Submitted:
13 May 2025
Posted:
14 May 2025
You are already at the latest version
Abstract
Keywords:
1. Introduction
2. Thermodynamic Functions of Lattice Gases of Polyatomics in One Dimension: Exact Solutions for Single Species and Mixtures
2.1. One-Dimensional Model of Non-Interacting Structured Particles
2.1.1. Exact Solution for Rigid Particles on a 1D-Lattice: Single Species
2.1.2. Exact Solution for Rigid Particles on 1D-Lattice: Binary Mixtures
2.1.3. Multilayer Adsorption in the Presence of Multisite Occupancy: Exact Solution for 1D Substrates
2.1.4. Multilayer Adsorption of Dimers
2.2. One-Dimensional Model of Interacting Structured Particles
2.2.1. Exact Solution for Laterally Interacting Particles on 1D-Lattic e
2.2.2. Exact Solution for Binary Mixtures of Interacting Polyatomics on 1D-Lattices
3. Thermodynamic Functions of Lattice Gases of Polyatomics in Two Dimensions: Analytical Approaches for Single Species and Mixtures
3.1. Two-Dimensional Model of Non-Interacting Structured Particles: Historical Developments
3.1.1. Flory-Huggins Approximation ()
3.1.2. Guggenheim–DiMarzio Approximation ()
3.2. Two-Dimensional Model of Non-Interacting Structured Particles: More Recent Approximations from Our Group
3.2.1. Extension to Higher Dimensions of the Exact Thermodynamic Functions in One Dimension ()
3.2.2. Fractional Statistics Thermodynamic Theory of Adsorption of Polyatomics ()
3.2.3. Occupation Balance Approximation ()
3.2.4. Semi-Empirical Adsorption Model for Polyatomics ()
3.2.5. Brief Introduction to Multiple Exclusion Statistics
3.3. Two-Dimensional Model of Non-Interacting (k-Mers–l-Mers) Binary Mixtures
3.3.1. Approximation
3.3.2. Approximation
3.3.3. Approximation
3.4. Multilayer Adsorption in the Presence of Multisite Occupancy: Theoretical Approach for 2D Substrates
4. Two-Dimensional Lattice Gases of Interacting Polyatomics
4.1. Mean-Field Approximation for Interacting k-Mers Adsorbed on 2D Substrates
4.2. Quasi-Chemical Approximation for Interacting k-Mers Adsorbed on 2D Substrates
4.2.1. General Expression of the Thermodynamic Functions in Terms of the Configurational Factor
4.3. Quasi-Chemical Approximation for Interacting Mixtures Adsorbed on 2D Substrates
- 1)
- 2)
- 3)
- 4)
6. Latest Developments, Part II: Multiple Exclusion Statistics Formulation for Mixtures
