Submitted:
29 April 2025
Posted:
07 May 2025
You are already at the latest version
Abstract
Keywords:
1. Introduction
2. Problem Statement
3. The Constant Excitation Condition
4. AA Synthesis Based on LF
5. FR and AA Structure
6. AIS Properties
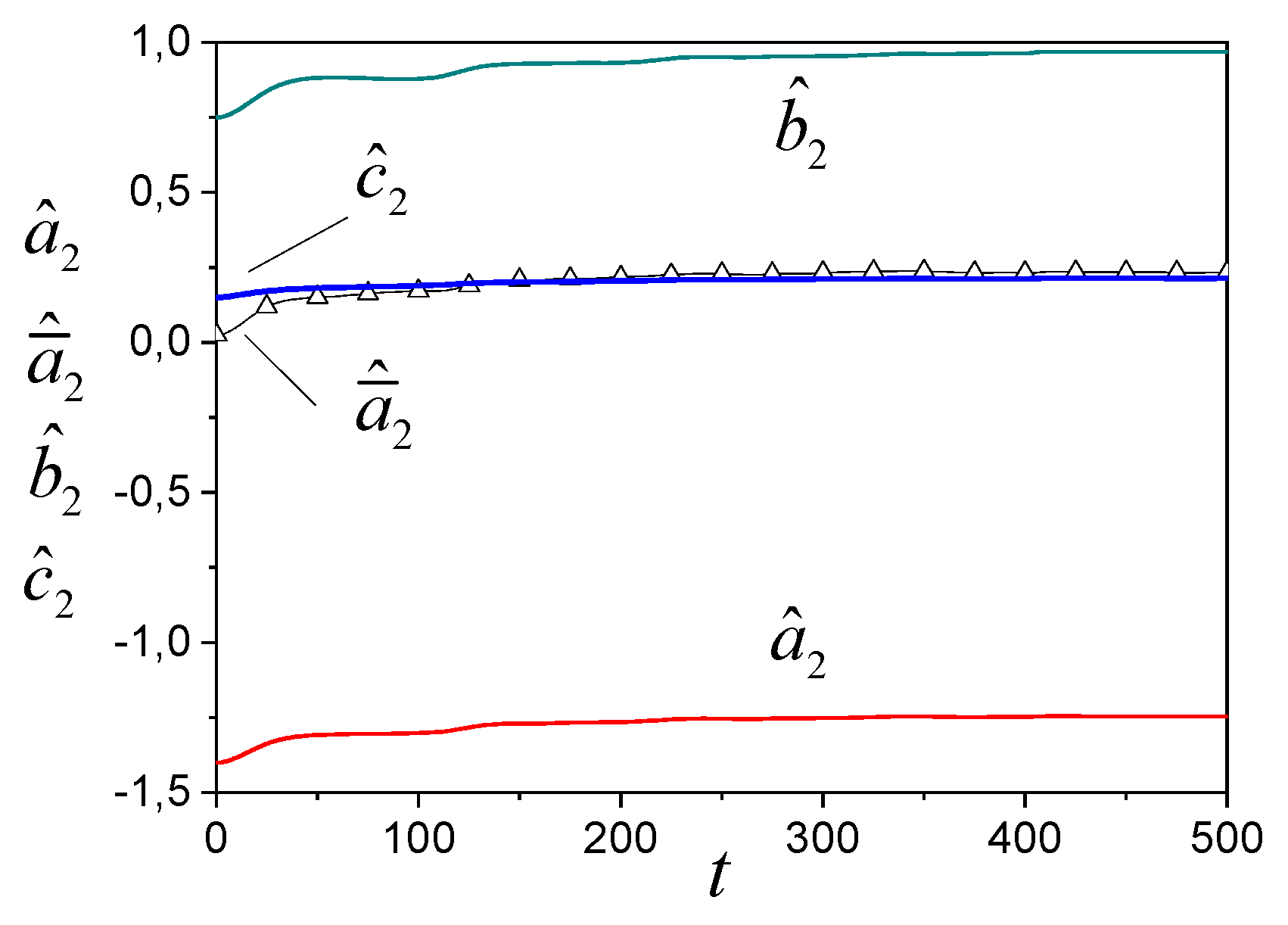
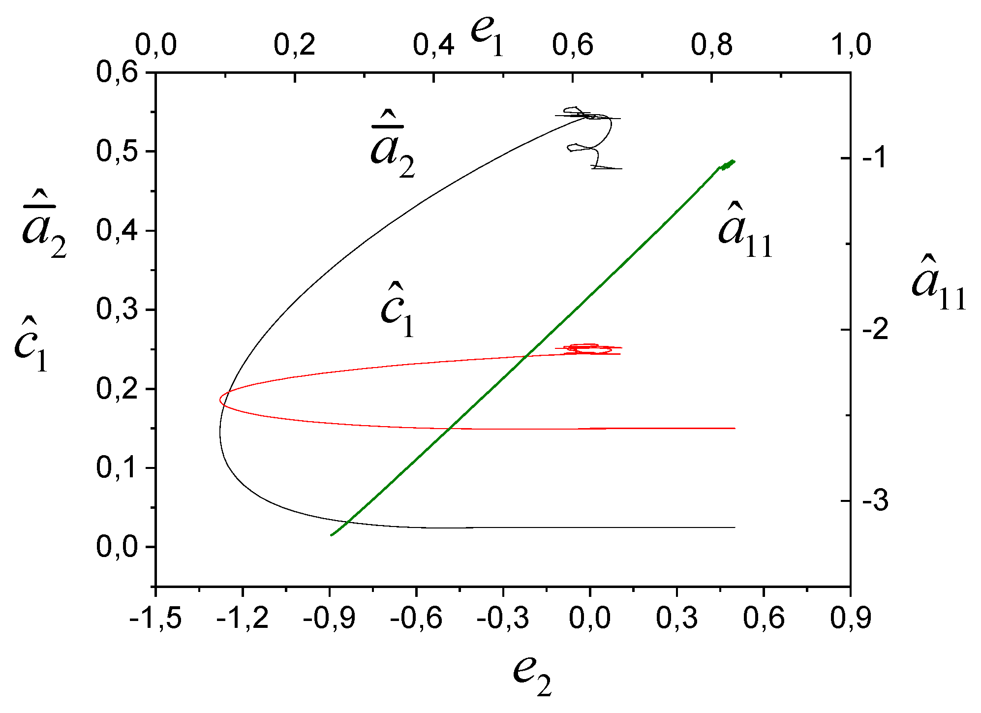
7. Simulation Results







8. Conclusion
Appendix A
Appendix B
Appendix C
Appendix D
References
- Narendra K. S., Annaswamy A. M. Robust adaptive control in the presence of bounded disturbances. IEЕЕ Transactions on automatic control, 1986; 31(4);306-315.
