Submitted:
05 May 2025
Posted:
06 May 2025
You are already at the latest version
Abstract
Keywords:
1. Introduction
2. Materials and Methods
| Boundary condition | Method | Value |
|---|---|---|
| Engine speed | rpm | 1500 1/min |
| Time steps globally | Angle step | 0.1 °CA |
| Inlet | Pressure | 2.14 bar |
| Exhaust back pressure | Pressure | 1.35 bar |
| Injector inlet | Mass flow | 9 g/s |
| Combustion model | AVL ECFM – 3Z | Spark ignition |
| Stretch factor | 0.425 | |
| Mixing model parameter | 0.5 |
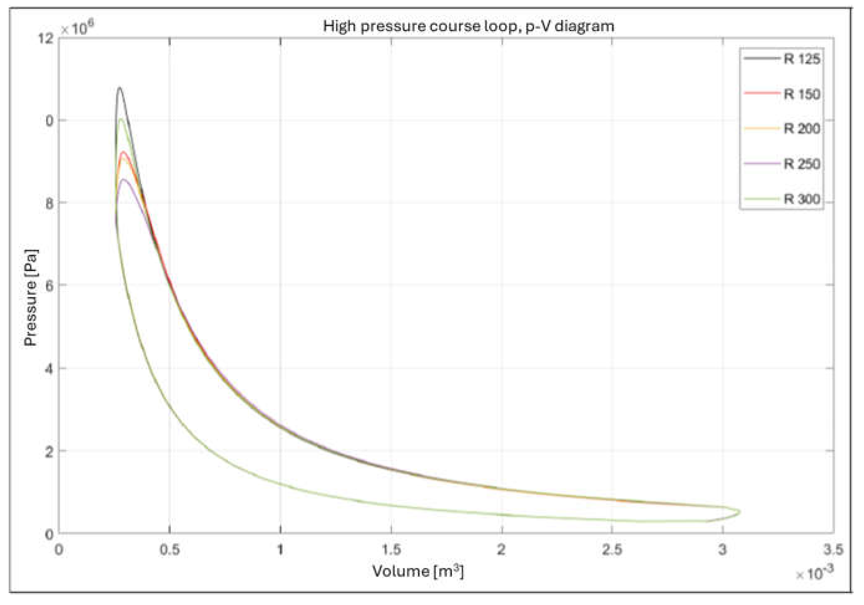
3. Results
3.1. Charge Motion
3.2. Efficiency
3.2.1. Efficiency calculation
3.4. Critical sub-stoichiometry
3.5. Raw Emissions
4. Discussion
5. Conclusions
Abbreviations
| CFD | Computational Fluid Dynamics |
| FSD | Flame Surface Density |
| ICE | Internal Combustion Engine |
| IMEP | Indicated Mean Effective Pressure |
| LES | Large Eddy Simulation |
| NO | Nitric Oxide |
| NOx | Nitrogen Oxides |
| PV | Pressure–Volume |
| RANS | Reynolds-Averaged Navier–Stokes |
| TDC | Top Dead Center |
| WH | Gas Work (thermodynamic work from PV loop) |
| ηH | Combustion Efficiency |
| λ (lambda) | Air–Fuel Ratio |
| φ (phi) | Crank Angle [°CA] |
References
- Burger, Bruno Prof., Dr. Column charts on electricity generation | Energy-Charts. Available online: https://www.energy-charts.info/charts/energy/chart.htm?l=en&c=DE&chartColumnSorting=default&interval=year&year=-1&sum=1&legendItems=4x061ie (accessed on 17 January 2025).
- Klell, M.; Eichlseder, H.; Trattner, A. Wasserstoff in der Fahrzeugtechnik: Erzeugung, Speicherung, Anwendung; 4., aktualisierte und erweiterte Auflage; Springer Vieweg: Wiesbaden, 2018; ISBN 9783658204471. [Google Scholar]
- Merker, G.P. Grundlagen Verbrennungsmotoren: Funktionsweise, Simulation, Messtechnik, 7th ed.; Springer Fachmedien Wiesbaden GmbH: Wiesbaden, 2014; ISBN 9783658031954. [Google Scholar]
- Grundlagen Verbrennungsmotoren: Funktionsweise und alternative Antriebssysteme : Verbrennung, Messtechnik und Simulation; Merker, G.P., Teichmann, R., Eds.; 9., korrigierte Auflage; Springer Fachmedien Wiesbaden: Wiesbaden, 2019; ISBN 9783658235574. [Google Scholar]
- Neubert, V.M. Experimentelle Untersuchung der Brennraumströmung eines Zweiventil-Dieselmotors.
- Reif, K. Dieselmotor-Management: Systeme, Komponenten, Steuerung und Regelung, 6th ed.; Springer Vieweg. in Springer Fachmedien Wiesbaden GmbH: Wiesbaden, 2020; ISBN 9783658250720. [Google Scholar]
- Ottomotor mit Direkteinspritzung und Direkteinblasung: Ottokraftstoffe, Erdgas, Methan, Wasserstoff; van Basshuysen, R., Ed.; 4. Aufl. 2017; Springer Fachmedien Wiesbaden: Wiesbaden, 2017; ISBN 9783658122157. [Google Scholar]
- Flammentemperatur. Available online: https://www.chemie.de/lexikon/Flammentemperatur.html (accessed on 2 February 2025).
- Stickoxide. Available online: https://www.chemie.de/lexikon/Stickoxide.html (accessed on 2 February 2025).