6.1. State Counting Approximation and Density of States for Mixtures with Multiple State Exclusion

6.2. Mixtures Statistical Thermodynamics
6.3. State Exclusion Spectrum Functions: Determination of Exclusion Correlation Parameters
6.4. The k-Mers Problem as a Mixture Model: Basic Definitions
7. Applications
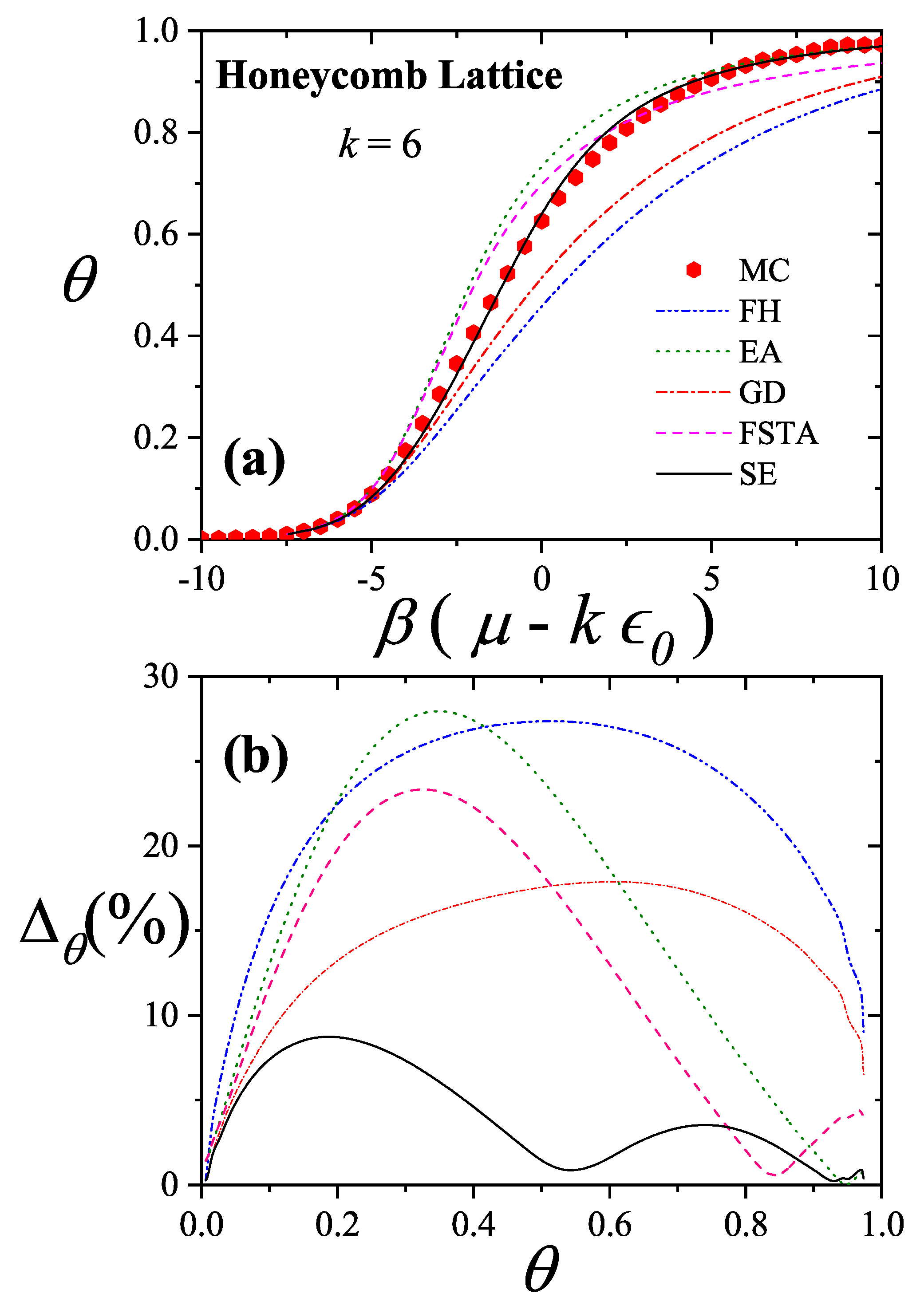
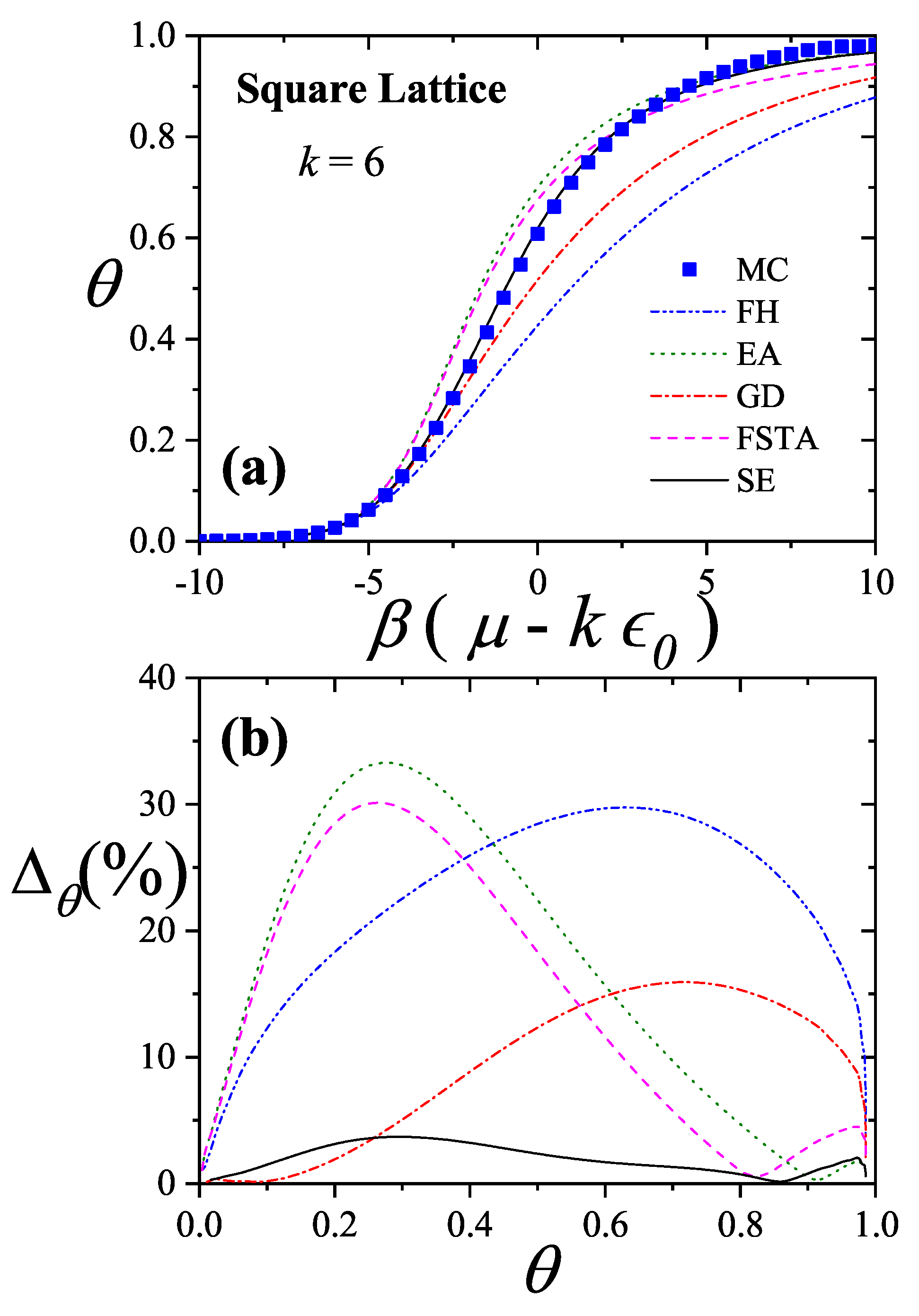
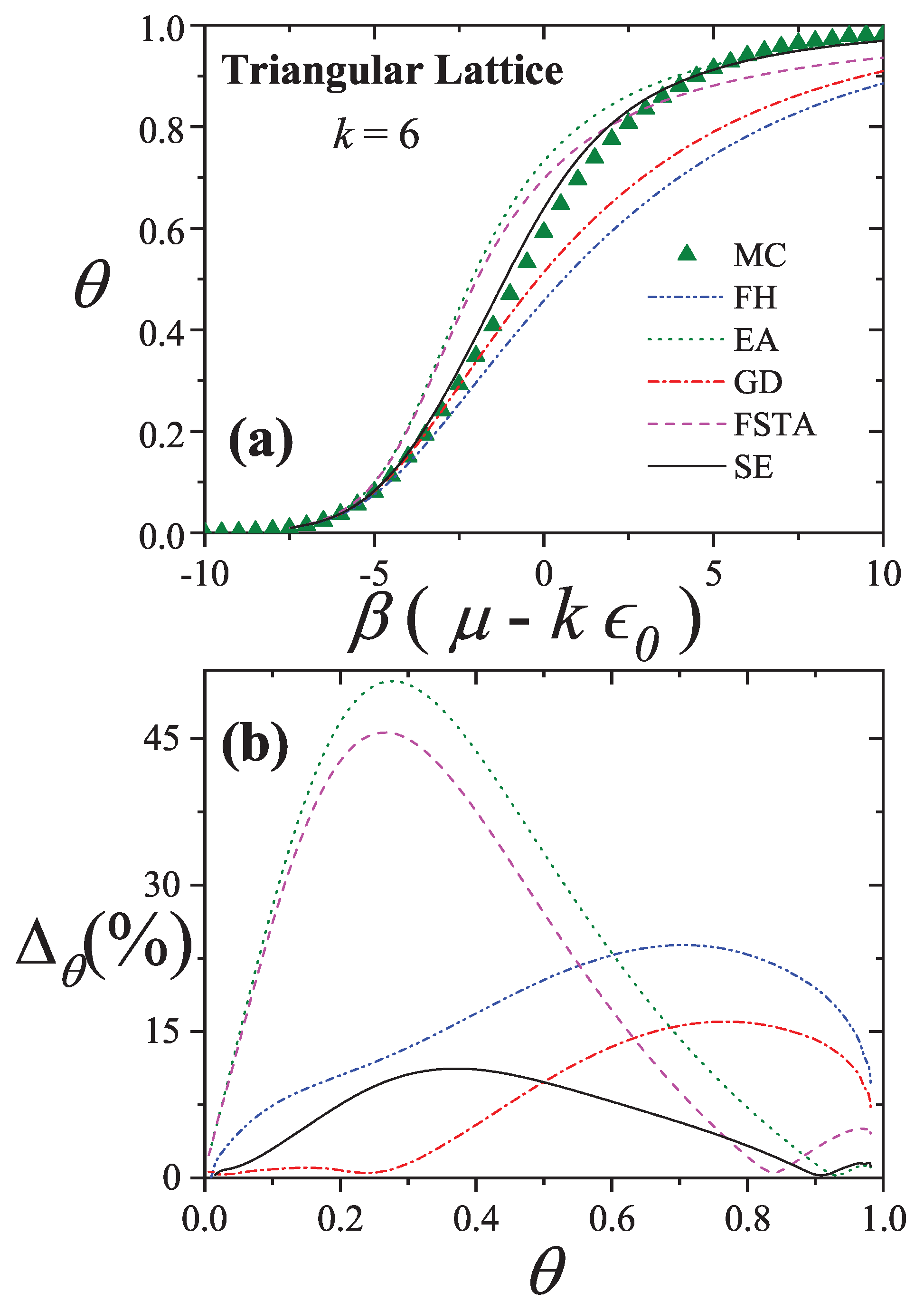
7.1. Two-Dimensional Adsorption: Comparison Between Theory and Monte Carlo Simulations
7.2. Two-Dimensional Adsorption of Binary Mixtures: Comparison Between Theory and Monte Carlo Simulations
7.3. Two-Dimensional Adsorption of Interacting k-Mers: Comparison Between Theory and Monte Carlo Simulations
7.4. Application of to the Adsorption of and in Zeolites 13X and 5A: Determination of the Adsorption Configuration

7.5. Adsorption of Methane-Ethane Mixtures in Zeolites: Reversal Adsorption Phenomena
7.6. Alkanes Adsorbed in Carbon Nanotubes Bundles: Surface Area Characterization
- (1)
-
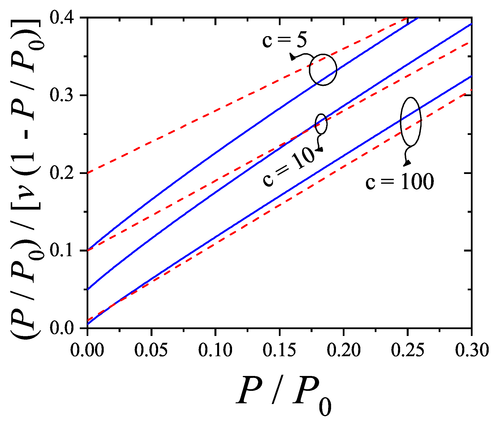
In this first approach (procedure A), we used the one-dimensional MBET equations for all four adsorbates to account for the linear geometry of the molecules. For methane, we employed the standard BET equation, which corresponds to the MBET expression for monomers. For ethane, we applied the exact 1-D MBET formula for dimers [Equation (342)]. For propane and butane, we utilized the same dimer equation but adjusted its parameters to fit the experimental data in the low-pressure, low-coverage regime—specifically, the same region typically used in BET analysis.Using Procedure A, the calculated specific surface areas for ethane, propane, and butane were consistently higher than those obtained using the BET method. In addition to producing improved results, this method remains relatively straightforward to implement.However, we also observed a consistent trend: as the length of the alkane chain increases, the derived specific surface area decreases. This behavior is illustrated in Figure 6, which includes data obtained from both this and other approaches.Although not perfect, the results from Procedure A represent a clear enhancement over the standard BET approach.
