Submitted:
12 May 2025
Posted:
13 May 2025
You are already at the latest version
Abstract
Keywords:
1. Introduction
2. Materials and Methods
2.1. Production and Purification of Collagenolytic Protease from Mucor subtilissimus UCP 1262 Fermentation
2.2. Protein Assay and Enzymatic Activities
2.3. Effect of Temperature and pH on Collagenase Activity
2.4. Thermodynamics of Protease Thermal Inactivation
2.5. Collagen Peptide Production
2.6. Statistical Analysis
3. Results
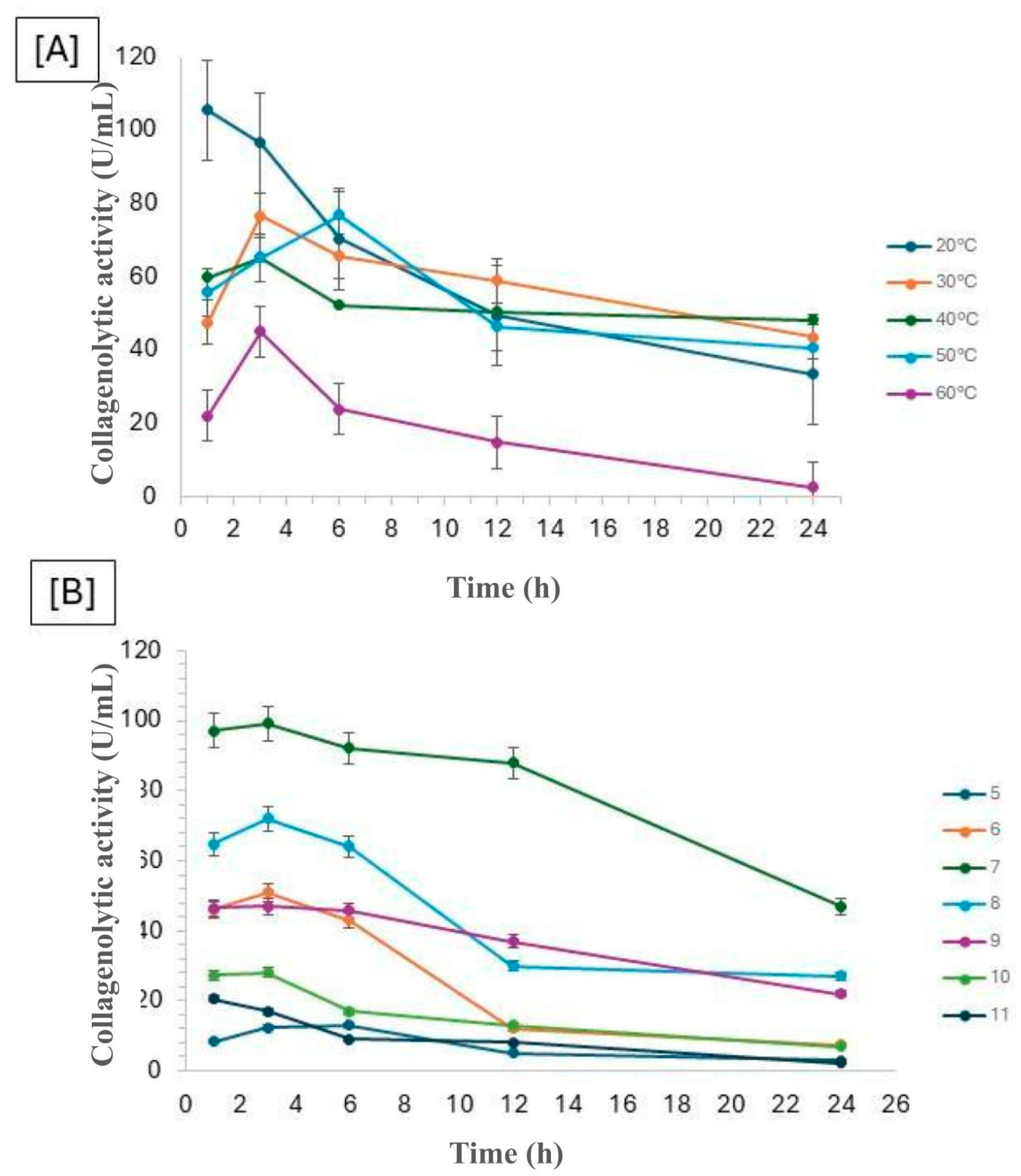
3.1. Enzymatic Activities
3.2. Partial Biochemical Characterization
3.3. Thermodynamics of Thermal Inactivation of the Protease
3.4. Collagen Degradation
4. Discussion
4.1. Enzymatic Activities
4.2. Partial Biochemical Characterization
4.3. Thermodynamics of Thermal Inactivation of the Protease
4.4. Collagen Degradation
5. Conclusions
Author Contributions
Funding
Data Availability Statement
Acknowledgments
Conflicts of Interest
References
- Puntambekar, A.; Dake, M. Microbial Proteases: Potential Tools for Industrial Applications. Res. J. Biotechnol. 2023, 18, 159–171. [Google Scholar] [CrossRef]
- Nicholson, P.J. Enzymes: New Uses for Old Hazards. Occup. Med. 2022, 72, 351–353. [Google Scholar] [CrossRef] [PubMed]
- Jabalia, N.; Mishra, P.C.; Chaudhary, N. Applications, Challenges and Future Prospects of Proteases: An Overview. J. Agroecol. Nat. Resour. Manag. 2014, 1, 179–183. [Google Scholar]
- Nascimento, T.P.; et al. Protease from Mucor subtilissimus UCP 1262: Evaluation of Several Specific Protease Activities and Purification of a Fibrinolytic Enzyme. An. Acad. Bras. Ciênc. 2020, 92, e20200882. [Google Scholar] [CrossRef] [PubMed]
- Salehi, M. Evaluating the industrial potential of naturally occurring proteases: A focus on kinetic and thermodynamic parameters. International Journal of Biological Macromolecules 2024;254:127782. [CrossRef]