- Michael Schrank; Vivien Langer; Benjamin Jacobsen; Thomas von Unwerth. NOW_Metastudie_Wasserstoff-Verbrennungsmotor.
- Lohninger, H. Stickstoffmonoxid. Available online: http://anorganik.chemie.vias.org/stickstoffmonoxid.html (accessed on 2 February 2025).
- AVL FIRE M; AVL. 2025.
- MAN D3876 für Lkw, Baumaschinen und Landtechnik-Anwendungen | MAN Engines. Available online: https://www.man.eu/engines/de/produkte/off-road/man-d3876-fuer-lkw-baumaschinen-und-landtechnik-anwendungen.html (accessed on 2 February 2025).
- Gürbüz, H.; Akçay, İ.H.; Buran, D. An investigation on effect of in-cylinder swirl flow on performance, combustion and cyclic variations in hydrogen fuelled spark ignition engine. Journal of the Energy Institute 2014, 87, 1–10. [Google Scholar] [CrossRef]
- Xu, L.; Bai, X.-S.; Li, Y.; Treacy, M.; Li, C.; Tunestål, P.; Tunér, M.; Lu, X. Effect of piston bowl geometry and compression ratio on in-cylinder combustion and engine performance in a gasoline direct-injection compression ignition engine under different injection conditions. Applied Energy 2020, 280, 115920. [Google Scholar] [CrossRef]
- Durbin, P.A. Near-wall turbulence closure modeling without “damping functions”. Theoret. Comput. Fluid Dynamics 1991, 3, 1–13. [Google Scholar] [CrossRef]
- Colin, O.; Benkenida, A. The 3-Zones Extended Coherent Flame Model (Ecfm3z) for Computing Premixed/Diffusion Combustion. Oil & Gas Science and Technology - Rev. IFP 2004, 59, 593–609. [Google Scholar] [CrossRef]
- Özbilen, Ş.K.; Kaleli, E.H.; Aydar, E. Numerical investigation of combustion characteristics of extended coherent flame model 3 zones (ECFM-3Z) in diesel engines running with biodiesel. Env Prog and Sustain Energy 2024, 43. [Google Scholar] [CrossRef]
- Sosnowski, M.; Krzywanski, J.; Grabowska, K.; Gnatowska, R. Polyhedral meshing in numerical analysis of conjugate heat transfer. EPJ Web Conf. 2018, 180, 2096. [Google Scholar] [CrossRef]
- Verhelst, S.; Wallner, T. Hydrogen-fueled internal combustion engines. Progress in Energy and Combustion Science 2009, 35, 490–527. [Google Scholar] [CrossRef]
- Schweizer-fn. Wärmeleitfähigkeit von Gasen. Available online: https://www.schweizer-fn.de/stoff/wleit_gase/wleit_gase.php (accessed on 2 February 2025).
- Spezifische_Wärmekapazität. Available online: https://www.chemie.de/lexikon/Spezifische_W%C3%A4rmekapazit%C3%A4t.html (accessed on 2 February 2025).
- Grenzschichtablösung (Strömungsabriss) | tec-science. Available online: https://www.tec-science.com/de/mechanik/gase-und-fluessigkeiten/grenzschichtablosung-stromungsabriss/ (accessed on 2 February 2025).
- Abdichtprobleme und Kolbenringschäden | MS Motorservice Deutschland. Available online: https://www.ms-motorservice.com/de/de/technipedia/abdichtprobleme-und-kolbenringschaeden-898 (accessed on 2 February 2025).
- Insight: Die Herausforderungen beim Wasserstoffverbrennungsmotor (2/3). Motorsport-Total.com [Online], March 10, 2024. Available online: https://www.motorsport-total.com/24-stunden-von-le-mans/news/insight-die-herausforderungen-beim-wasserstoffverbrennungsmotor-23-24031001 (accessed on 2 February 2025).
- gestione. Turbulence models in CFD. Idealsimulations [Online], August 31, 2019. Available online: https://www.idealsimulations.com/resources/turbulence-models-in-cfd/ (accessed on 2 February 2025).












| Piston | Value | |
|---|---|---|
| WH [J] | R 125 | 3267.95 |
| R 150 | 3188.04 | |
| R 200 (ref) | 3163.90 | |
| R 250 | 3161.28 | |
| R 300 | 3223.14 |
| Piston | Value | |
|---|---|---|
| ηH [-] | R 125 | 0.382 |
| R 150 | 0.373 | |
| R 200 (ref) | 0.370 | |
| R 250 | 0.369 | |
| R 300 | 0.377 |
| Piston | |
|---|---|
| R 125 | Low, inlet valve |
| R 150 | - |
| R 200 (ref) | Middle, fire step |
| R 250 | |
| R 300 |
| Piston lens R | Measured | 125 | 150 | 200 (ref) | 250 | 300 | |
|---|---|---|---|---|---|---|---|
| NO | [ppm] | 250 | 1194 | 927 | 548 | 327 | 586 |
| [mg] | - | 7.4 | 5.73 | 3.38 | 2.02 | 3.62 | |
Disclaimer/Publisher’s Note: The statements, opinions and data contained in all publications are solely those of the individual author(s) and contributor(s) and not of MDPI and/or the editor(s). MDPI and/or the editor(s) disclaim responsibility for any injury to people or property resulting from any ideas, methods, instructions or products referred to in the content. |
© 2025 by the authors. Licensee MDPI, Basel, Switzerland. This article is an open access article distributed under the terms and conditions of the Creative Commons Attribution (CC BY) license (http://creativecommons.org/licenses/by/4.0/).