- 2)
-
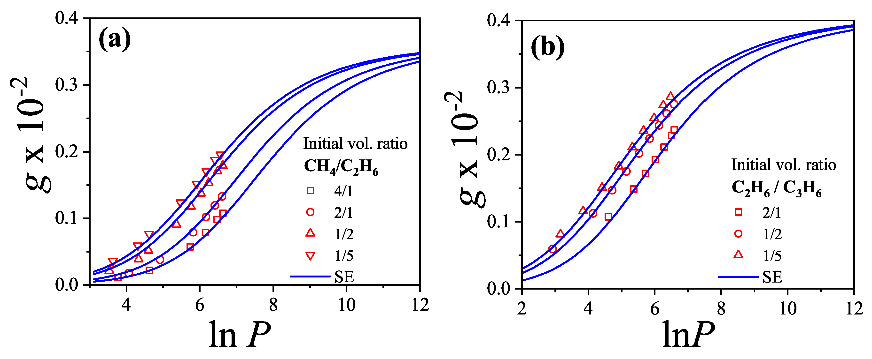
The second strategy (procedure B) involved fitting the isotherm data for all four adsorbates to the approximate MBET expression developed for the two-dimensional case [Equation (209) in Section 3.4]In this formulation, is a constant that reflects both the interaction strength between the adsorbate and the substrate, as well as the connectivity of the adsorption lattice. The parameter k denotes the number of units in the k-mer molecule.The experimental adsorption isotherms are fitted to this model using the appropriate k value for each adsorbate—1 for methane, 2 for ethane, 3 for propane, and 4 for butane—within the same low-pressure range typically employed for BET analysis. Figure 55 shows the fit obtained for butane, which demonstrates excellent agreement with the data; similarly accurate fits were achieved for the other three alkanes. The fits yield values for the monolayer capacity, , which are subsequently used to compute the specific surface area of the sample.
7.7. Crystal Growth from Aqueous Solution in the Presence of Structured Impurities
- Case HCOOH: Equation (355) was used as fitting function, with and as adjustable parameter.
- Case CH3COOH: Equation (356) was used as fitting function, with and as adjustable parameter.
- Case C2H5COOH: Equation (357) was used as fitting function, with and as adjustable parameter.
- Case C3H7COOH: Equation (358) was used as fitting function, with and as adjustable parameter.
7.8. Application to k-Mers Phase Transitions
7.8.1. Basic Definitions
7.8.2. Entropy Surface, Equilibrium Path, and Order Parameter
7.8.3. Generalized Density of States Function in Multiple Exclusion Statistics
7.8.4. Nematic-Phase Density Branches and Phase Transitions
7.8.5. State Exclusion Spectrum Functions of k-Mers: Coverage Dependence


8. Monte Carlo Simulation Method Applied to the Problem of Adsorption with Multisite Occupancy
8.1. Metropolis MC Algorithms for Adsorption of Interacting k-Mers
8.1.1. Grand Canonical Ensemble
- i)
- set the value of the chemical potential and the temperature T;
- ii)
- choose randomly a linear k-uple of nearest-neighbor sites.
- iii)
- if the k sites selected in are empty, an attempt is made to deposit a rod with probability ; if the k sites selected in are occupied by units belonging to the same k-mer, an attempt is made to desorb this k-mer with probability and otherwise, the attempt is rejected. Here, and represent the probabilities of transition from a state with N particles to a new state with or particles, respectively. Following the Metropolis scheme [174], these probabilities are given by , where is the difference between the Hamiltonians of the final and initial states.
- iv)
- repeat steps M times.
8.1.2. Canonical Ensemble
- i)
- set the value of the temperature T;
- ii)
- set the value of the coverage, , by adsorbing linear molecules onto the lattice, each molecule occupying k adsorption sites;
- iii)
- a k-mer and a linear k-uple of empty sites are randomly selected, and their positions are established. Then, an attempt is made to interchange its occupancy state with probability given by the Metropolis rule [174]:where is the difference between the Hamiltonians of the final and initial states;
- iv)
- a k-mer is randomly selected. Then, a displacement to nearest-neighbor positions is attempted (following the Metropolis scheme), by either jumps along the k-mer axis or reptation by rotation around a unity of the k-mer. This procedure (diffusional relaxation) must be allowed in order to reach equilibrium in a reasonable time; and
- v)
- repeat steps iii)-iv) M times.
8.2. Parallel Tempering MC Algorithm for Adsorption of Interacting k-Mers
Replica-update.
Replica-exchange.
8.3. Parallel Tempering MC Algorithm for Adsorption of Binary Mixtures of Interacting Species of Polyatomics
Replica-update.
Replica-exchange.
8.4. Improving the Update Algorithm Through the Use of Lists of Full and Empty k-Uples
8.5. Non-Local Update Kundu’s Algorithm for Adsorption of Non-Interacting Large k-Mers (Only Excluded Volume Interaction)
8.6. Thermodynamic Integration Method in Canonical Ensemble: Artificial Hamiltonian Method
9. Conclusions and Future Perspectives
Author Contributions
Data Availability Statement
Acknowledgments
Conflicts of Interest
References
- Onsager, L. The effects of shape on the interaction of colloidal particles. Ann. N. Y. Acad. Sci. 1949, 51, 627–659. [CrossRef]
- Kasteleyn, P. The statistics of dimers on a lattice I. The number of dimer arrangements on a quadratic lattice. Physica 1961, 27, 1209–1225. [CrossRef]
- Baxter, R.J. Hard hexagons: exact solution. J. Phys. A: Math. Gen. 1980, 13, L61–L70. https://iopscience.iop.org/article/10.1088/0305-4470/13/3/007.
- Frenkel, D.; Eppenga, R. Evidence for algebraic orientational order in a two-dimensional hard-core nematic. Phys. Rev. A 1985, 31, 1776–1787. [CrossRef]
- Khandkar, D.; Barma, M. Orientational correlations and the effect of spatial gradients in the equilibrium steady state of hard rods in two dimensions: A study using deposition-evaporation kinetics. Phys. Rev. E 2005, 72, 051717. https://journals.aps.org/pre/abstract/10.1103/PhysRevE.72.051717.
- Flory, P.J. Thermodynamics of High Polymer Solutions. J. Chem. Phys. 1942, 10, 51–61. [CrossRef]
- Huggins, M.L. Some properties of solutions of long-chain compounds. J. Chem. Phys. 1942, 46, 151–158. https://pubs.acs.org/doi/abs/10.1021/j150415a018.