- Rigoldi, F.; Donini, S.; Redaelli, A.; Parisini, E.; Gautieri, A. Review: Engineering of Thermostable Enzymes for Industrial Applications. 2018, 2, 011501. [CrossRef]
- Cardoso, K.B.B.; et al. Role of Gamma Radiation as an Agent Modulator of Mucor subtilissimus UCP1262 Fibrinolytic Enzyme (MsFE). Process Biochem. 2024, 143, 13–22. [Google Scholar] [CrossRef]
- Smith, P.K.; et al. Measurement of Protein Using Bicinchoninic Acid. Anal. Biochem. 1985, 150, 76–85, Erratum in: Anal. Biochem. 1987, 163, 279. PMID: 3843705. [Google Scholar] [CrossRef] [PubMed]
- Ginther, C.L. Sporulation and the Production of Serine Protease and Cephamycin C by Streptomyces lactamdurans. Antimicrob. Agents Chemother. 1979, 15, 522–526. [Google Scholar] [CrossRef] [PubMed]
- Chavira, R.; Burnett, T.J.; Hageman, J.H. Assaying Proteinases with Azocoll. Anal. Biochem. 1984, 136, 446–450. [Google Scholar] [CrossRef] [PubMed]
- Souza, K.P.S.; et al. A Novel Collagenolytic Protease from Mucor subtilissimus UCP 1262: Comparative Analysis of Production and Extraction in Submerged and Stated-Solid Fermentation. An. Acad. Bras. Ciênc. 2022, 94, e20201438. [Google Scholar] [CrossRef] [PubMed]
- Ramachandregowda, S.; et al. Collagen as the Extracellular Matrix Biomaterials in the Arena of Medical Sciences. Tissue Cell 2024, 90, 102497. [Google Scholar] [CrossRef]
- Khvostov, D.V.; Khryachkova, A.Yu.; Minaev, M.Yu. The Role of Enzymes in the Formation of Meat and Meat Products. Theory Pract. Meat Process. 2024, 9, 40–52. [Google Scholar] [CrossRef]
- Da Silva, O.S.; et al. Purification and Characterization of a Novel Extracellular Serine-Protease with Collagenolytic Activity from Aspergillus tamarii URM4634. Int. J. Biol. Macromol. 2018, 117, 1081–1088. [Google Scholar] [CrossRef] [PubMed]
- Danial, S.; et al. Production and Characterization of Collagenase from Bacillus sp. 6-2 Isolated from Fish Liquid Waste. J. Akta Kim. Indones. (Indones. Chim. Acta) 2019, 58–66.
