, R.G.; Poulakis, E.; Philippopoulos, C.J.; Jardim, E.O.; Silvestre-Albero, J.; Sakellis, E.; Cool, P.; Katsaros, F.L. Towards Highly Loaded and Finely Dispersed CuO Catalysts via ADP: Effect of the Alumina Support. Catal. 2022, 12, 628. [CrossRef]
- Kowalczyk, A.; Święs, A.; Gil, B.; Rutkowska, M.; Piwowarska, Z.; Borcuch, A.; Michalik, M.; Chmielarz, L. Effective catalysts for the low-temperature NH3-SCR process based on MCM-41 modified with copper by template ion-exchange (TIE) method. Appl. Catal. B: Environ. 2018, 237, 927-937. [CrossRef]
- Jankowska, A.; Chłopek, A.; Kowalczyk, A.; Rutkowska, M.; Mozgawa, W.; Michalik, M.; Liu, S.; Chmielarz, L. Enhanced catalytic performance in low-temperature NH3-SCR process of spherical MCM-41 modified with Cu by template ion-exchange and ammonia treatment. Micropor. Mesopor. Mater. 2021, 315, 110920. [CrossRef]
- Pietraszek, A.; Kowalczyk, A.; Piwowarska, Z.; Rutkowska, M.; Iwaszko, O.; Chmielarz, L. Mesoporous silicas of MCM-48 and MCM-41 types doped with copper by modified template ion-exchange method as effective catalysts for low-temperature reduction of nitrogen oxide with ammonia. React. Kinet. Mech. Catal. 2023, 136, 2259. [CrossRef]
- Machowski, K.; Natkański, P.; Białas, A.; Kuśtrowski, P.; Influence of thermal treatment conditions on efficiency of PFA/MCM-48 composite and CMK-1 carbon replica in adsorption of volatile organic compounds. J. Therm. Anal. Calorim. 2016, 126, 1313. [CrossRef]
- Kruk, M.; Jaroniec, K.; Kim, J.M.; Ryoo, R. Characterization of Highly Ordered MCM-41 Silicas Using X-ray Diffraction and Nitrogen Adsorption. Langmuir 1999, 15, 5279-5284. [CrossRef]
- Solovyov, L.A.; Belousov, O.V.; Dinnebier, R.E.; Shmakov, A.N.; Kirik, S.D. X-ray Diffraction Structure Analysis of MCM-48 Mesoporous Silica. J. Phys. Chem. B 2005, 109, 3233-3237. [CrossRef]
- Thommes, M.; Kaneko, K.; Neimark, A.V.; Olivier, J.P; Rodriguez-Reinoso, F.; Rouquerol, J.; Sing, K.S.W. Physisorption of gases, with special reference to the evaluation of surface area and pore size distribution (IUPAC Technical Report). Pure. Appl. Chem. 2015, 87, 1051-1069. [CrossRef]
- Schmidt, R.; Stocker, M.; Hansen, E.; Akporiaye, D.; Ellestad O.H.; MCM-41: a model system for adsorption studies on mesoporous materials. Micropor. Mater. 1995, 3, 443-448. [CrossRef]
- Martins, L.; Peguin, R.P.S.; Wallau, M.; Urquieta González, E.A. Cu-, Co-, Cu/Ca- and Co/Ca-exchanged ZSM-5 zeolites: activity in the reduction of NO with methane or propane. Stud. Surf. Sci. Catal. 2004, 154C, 2475 – 2483. [CrossRef]
- Rutkowska, M.; Piwowarska, Z.; Micek, E.; Chmielarz, L. Hierarchical Fe-, Cu- and Co-Beta zeolites obtained by mesotemplate-free method. Part I: Synthesis and catalytic activity in N2O decomposition. Micropor. Mesopor. Mater. 2015, 209, 54-65. [CrossRef]
- Palčić, A.; Bruzzese, P.C.; Pyra, K.; Bertmer, M.; Góra-Marek, K.; Poppitz, D.; Pöppl, A.; Gläser, R.; Jabłońska, M. Nanosized Cu-SSZ-13 and Its Application in NH3-SCR. Catal. 2020, 10, 506. [CrossRef]
- Kubo, K.; Iida, H.; Namba, S.; Igarashi, A. Comparison of steaming stability of Cu-ZSM-5 with those of Ag-ZSM-5, P/H-ZSM-5, and H-ZSM-5 zeolites as naphtha cracking catalysts to produce light olefin at high temperatures. Appl. Catal. A: Gen. 2015, 489, 272-279. [CrossRef]