- Des Cloizeaux, J.; Jannink, G. Polymers in Solution. Their Modelling and Structure; Clarendon Press: Oxford, UK, 1990. [CrossRef]
- DiMarzio, E.A. Statistics of Orientation Effects in Linear Polymer Molecules. J. Chem. Phys. 1961, 35, 658–669. [CrossRef]
- Guggenheim, E.A. Statistical Thermodynamics of Mixtures with Zero Energies of Mixing. Proc. R. Soc. London 1944, A183, 203–212. [CrossRef]
- Romá, F.; Riccardo, J.L.; Ramirez-Pastor, A.J. Semiempirical Model for Adsorption of Polyatomics. Langmuir 2006, 22, 3192–3197. [CrossRef]
- Riccardo, J.L.; Romá, F.; Ramirez-Pastor, A.J. Fractional Statistical Theory of Adsorption of Polyatomics. Phys. Rev. Lett. 2004, 93, 186101. [CrossRef]
- Riccardo, J.L.; Romá, F.; Ramirez-Pastor, A.J. Generalized statistical description of adsorption of polyatomics. Applied Surf. Sci. 2005, 252 505–511. [CrossRef]
- Haldane, F.D.M. “Fractional statistics" in arbitrary dimensions: A generalization of the Pauli principle Phys. Rev. Lett. 1991, 67, 937–940. [CrossRef]
- Wu, Y.S. Statistical distribution for generalized ideal gas of fractional-statistics particles. Phys. Rev. Lett. 1994, 73, 922–925. [CrossRef]
- Riccardo, J.L.; Romá, F.; Ramirez-Pastor, A.J. Adsorption of polyatomics: theoretical approaches in model systems and applications. Int. J. Mod. Phys. B 2006, 20, 4709–4778. [CrossRef]
- Riccardo, J.J.; Riccardo, J.L.; Ramirez-Pastor, A.J.; Pasinetti, P.M. Multiple Exclusion Statistics. Phys. Rev. Lett. 2019, 123, 020602. [CrossRef]
- Riccardo, J.J.; Pasinetti, P.M.; Ramirez-Pastor, A.J.; Riccardo, J.L. Exclusion statistics for structured particles on topologically correlated states. I. Single species lattice gases. Phys. Rev. E 2025, 111, 014122. [CrossRef]
- Riccardo, J.J.; Pasinetti, P.M.; Ramirez-Pastor, A.J.; Riccardo, J.L. Exclusion statistics for structured particles on topologically correlated states. II. Multicomponent lattice gases. Phys. Rev. E 2025, 111, 014123. [CrossRef]
- Ramirez-Pastor, A. J.; Eggarter, T. P.; Pereyra, V.; Riccardo, J. L. Statistical thermodynamics and transport of linear adsorbates, Phys. Rev. B 1999, 59, 11027-11036. [CrossRef]
- Kasteleyn, P. Dimer Statistics and Phase Transitions. J. Math. Phys. 1963, 4, 287–293. [CrossRef]
- Temperley, H N.V.; Fisher, M.E. Dimer problem in statistical mechanics—an exact result. Philos. Mag. 1961, 6, 1061–1063. [CrossRef]
- Fisher, M.E. Statistical mechanics of dimers on a plane lattice. Phys. Rev. 1961, 124, 1664–1672. [CrossRef]
- Phares, A.J.; Wunderlich, F.J.; Grumbine, D.W.; Curley, J.D. The entropy curves for interacting dimers on a square lattice. Phys. Lett. A 1993, 173, 365–368. [CrossRef]
- Phares, A.J.; Wunderlich, F.J. Thermodynamics of dimers on a rectangular L × M × N lattice. J. Math. Phys. 1985, 26, 2491–2499. [CrossRef]
- Phares, A. J.; Wunderlich, F.J. Thermodynamics and Molecular Freedom of Dimers on Plane Triangular Lattices. J. Math. Phys. 1986, 27, 1099–1109. [CrossRef]
- Phares, A.J.; Wunderlich, F.J. Thermodynamics and Molecular Freedom of Dimers on Plane Honeycomb and Kagomé Lattices. Il Nuovo Cimento B 1988, 301, 653–686. [CrossRef]
- W. Rżysko, W.; Patrykiejew, A.; Binder, K. Phase transitions in a two-dimensional lattice gas model of orientable diatomic molecules. Phys. Rev. B 2005, 72, 165416. [CrossRef]
- Wu, F.Y. Dimers on two-dimensional lattices. Int. J. Mod. Phys. B 2006, 20, 5357–5371. [CrossRef]
- Dávila, M.; Romá, F.; Riccardo, J.L.; Ramirez-Pastor, A.J. Quasi-chemical approximation for polyatomics: Statistical thermodynamics of adsorption. Surf. Sci. 2006, 600, 2011–2025. [CrossRef]
- Dávila, M.; Riccardo, J.L.; Ramirez-Pastor, A.J. Fractional statistical theory and use of quasi-chemical approximation for adsorption of interacting k-mers. Surf. Sci. 2009, 603, 683–689. [CrossRef]
- Marczewski, A. W.; Derylo-Marczewska, M.; Jaroniec, M. Energetic heterogeneity and molecular size effects in physical adsorption on solid surfaces. J. Colloid Interface Sci. 1986, 109, 310–324. [CrossRef]
- Nitta, T.; Kuro-Oka, M.; Katayama, T. An adsorption isotherm of multi-site occupancy model for heterogeneous surface. J. Chem. Eng. Jpn. 1984, 17, 45–52. [CrossRef]
- Nitta, T.; Yamaguchi, A. J. A hybrid isotherm equation for mobile molecules adsorbed on heterogeneous surface of random topography. J. Chem. Eng. Jpn. 1992, 25, 420–426. [CrossRef]
- Rudziński, W.; Lajtar, L.; Zaja̧c, J.; Wolfram, E.; Pászli, I. Ideal adsorption from binary liquid mixtures on heterogeneous solid surfaces: Equations for excess isotherms and heats of immersion. J. Colloid Interface Sci. 1983, 96, 339–359. [CrossRef]
- Rudziński, W.; Zaja̧c, J.; Hsu, C. C. Excess isotherms and heats of immersion in monolayer adsorption from binary liquid mixtures on strongly heterogeneous solid surfaces. J. Colloid Interface Sci. 1985, 103, 528–541. [CrossRef]
- Rudziński, W.; Everett, D.H. Adsorption of gases on heterogeneous surfaces; Academic Press, London, UK, 1992. [CrossRef]
- Iijima, S. Helical microtubules of graphitic carbon. Nature 1991, 345, 56–58. [CrossRef]
- Iijima, S.; Ichihaschi, T. Single-shell carbon nanotubes of 1-nm diameter. Nature 1993, 363, 603–605. [CrossRef]
- Bethune, D.S.; Kiang, C.H.; de Vries, M.S.; Gorman, G.; Savoy, R.; Vazquez, J.; Beyers, R. Cobalt-catalysed growth of carbon nanotubes with single-atomic-layer walls. Nature 1993, 363, 605–607. [CrossRef]
- Ajayan, P.M.; Iijima, S. Capillarity-Induced Filling of Carbon Nanotubes. Nature 1993, 361, 333–334. [CrossRef]
- Deurbergue, A.; Oberlin, A. TEM study of some recent high modulus pan-based carbon fibers. Carbon 1992, 30, 981–987. [CrossRef]
- Martin, J.C.; Coulomb, J.P.; Grillet, V.; Kahn, R. Measure of the Translational Mobility Dt of Methane Molecules Sorbed in the One-Dimensional Micropore Network of the AlPO4-5 Zeolite. In Fundamentals of Adsorption; Le Van, M.D., Ed.; Kluwer Academic Publishers: Boston, USA, 1996; pp. 587–594.
- Rittner, F.; Boddenberg, B.; Bojan, M. J.; Steele, W.A. Adsorption of Nitrogen on Rutile (110): Monte Carlo Computer Simulations. Langmuir 1999, 15, 1456–1462. [CrossRef]
- Maddox, M.W.; Ulberg, D.; Gubbins, K.E. Molecular simulation of simple fluids and water in porous carbons. Fluid Phase Equilibria 1995, 104, 145–158. [CrossRef]
- Maddox, M.W.; Gubbins, K.E. Molecular Simulation of Pure Fluid and Binary Mixture Adsorption in Buckytubes and MCM-41. In Fundamentals of Adsorption; Le Van, M.D., Ed.; Kluwer Academic Publishers: Boston, USA, 1996; pp. 563–570.
- Stan, G.; Cole, M. W. Low coverage adsorption in cylindrical pores. Surf. Sci. 1998, 395, 280–291. [CrossRef]
- Stan, G.; Crespi, V.H.; Cole, M.W.; Boninsegni, M. J. Interstitial He and Ne in Nanotube Bundles. J. Low Temp. Phys. 1998, 113, 447–452. [CrossRef]
- Maltz, A.; Mola, E. E. Pair site occupation probability for one-dimensional array of dumbbells. J. Math. Phys. 1981, 22, 1746–1748. [CrossRef]
- Hill, T. L. An Introduction to Statistical Thermodynamics; Addison-Wesley: Reading, USA, 1960.
- Khettar, A.; Jalili, S.E.; Dunne, L.J.; Manos, G.; Du, Z. Monte-Carlo simulation and mean-field theory interpretation of adsorption preference reversal in isotherms of alkane binary mixtures in zeolites at elevated pressures. Chem. Phys. Lett. 2002, 362, 414–418. [CrossRef]
- Dunne, L.J.; Manos, G.; Du, Z. Exact statistical mechanical one-dimensional lattice model of alkane binary mixture adsorption in zeolites and comparision with Monte-Carlo simulations. Chem. Phys. Lett. 2003, 377, 551–556. [CrossRef]
- Clark, A. The Theory of Adsorption and Catalysis; Academic Press: New York, USA, 1970.