- Costa, E.P.; et al. Extracellular Collagenase Isolated from Streptomyces antibioticus UFPEDA 3421: Purification and Biochemical Characterization. Prep. Biochem. Biotechnol. 2024, 54, 260–271. [Google Scholar] [CrossRef] [PubMed]
- Bhuimbar, M.V.; et al. Purification, Characterization and Application of Collagenolytic Protease from Bacillus subtilis Strain MPK. J. Biosci. Bioeng. 2024, 138, 21–28. [Google Scholar] [CrossRef] [PubMed]
- De Carvalho Silva, J.; et al. Kinetic and Thermodynamic Characterization of a Novel Aspergillus aculeatus URM4953 Polygalacturonase. Comparison of Free and Calcium Alginate-Immobilized Enzyme. Process Biochem. 2018, 74, 61–70. [Google Scholar] [CrossRef]
- Fernandes, L.M.G.; et al. Purification and Characterization of a Novel Aspergillus heteromorphus URM 0269 Protease Extracted by Aqueous Two-Phase Systems PEG/Citrate. J. Mol. Liq. 2020, 317, 113957. [Google Scholar] [CrossRef]
- Fernandes, L.M.G.; et al. Valorization of Agro-Industrial Residues Using Aspergillus heteromorphus URM0269 for Protease Production: Characterization and Purification. Int. J. Biol. Macromol. 2024, 133199. [Google Scholar] [CrossRef] [PubMed]
- Chisti, Y. Chemical Stabilization of Enzymes. In; Academic Press, 2021; pp. 77–132.
- Perumal, S.; Antipova, O.; Orgel, J.P. Collagen Fibril Architecture, Domain Organization, and Triple-Helical Conformation Govern Its Proteolysis. Proc. Natl. Acad. Sci. USA 2008, 105, 2824–2829. [Google Scholar] [CrossRef] [PubMed]
- Cuoghi, S.; et al. Challenges of Enzyme Therapy: Why Two Players Are Better Than One. Wiley Interdiscip. Rev. Nanomed. Nanobiotechnol. 2024, 16, e1979. [Google Scholar] [CrossRef] [PubMed]




| T (°C) | kd | ∆Hd (kJ/mol) | ∆Gd (kJ/mol) |
∆Sd (J/K.mol) |
t1/2 (h) |
D (h) |
|---|---|---|---|---|---|---|
| 10 | 0.1582 | 29.53 | 92.84 | -223.58 | 4.38 | 14.55 |
| 30 | 0.253 | 29.37 | 98.39 | -227.67 | 2.74 | 9.10 |
| 60 | 1.169 | 29.12 | 104.17 | -225.28 | 0.59 | 1.97 |
Disclaimer/Publisher’s Note: The statements, opinions and data contained in all publications are solely those of the individual author(s) and contributor(s) and not of MDPI and/or the editor(s). MDPI and/or the editor(s) disclaim responsibility for any injury to people or property resulting from any ideas, methods, instructions or products referred to in the content. |
© 2025 by the authors. Licensee MDPI, Basel, Switzerland. This article is an open access article distributed under the terms and conditions of the Creative Commons Attribution (CC BY) license (http://creativecommons.org/licenses/by/4.0/).