- Han, L.; Cai, S.; Gao, M.; Hasegawa, J.-Y.; Wang, P.; Zhang, J.; Shi, L.; Zhang, D. Selective Catalytic Reduction of NOx with NH3 by Using Novel Catalysts: State of the Art and Future Prospects. Chem. Rev. 2019, 119, 10916-10976. [CrossRef]
- Shi, Z.; Peng, Q.; Jiaqiang, E.; Xie, B.; Wei, J.; Yin, R.; Fu, G. Mechanism, performance and modification methods for NH3-SCR catalysts: A review. Fuel 2023, 331, 125885. [CrossRef]
- Wu, Y.; Zhao, W.; Ahn, S.H.; Wang, Y.; Walter, E.D.; Chen, Y.; Derewinski, M.A.; Washton, N.M.; Rappé, K.G.; Wang, Y.; Mei, D.; Hong, S.B.; Gao, F. Interplay between copper redox and transfer and support acidity and topology in low temperature NH3-SCR. Nat. Commun. 2023, 14, 2633. [CrossRef]
- Liu, C.; Kubota, H.; Toyao, T.; Maeno, Z.; Shimizu, K. Mechanistic insights into the oxidation of copper(i) species during NH3-SCR over Cu-CHA zeolites: a DFT study. Catal. Sci. Technol. 2020, 10, 3586 – 3593. [CrossRef]
- Gomułka, A.; Iwaszko, O.; Kowalczyk, A.; Piwowarska, Z.; Rutkowska, M.; Chmielarz, L. Catalytic functionalization of MCM-41 and MCM-48 with copper by modified template ion-exchange method for NH3-SCR process – the role of complexing agents for copper dispersion. Res. Chem. Intermed. 2024, 50, 5399 – 5426. [CrossRef]
- Salman, AulR.; Enger, B.C.; Auvray, X.; Lødeng, R.; Menon, M.; Waller, D.; Rønning, D. Catalytic oxidation of NO to NO2 for nitric acid production over a Pt/Al2O3 catalyst. Catal. A: Gen. 2018, 564, 142-146. [CrossRef]











| Sample code | Cu/ wt % |
Cu mon/ mol% |
Cu agr/ mol% |
Surface area/ m2·g-1 |
Pore volume/ m3·g-1 |
Pore diameter/ nm |
|---|---|---|---|---|---|---|
| MCM-41 MCM-41Cu4.5 MCM-41Cu6.0 MCM-41Cu7.5 MCM-41Cu9.0 MCM-48 MCM-48Cu4.5 MCM-48Cu6.0 MCM-48Cu7.5 MCM-48Cu9.0 |
⁻ 4.6 6.2 7.6 9.2 ⁻ 4.6 6.1 7.4 8.6 |
⁻ 87 88 88 83 ⁻ 88 81 82 76 |
⁻ 13 12 12 17 ⁻ 12 19 18 24 |
1200 874 903 896 899 1363 802 738 724 732 |
0.890 0.623 0.616 0.612 0.597 0.991 0.660 0.614 0.590 0.578 |
3.4 2.8 2.8 2.9 2.8 3.1 2.6 2.6 2.6 2.6 |
| Sample code |
1 CA/ μmol·g-1 |
2 DA/ μmol·m-2 |
CA/Cu / mol·mol-1 |
TOF175/ 10-3·s-1 |
|---|---|---|---|---|
| MCM-41Cu4.5 | 170 | 0.195 | 0.24 | 2.77 |
| MCM-41Cu6.0 MCM-41Cu7.5 MCM-41Cu9.0 MCM-48Cu4.5 MCM-48Cu6.0 MCM-48Cu7.5 MCM-48Cu9.0 |
227 272 252 178 236 293 239 |
0.251 0.304 0.280 0.222 0.320 0.405 0.326 |
0.23 0.23 0.18 0.25 0.25 0.25 0.18 |
3.06 2.67 2.31 3.52 2.85 2.71 3.37 |
| Sample code | Support mass/ g |
Cu amount/ mmol |
NH3 amount/ mmol |
|---|---|---|---|
| MCM-41Cu4.5 | 0.955 | 0.71 | 4.26 |
| MCM-41Cu6.0 MCM-41Cu7.5 MCM-41Cu9.0 MCM-48Cu4.5 MCM-48Cu6.0 MCM-48Cu7.5 MCM-48Cu9.0 |
0.940 0.925 0.910 0.955 0.940 0.925 0.910 |
0.94 1.18 1.42 0.71 0.94 1.18 1.42 |
5.64 7.08 8.52 4.26 5.64 7.08 8.52 |
Disclaimer/Publisher’s Note: The statements, opinions and data contained in all publications are solely those of the individual author(s) and contributor(s) and not of MDPI and/or the editor(s). MDPI and/or the editor(s) disclaim responsibility for any injury to people or property resulting from any ideas, methods, instructions or products referred to in the content. |
© 2025 by the authors. Licensee MDPI, Basel, Switzerland. This article is an open access article distributed under the terms and conditions of the Creative Commons Attribution (CC BY) license (http://creativecommons.org/licenses/by/4.0/).