- Gregg, S.J.; Sing, K.S.W. Adsorption, Surface Area, and Porosity; Academic Press: New York, USA, 1991.
- Adamson, A.W. Physical Chemistry of Surfaces; John Wiley and Sons: New York, USA, 1990.
- Frenkel, J. Kinetic Theory of Liquids; Dover Reprint: New York, USA 1955.
- Halsey, G.D. Physical Adsorption on Non-Uniform Surfaces. J. Chem. Phys. 1948, 16, 931–937. [CrossRef]
- Hill, T.L. Theory of Physical Adsorption. Adv. Catal. 1952, 4, 211–258. [CrossRef]
- McMillan, W.G.; Teller, E. The Role of Surface Tension in Multilayer Gas Adsorption. J. Chem. Phys. 1951, 19, 25–32. [CrossRef]
- Brunauer, S.; Emmett, P.H.; Teller, E. Adsorption of Gases in Multimolecular Layers. J. Am. Chem. Soc. 1938, 60, 309–319. [CrossRef]
- Pierce, C.; Ewing, B. Areas of Uniform Graphite Surfaces. J. Phys. Chem. 1964, 68, 2562–2568. [CrossRef]
- Aligia, A.A. One-dimensional oxygen ordering in YBa2Cu3O7-δ. Phys. Rev. B 1993, 47, 15308–15311. [CrossRef]
- Kikuchi, R. A Theory of Cooperative Phenomena. Phys. Rev. B 1951, 81, 988–1003. [CrossRef]
- Martin, J.C.; Tosi-Pellenq, N.; Patarin, J.; Coulomb, J.P. Sorption Properties of AlPO4-5 and SAPO-5 Zeolite-like Materials. Langmuir 1998, 14, 1774–1778. [CrossRef]
- Lachet, V.; Boutin, A.; Pellenq, R.M.; Nicholson, D.; Fuchs, A. Molecular Simulation Study of the Structural Rearrangement of Methane Adsorbed in Aluminophosphate AlPO4-5. J. Phys. Chem. 1996, 100, 9006–9013. [CrossRef]
- Maris, T.; Vlugt, T.J.H.; Smit, B. Simulation of Alkane Adsorption in the Aluminophosphate Molecular Sieve AlPO4-5. J. Phys. Chem. B 1998, 102, 7183–7189. [CrossRef]
- Steele, W.A. The Interaction of Gases with Solid Surfaces; Pergamon Press: New York, USA, 1974.
- A. Patrykiejew, A.; Sokolowski, S. Statistical mechanics of adsorption of polyatomic molecules on solid surfaces. Advances in Colloid and Interface Science 1989, 30, 203–334. [CrossRef]
- Zimm, B.H. Application of the Methods of Molecular Distribution to Solutions of Large Molecules. J. Chem. Phys. 1946, 14, 164–179. [CrossRef]
- Isihara, A. Determination of Molecular Shape by Osmotic Measurement. J. Chem. Phys. 1950, 18, 1446–1449. [CrossRef]
- Isihara, A. Theory of Anisotropic Colloidal Solutions. J. Chem. Phys. 1951, 19, 1142–1147. [CrossRef]
- Ramirez-Pastor, A.J.; Pereyra, V.D.; Riccardo, J.L. Statistical Thermodynamics of Linear Adsorbates in Low Dimensions: Application to Adsorption on Heterogeneous Surfaces. Langmuir 1999, 15, 5707–5712. [CrossRef]
- Romá, F.; Ramirez-Pastor, A.J.; Riccardo, J.L. Multisite Occupancy Adsorption: Comparative Study of New Different Analytical Approaches. Langmuir 2003, 19, 6770–6777. [CrossRef]
- Romá, F.; Ramirez-Pastor, A.J.; Riccardo, J.L. Configurational Entropy in k-mer Adsorption. Langmuir 2000, 16, 9406–9409. [CrossRef]
- Romá, F.; Ramirez-Pastor, A.J.; Riccardo, J.L. Configurational entropy for adsorbed linear species (k-mers). J. Chem. Phys. 2001, 114, 10932–10937. [CrossRef]
- Gujrati, P.D.; Chhajer, M. New statistical mechanical treatment of systems near surfaces. I. Theory and principles. J. Chem. Phys. 1997, 106, 5599–5614. [CrossRef]
- Peterson, H.T.; Martire, D.E.; Cotter, M.A. Lattice model for a binary mixture of hard rods of different lengths. Application to solute induced nematic→isotropic transitions. J. Chem. Phys. 1974, 61, 3547–3555. [CrossRef]
- Dávila, M.; Riccardo, J.L.; Ramirez-Pastor, A.J. Exact statistical thermodynamics of alkane binary mixtures in zeolites: New interpretation of the adsorption preference reversal phenomenon from multisite-occupancy theory. Chem. Phys. Lett. 2009, 477, 402–405. [CrossRef]
- Riccardo, J.L.; Ramirez-Pastor, A.J.; Romá, F. Multilayer Adsorption with Multisite Occupancy: An Improved Isotherm for Surface Characterization. Langmuir 2002, 18, 2130–2134. [CrossRef]
- Patrykiejew, A.; Sokolowski, S.; Binder, K. Phase transitions in adsorbed layers formed on crystals of square and rectangular surface lattice. Surf. Sci. Rep. 2000, 37, 207–344. [CrossRef]
- Plischke, M.; Bergersen, B. Equilibrium Statistical Physics; Prentice Hall: New Jersey, USA, 1989. [CrossRef]
- Goldenfeld, N. Lectures on phase transitions and the renormalization group; CRC Press: Boca Raton, FL, USA, 2018. [CrossRef]
- Yeomans, J.M. Statistical Mechanics of Phase Transitions; Clarendon Press: Oxford, UK, 1992.
- Ising, E. Beitrag zur Theorie des Ferromagnetismus. Z. Physik 1925, 31, 253–258. [CrossRef]
- Domb, C. Series Expansions for Lattice Models. In Phase transitions and critical phenomena, vol. 3; Domb, C.; Green, M.S., Eds.; Academic Press: London, UK, 1974; pp. 1–95.
- Fisher, M.E. The theory of equilibrium critical phenomena. Rep. Prog. Phys. 1967, 30, 615–730. https://iopscience.iop.org/article/10.1088/0034-4885/30/2/306.
- Onsager, L. Crystal Statistics. I. A Two-Dimensional Model with an Order-Disorder Transition. Phys. Rev. 1944, 65, 117–149. [CrossRef]
- Bethe, H.A. Statistical theory of superlattices. Proc. R. Soc. London 1935, A150, 552–575. [CrossRef]
- Quiroga, E.; Ramirez-Pastor, A.J. Statistical thermodynamics of molecules with multiple adsorption states: Application to protein adsorption. Chem. Phys. Lett. 2013, 556, 330–335. [CrossRef]
- Dhar, D.; Rajesh, R. Entropy of fully packed hard rigid rods on d-dimensional hypercubic lattices. Phys. Rev. E 2021, 103, 042130. [CrossRef]
- Rodrigues, L.R.; Stilck, J.F.; Dantas, W.G. Entropy of rigid k-mers on a square lattice. Phys. Rev. E 2023, 107, 014115. [CrossRef]
- Lambert, J.H. Observationes variae in mathesin puram. Acta Helveticae Physico-Mathematico-Anatonico-Botanico-Medica 1758, 3, 128–168.
- Scott, T.C.; Aubert-Frécon, M.; Grotendorst, J. New approach for the electronic energies of the hydrogen molecular ion. Chem. Phys. 2006, 324, 323–338. [CrossRef]
- Scott, T.C.; Lüchow, A.; Bressanini, D.; Morgan, J. D. Nodal surfaces of helium atom eigenfunctions. Phys Rev. A 2007, 75, 060101(R). [CrossRef]
- Farrugi, P.S.; Mann, R.B.; Scott, T.C. N-body gravity and the Schrödinger equation. Class. Quantum Grav. 2007, 24, 4647–4659. https://iopscience.iop.org/article/10.1088/0264-9381/24/18/006.
- Ghosh, A.; Dhar, D. On the orientational ordering of long rods on a lattice. Eur. Phys. Lett. 2007, 78, 20003. https://iopscience.iop.org/article/10.1209/0295-5075/78/20003.
- Matoz-Fernandez, D.A.; Linares, D.H.; Ramirez-Pastor, A.J. Determination of the critical exponents for the isotropic-nematic phase transition in a system of long rods on two-dimensional lattices: Universality of the transition. Eur. Phys. Lett. 2008, 82, 50007. https://iopscience.iop.org/article/10.1209/0295-5075/82/50007.
- Matoz-Fernandez, D.A.; Linares, D.H.; Ramirez-Pastor, A.J. Critical behavior of long straight rigid rods on two-dimensional lattices: Theory and Monte Carlo simulations. J. Chem. Phys. 2008, 128, 214902. [CrossRef]
- Matoz-Fernandez, D.A.; Linares, D.H.; Ramirez-Pastor, A.J. Critical behavior of long linear k-mers on honeycomb lattices. Physica A 2008, 387, 6513–6525. [CrossRef]
- Disertori, M.; Giuliani, A. The Nematic Phase of a System of Long Hard Rods. Commun. Math. Phys. 2013, 323, 143–175. [CrossRef]
- Kundu, J.; Rajesh, R.; Dhar, D.; Stilck, J.F. Nematic-disordered phase transition in systems of long rigid rods on two-dimensional lattices. Phys. Rev. E 2013, 87, 032103. [CrossRef]
- Chatelain, C.; Gendiar, A. Absence of logarithmic divergence of the entanglement entropies at the phase transitions of a 2D classical hard rod model. Eur. Phys. J. B 2020, 93, 134. [CrossRef]
- Kundu, J.; Rajesh, R. Reentrant disordered phase in a system of repulsive rods on a Bethe-like lattice. Phys. Rev. E 2013, 88, 012134. [CrossRef]
- Vogel, E.E.; Saravia, G.; Ramirez-Pastor, A.J. Phase transitions in a system of long rods on two-dimensional lattices by means of information theory. Phys. Rev. E 2017, 96, 062133. [CrossRef]
- Vogel, E.E.; Saravia, G.; Ramirez-Pastor, A.J.; Pasinetti, M. Alternative characterization of the nematic transition in deposition of rods on two-dimensional lattices. Phys. Rev. E 2020, 101, 022104. [CrossRef]
- Shah, A.; Dhar, D.; Rajesh, R. Phase transition from nematic to high-density disordered phase in a system of hard rods on a lattice. Phys. Rev. E 2022, 105, 034103. [CrossRef]
- Pasinetti, P.M.; Ramirez-Pastor, A.J.; Vogel, E.E.; Saravia, G. Entropy-driven phases at high coverage adsorption of straight rigid rods on two-dimensional square lattices. Phys. Rev. E 2021, 104, 054136. [CrossRef]
- Dhar, D.; Rajesh, R.; Stilck, J.F. Hard rigid rods on a Bethe-like lattice. Phys. Rev. E 2011, 84, 011140. [CrossRef]
- Centres, P.M.; Ramirez-Pastor, A.J. Configurational entropy of adsorbed rigid rods: Theory and Monte Carlo simulations. Physica A 2009, 388, 2001–2019. [CrossRef]
- De La Cruz Feliz, N.M.; De La Cruz Félix, N.; Quiroga, E.; Riccardo, J.J.; Riccardo, J.L.; Ramirez Pastor, A.J. Fractional statistics description applied to adsorption of trimers on triangular lattices, in preparation.
- Kundu, J.; Rajesh, R. Phase transitions in a system of hard rectangles on the square lattice. Phys. Rev. E 2014, 89, 052124. [CrossRef]
- Kundu, J.; Rajesh, R.; Dhar, D.; Stilck, J.F. A Monte Carlo Algorithm for Studying Phase Transition in Systems of Hard Rigid Rods. AIP Conf. Proc. 2012, 1447, 113–114. [CrossRef]
- Kundu, J.; Rajesh, R. Phase transitions in systems of hard rectangles with non-integer aspect ratio. Eur. Phys. J. B 2015, 88, 133. [CrossRef]
- Kundu, J.; Rajesh, R. Asymptotic behavior of the isotropic-nematic and nematic-columnar phase boundaries for the system of hard rectangles on a square lattice. Phys. Rev. E 2015, 91, 012105. [CrossRef]
- T. Nath, Phase behaviour and ordering in hard core lattice gas models, PhD. Thesis PHYS10201104002,The Institute of Mathematical Sciences, Chennai. https://www.imsc.res.in/xmlui/handle/123456789/396.
- Costa, E.; Sotelo, J.; Calleja, G.; Marron, C. Adsorption of binary and ternary hydrocarbon gas mixtures on activated carbon: Experimental determination and theoretical prediction of the ternary equilibrium data. AIChE J. 1981, 27, 5–12. [CrossRef]
- Chaer Nascimento, M.A. Theoretical Aspects of Heterogeneous Catalysis; Kluwer Academic Publishers: Boston, MA, USA, 2002.
- Ramirez-Pastor, A.J.; Riccardo, J.L.; Pereyra, V.D. Monte Carlo study of dimer adsorption at monolayer on square lattices. Surf. Sci. 1998, 411, 294–302. [CrossRef]
- González, J.E.; Ramirez-Pastor, A.J.; Pereyra, V.D. Adsorption of Dimer Molecules on Triangular and Honeycomb Lattices. Langmuir 2001, 17, 6974–6980. [CrossRef]
- Tarek, M.; Kahn, R.; Cohen de Lara, E. Modelization of experimental isotherms of n-alkanes in NaX zeolite. Zeolites 1995, 15, 67–72. [CrossRef]
- Miller, G.W.; Knaebel, K.S.; Ikels, K.G. Equilibria of nitrogen, oxygen, argon, and air in molecular sieve 5A. AIChE J. 1987, 33, 194–201. [CrossRef]
- Danner, R.P.; Wenzel, L.A. Adsorption of carbon monoxide-nitrogen, carbon monoxide-oxygen, and oxygen-nitrogen mixtures on synthetic zeolites. AIChE J. 1969, 15, 515–520. [CrossRef]
- Ramirez-Pastor, A.J.; Nazzarro, M.S.; Riccardo, J.L.; Zgrablich, G. Dimer physisorption on heterogeneous substrates. Surf. Sci. 1995, 341, 249–261. [CrossRef]
- Razmus, D.; Hall, C. Prediction of Gas Adsorption in 5A Zeolites Using Monte Carlo Simulation. AIChE J. 1991, 37, 769–779. [CrossRef]
- Abdul-Reham, H.B.; Loughlin, K.F. Quaternary, Ternary, Binary, and Pure Component Sorption on Zeolites. 1. Light Alkanes on Linde S-115 Silicalite at Moderate to High Pressures. Ind. Eng. Chem. Res. 1990, 29, 1525–1535. [CrossRef]
- Du, Z.; Manos, G.; Vlugt, T.J.H.; Smit, B. Molecular simulation of adsorption of short linear alkanes and their mixtures in silicalite. AIChE J. 1998, 44, 1756–1764. [CrossRef]
- Krishna, R.; Smit, B.; Calero, S. Entropy effects during sorption of alkanes in zeolites. Chem. Soc. Rev. 2002, 31, 185–194. [CrossRef]
- Macedonia, M.; Maginn, E.J. Pure and binary component sorption equilibria of light hydrocarbons in the zeolite silicalite from grand canonical Monte Carlo simulations. Fluid Phase Equilibria 1999, 158–160, 19–27. [CrossRef]
- Denayer, J.F.M.; Ocakoglu, R.; Huybrechts, W.; Dejonckheere, B.; Jacobs, P.; Calero, S.; Krishna, R.; Smit, B.; Baron, G.V.; Martens, J.A. High-pressure liquid phase hydroconversion of heptane/nonane mixtures on Pt/HY zeolite catalyst. J. Catal. 2003, 220, 66–73. [CrossRef]
- Krishna, R.; Baur, R. Modelling Issues in Zeolite Based Separation Processes. Sep. Purif. Technol. 2003, 33, 213–254. [CrossRef]
- Cabral, V.F.; Castier, M.; Tavares, F.W. Adsorption equilibrium of light hydrocarbon mixtures by Monte Carlo simulation. Braz. J. Chem. Eng. 2007, 24, 597–610. [CrossRef]
- Smit, B.; Maesen, T.L.M. Molecular Simulations of Zeolites: Adsorption, Diffusion, and Shape Selectivity. Chem. Rev. 2008, 108, 4125–4184. [CrossRef]
- Jiang, J.; Sandler, S.I.; Schenk, M.; Smit, B. Adsorption and separation of linear and branched alkanes on carbon nanotube bundles from configurational-bias Monte Carlo simulation. Phys. Rev. B 2005, 72, 045447. [CrossRef]
- Jiang, J.; Sandler, S.I. Monte Carlo Simulation for the Adsorption and Separation of Linear and Branched Alkanes in IRMOF-1. Langmuir 2006, 22, 5702–5707. [CrossRef]
- Lide, D.R. CRC Handbook of Chemistry and Physics, 88th Edition (Internet Version 2008; CRC Press/Taylor and Francis: Boca Raton, FL, USA, 2008.
- Ungerer, P.; Tavitian, B.; Boutin, A. Applications of Molecular Simulation in the Oil and Gas Industry: Monte Carlo Methods; Editions Technip: Paris, France, 2005.
- Silva, J.A.C.; Rodrigues, A. E. Multisite Multisite Langmuir model applied to the interpretation of sorption of n- paraffins in 5A zeolite. Ind. Eng. Chem. Res. 1999, 38, 2434–2438. [CrossRef]
- Romá, F.; Riccardo, J.L.; Ramirez-Pastor, A.J. Statistical Thermodynamics Models for Polyatomic Adsorbates: Application to Adsorption of n-Paraffins in 5A Zeolite. Langmuir 2005, 21, 2454–2459. [CrossRef]
- Chiang, I.W.; Brinson, B.E.; Smalley, R.E.; Margrave, J. L.; Hauge, R. H. Purification and Characterization of Single-Wall Carbon Nanotubes. J. Phys. Chem. B 2001, 105, 1157–1161. [CrossRef]
- Kuznetsova, A.; Mawhinney, D.B.; Naumenko, V.; Yates, J.T. Jr.; Liu, J.; Smalley, R. E. Enhancement of adsorption inside of single-walled nanotubes: opening the entry ports. Chem. Phys. Lett. 2000, 321, 292–296. [CrossRef]
- Kuznetsova, A.; Yates, J.T. Jr.; Liu, J.; Smalley, R.E. Physical adsorption of xenon in open single walled carbon nanotubes: Observation of a quasi-one-dimensional confined Xe phase. J. Chem. Phys. 2000, 112, 9590–9598. [CrossRef]
- Shi, W.; Johnson, J.K. Gas Adsorption on Heterogeneous Single-Walled Carbon Nanotube Bundles. Phys. Rev. Lett. 2003, 91, 155504. [CrossRef]
- LaBrosse, M.R.; Shi, W.; Johnson, J.K. Adsorption of Gases in Carbon Nanotubes: Are Defect Interstitial Sites Important? Langmuir 2008, 24, 9430–9439. [CrossRef]
- Shrestha, P.; Alkhafaji, M.T.; Lukowitz, M.M.; Yang, G.; Migone, A.D. Adsorption Studies on Boron Nitride Substrates. Langmuir 1994, 10, 3244–3249. [CrossRef]
- Vora, P.; Sinha, S.K.; Crawford, R.K. Neutron-Diffraction Study of Phases of CD4 Monolayer Films on Graphite. Phys. Rev. Lett. 1979, 43, 704–708. [CrossRef]
- Newton, J.C.; Taub, H. Neutron diffraction study of the S2 monolayer phase of ethane physisorbed on graphite. Surf. Sci. 1996, 364, 273–278. [CrossRef]
- Matthies, B.; Herwig, K.W.; Taub, H. Bull. Am. Phys. Soc. 1994, 39, 455.
- Emmett, P.H.; Brunauer, S. The Use of Low Temperature van der Waals Adsorption Isotherms in Determining the Surface Area of Iron Synthetic Ammonia Catalysts. J. Am. Chem. Soc. 1937, 59, 1553–1564. [CrossRef]
- Rouquerol, F.; Rouquerol, J.; Sing, K. Adsorption by Powders and Porous Solids; Academic Press: London, UK, 1999. Electronic version: Elsevier, 2012, . [CrossRef]
- Talapatra, S.; Migone, A.D. Adsorption of methane on bundles of closed-ended single-wall carbon nanotubes. Phys. Rev. B 2002, 65, 045416. [CrossRef]
- Rawat, D.S.; Furuhashi, T.; Migone, A.D. Study of a Butane Monolayer Adsorbed on Single-Walled Carbon Nanotubes. Langmuir 2009, 25, 973–976. [CrossRef]
- Krungleviciute, V.; Heroux, L.; Talapatra, S.; Migone, A.D. Gas Adsorption on HiPco nanotubes: Surface Area Determinations, and Neon Second Layer Data. Nano Lett. 2004, 24, 1133–1137. [CrossRef]
- Mullin, J.W. Crystallization; Butterworth-Heinemann: Oxford, UK, 2001.
- Meenan, P.A.; Anderson, S.R.; Klug, D.L. The influence of impurities and solvents on crystallization. In Handbook of industrial crystallization; Myerson, A. S., Ed.; Butterworth-Heinemann: Boston, USA, 2002; pp. 67–100. [CrossRef]
- Chianese, A.; Kramer, H.J.M. Industrial crystallization process monitoring and control; John Wiley & Sons, Inc.: New York, USA, 2012. [CrossRef]
- Buckley, H.E. Crystal growth; Wiley: New York, USA, 1951.
- Bienfait, M.R.; Boistelle, R.; Kern, R. Croissance cristalline et adsorption. In Adsorption et croissance cristalline; Kern, R., Ed.; CNRS: Paris, France, 1965; pp. 207–266.
- Simon, B.; Boistelle, R. Crystal growth from low temperature solutions. J. Crystal Growth 1981, 52, 779–788.
- Sangwal, K. Effect of impurities on the processes of crystal growth. J. Crystal Growth 1993, 128, 1236–1244.
- Sangwal, K. Effects of impurities on crystal growth processes, Prog. Cryst. Growth Charact. 1996, 32, 3–43.https://www.sciencedirect.com/science/article/pii/0960897496000083.
- Kubota, N.; Yokota, M.; Doki, N.; Guzman, L. A.; Sasaki, S. A Mathematical Model for Crystal Growth Rate Hysteresis Induced by Impurity. Cryst. Growth Des. 2003, 3, 397–402. [CrossRef]
- Bliznakov, G.M. Über die Wachstumsformen der Kristalle und den Einfluß der Adsorption auf die lineare Kristallisationsgeschwindigkeit. Bull. Acad. Sci. Bulg. Ser. Phys. 1954, 4, 135–152.
- Bliznakov, G.M.; Kirkova, E. A study of the effect of sulfate ions on the growth of sodium chlorate crystals. Kristall und Technik 1969, 4, 331–336.
- Bliznakov, G.M. Die kristalltracht und die adsorption fremder beimischungen. Fortschr. Min. 1958, 36, 149–191.
- Bliznakov, G.M. Method of Investigating the Adsorption on the Active Centers. In Adsorption et croissance cristalline; Kern, R., Ed.; CNRS: Paris, France, 1965; pp. 291–310.
- Cabrera, N.; Vermilyea, D.A. The Growth of Crystals from Solutions. In Growth and perfection of crystals; Doremus, R.H., Roberts, B.W., Turnbull, D., Eds.; Wiley: New York, USA, 1958; pp. 393–408.
- Davey, R.J.; Mullin, J.W. Growth of the {100} faces of ammonium dihydrogen phosphate crystals in the presence of ionic species. J. Cryst. Growth 1974, 26, 45–51. [CrossRef]
- Kubota, N.; Mullin, J.W. A kinetic model for crystal growth from aqueous solution in the presence of impurity. J. Cryst. Growth 1995, 152, 203–208. [CrossRef]
- Langmuir, I. The adsorption of gases on plane surfaces of glass, mica, and platinum in 5A zeolite pellets. J. Am. Chem. Soc. 1918, 40, 1361–1403. [CrossRef]
- Ilevbare, G.A.; Liu, H.; Edgarb, K.J.; Taylor, L.S. Inhibition of solution crystal growth of ritonavir by cellulose polymers - factors influencing polymer effectiveness. Cryst. Eng. Comm. 2012, 14, 6503–6514. [CrossRef]
- Bliznakov, G.M.; Nikolaeva, R. D. Über den Einfluß der aliphatischen Carbonsauren auf die Wachstumsgeschwindigkeit von KBr-Kristallen. Kristall und Technik 1967, 2, 161–166.
- Linares, D.H.; Romá, F.; Ramirez-Pastor, A.J. Entropy-driven phase transition in a system of long rods on a square lattice. J. Stat. Mech. 2008, P03013. https://iopscience.iop.org/article/10.1088/1742-5468/2008/03/P03013.
- Nicholson, D.; Parsonage, N.G. Computer Simulation and the Statistical Mechanics of Adsorption; Academic Press: London, UK, 1982.
- Metropolis, N.; Rosenbluth, A.W.; Rosenbluth, M.N.; Teller, A.W.; Teller, E. Equation of state calculations by fast computing machines. J. Chem. Phys. 1953, 21, 1087–1092. [CrossRef]
- Hukushima, K.; Nemoto, K. Exchange Monte Carlo Method and Application to Spin Glass Simulations. J. Phys. Soc. Jpn., 1996, 65, 1604–1608. [CrossRef]
- Hartmann, A.H.; Rieger, H. Monte Carlo Methods. In Optimization Algorithms in Physics; Hartmann, A. H., Rieger, H., Eds.; Wiley-VCH Verlag GmbH & Co. KGaA: Weinheim, Germany, 2006; pp 260-262. https://onlinelibrary.wiley.com/doi/book/10.1002/3527600876.
- Binder, K. Applications of the Monte Carlo method in statistical physics. In Topics in current Physics, vol. 36; Binder, K., Ed.; Springer, Berlin, Germany, 1984; pp. 1–36. https://link.springer.com/book/10.1007/978-3-642-51703-7.
- Hansen, J.P.; Verlet, L. Phase Transitions of the Lennard-Jones System. Phys. Rev. 1969, 184, 151–161. [CrossRef]
- Binder, K. Static and dynamic critical phenomena of the two-dimensionalq-state Potts model. J. Stat. Phys. 1981, 24, 69–86. [CrossRef]
- Binder, K. Critical Properties from Monte Carlo Coarse Graining and Renormalization. Phys. Rev. Lett. 1981, 47, 693–696. [CrossRef]
- Ma, S.K. Calculation of entropy from data of motion. J. Stat. Phys. 1981, 26, 221–240. [CrossRef]
- Alexandrowicz, Z.J. Stochastic Models for the Statistical Description of Lattice Systems. J. Chem. Phys. 1971, 55, 2765–2779. [CrossRef]
- Meirovitch, H. Calculation of entropy with computer simulation methods. Chem. Phys. Lett. 1977, 45, 389–392. [CrossRef]
- Valleau, J.P.; Card, D.N. Monte Carlo Estimation of the Free Energy by Multistage Sampling. J. Chem. Phys. 1972, 57, 5457–5462. [CrossRef]
- Torrie, G.M.; Valleau, J.P. Monte Carlo free energy estimates using non-Boltzmann sampling: Application to the sub-critical Lennard-Jones fluid. Chem. Phys. Lett. 1974, 28, 578–581. [CrossRef]
- Torrie, G.M.; Valleau, J.P. Nonphysical sampling distributions in Monte Carlo free-energy estimation: Umbrella sampling. J. Comput. Phys. 1977, 23, 187–199.
- Torrie, G.M.; Valleau, J.P. Monte Carlo study of a phase-separating liquid mixture by umbrella sampling. J. Chem. Phys. 1977, 66, 1402–1408. [CrossRef]
- Salsburg, Z.W.; Jacobsen, J.; Fickett, W.; Wood, W.W. Application of the Monte Carlo Method to the Lattice-Gas Model. I. Two-Dimensional Triangular Lattice. J. Chem. Phys. 1959, 30, 65–72. [CrossRef]
- de Koning, M.; Antonelli, A.; Yip, S. Optimized Free-Energy Evaluation Using a Single Reversible-Scaling Simulation. Phys. Rev. Lett. 1999, 83, 3973–3977. [CrossRef]
| 1 | The simulations have been performed for chains of sites and periodic boundary conditions. |
| 2 | This adsorption field is usually represented by a lattice of adsorption sites although in the case of particles or molecules composed by more than one elementary unit there is not a one-to-one correspondence between an equilibrium state and a lattice as will be made clear latter. |
| 3 | It is worth to note that in general adsorbed molecules may adopt different configurations as the density increases. In this case the values obtained for g from experiments will depend on the pressure range analyzed, according to the general form of Equation (124). In turns, a relates to the low density limit , . |
| 4 | If it is assumed that each dimer is independent from the neighboring ones, each dimer excludes states out of total
|
| 5 | The term is subtracted since the total number of nearest-neighbor pairs, , includes the bonds belonging to the N adsorbed k-mers. |
| 6 | The solution is discarded for physical reasons. |
| 7 | Even in the simplest case of single dimers on M sites, there not exist the exact form of in two (or more) dimensions. |
| 8 | Typical examples include lattice gases with excluded volume interactions, where particles occupy multiple sites depending on their shape and size. |
| 9 | Note that includes the occupied state itself. |
| 10 |
accounts only for the states excluded by particle j, not by particles . The recursion can be interpreted as representing the most probable configurations at thermodynamic equilibrium. |
| 11 | In principle, one could consider . The assumption corresponds to a first-order approximation in statistics [17]. |
| 12 | |
| 13 | This is a restrictive condition implying that the entropy of species i vanishes at its saturation . A more general condition is discussed in Section 7.8.3. |
| 14 | See Ref. [19] for a general procedure to determine . |
| 15 | In one dimension, the reduces to the exact solution for interacting chains adsorbed flat on a one-dimensional lattice. With respect to , a characteristic Van der Waals loop appears in the isotherm under attractive interactions, erroneously predicting a phase transition for . For strong repulsive interactions, the deviates from the exact results and fails to reproduce the plateau observed in the adsorption isotherm. These limitations can be better understood through the entropy per site. The key assumption of the is that both the configurational degeneracy and the average nearest-neighbor interaction energy are treated as if molecules are randomly distributed across the lattice. As a result, the entropy per site becomes independent of w and takes the form given by Equation (13). |
| 16 | For , cannot be explicitly written in terms of . In this case, the calculations can be done with any standard mathematics software package. |
| 17 | As in the Kubota and Mullin model [168], molecular configuration in the adsorbed state is incorporated through the adsorption constant . |
| 18 | We assume that in any macroscopic region V filled with particles of species 1, the average number of self-excluded states is , and analogously represents the cross-excluded states from species 2 on species 1. |



































































| / | / | |
| (mol. / g) | 0.41 | 0.41 |
| (mmHg−1) | 3.5 | 0.48 |
| (mmHg−1) | 1.6 | 0.6 |
| System | k | m | g | D(%) | |||||
| 2 | 2 | 4 | 3.10 | 0.72 | 5.60 | ||||
| 3 | 1 | 3 | 5.75 | 6.94 | 1.27 | 2.08 |
| sample | type | weight (g) | gas | area/mol on graphite () | isotherm temp (K) |
| SWNTs | HiPco | 0.1727 | methane | 15.4 [145] | 77 |
| SWNTs | HiPco | 0.325 | ethane | 21 [146] | 165 |
| SWNTs | HiPco | 0.325 | propane | 28.8 [147] | 190 |
| SWNTs | HiPco | 0.325 | butane | 32.7 [146] | 220 |
Disclaimer/Publisher’s Note: The statements, opinions and data contained in all publications are solely those of the individual author(s) and contributor(s) and not of MDPI and/or the editor(s). MDPI and/or the editor(s) disclaim responsibility for any injury to people or property resulting from any ideas, methods, instructions or products referred to in the content. |
© 2025 by the authors. Licensee MDPI, Basel, Switzerland. This article is an open access article distributed under the terms and conditions of the Creative Commons Attribution (CC BY) license (http://creativecommons.org/licenses/by/4.0/).