- Nikolić T., Nikolić G., Petrović B. Adaptive controller based on LMS algorithm for grid-connected and islanding inverters. Proceedings of the 8th Small Systems Simulation Symposium 2020, Niš, Serbia, 12th-14th February 2020, 2020;107-110.
- Polston J. D., Hoagg J. B. Decentralized adaptive disturbance rejection for relative-degree-one local subsystems. 2014 American Control Conference (ACC) June 4-6, 2014. Portland, Oregon, USA. 2014; 1316-1321. [CrossRef]
- Lozano R., Brogliato B. Adaptive control of robot manipulators with flexible joints. IEEE Transactions on automatic control, 1992; 37(2);171-181. [CrossRef]
- Landau I.D., Lozano R., M’Saad M., Karimi A. Adaptive control algorithms, analysis and applications. Second edition. Springer: London Dordrecht Heidelberg New York, 2011.
- Duan G. High-order fully actuated system approaches: Part V. Robust adaptive control. International journal of systems science, 2021;52(10); 2129–2143. [CrossRef]
- Landau Y. D. Adaptive Control: The Model reference approach. Dekker, 1979.
- Kaufman H., Barkana I., Sobel K. Direct adaptive control algorithms: theory and applications. Second edition. Springer, 1998.
- Hua C., Ning P., Li K. Adaptive prescribed-time control for a class of uncertain nonlinear systems. IEEE transactions on automatic control, 2022;67(11); 6159-6166.
- Weise C., Kaufmann T., Reger J. Model reference adaptive control with proportional integral adaptation law. 2024 European Control Conference (ECC) June 25-28, 2024. Stockholm, Sweden, 2024; 486-492.
- Ioannou P., Kokotovic P., Instability analysis and improvement of robustness of adaptive control, Automatica, 1984;20(5); 583–594. [CrossRef]
- Narendra K., Annaswamy A. A new adaptive law for robust adaptation without persistent excitation, IEEE Transactions on automatic control, 1987;32(2);134–145. [CrossRef]
- Lavretsky E., Gibson T. E., Annaswamy A. M. Projection operator in adaptive systems. 2012, arXiv:1112.4232. [CrossRef]
- Chen Z., Yang T. Y., Xiao Y., Pan X., Yang W. Model reference adaptive hierarchical control framework for shake table tests. Earthquake Engng Struct Dyn. 2025;5(4);346–362. [CrossRef]
- Brahmi B., Ghommam J., Saad M. Adaptive observer-based backstepping-super twisting control for robust trajectory tracking in robot manipulators. TechRxiv. September 18, 2024. [CrossRef]
- Narendra K. S., Han Z. Adaptive control using collective information obtained from multiple models. Proceedings of the 18th World Congress the International Federation of Automatic Control Milano (Italy) August 28 - September 2, 2011; 362-367.
- Narendra K. S., Tian Z. Adaptive identification and control of linear periodic systems. Proceedings of the 45th IEEE Conference on Decision & Control Manchester Grand Hyatt Hotel San Diego, CA, USA, December 13-15, 2006; 465-470.
- Krsfić M., Kanellakopoulos I., Kokotović P. Nonlinear and adaptive control design. John Wiley & Sons, Inc, 1995.
- Hovakimyan N., Cao C. L1 adaptive control theory: guaranteed robustness with fast adaptation. SIAM, 2010.
- Karabutov N. Identification of decentralized control systems. Preprints.org (www.preprints.org), 2024. [CrossRef]
- Podval’ny S.L., Vasil’ev E.M. Multi-level signal adaptation in non-stationary control systems. Voronezh state technical university bulletin, 2022;18(5);38-47.
- Karabutov N. N. Structural Identifiability evaluation of system with nonsymmetric nonlinearities. Mekhatronika, Avtomatizatsiya, Upravlenie, 2024;25(2);55-64. [CrossRef]
Disclaimer/Publisher’s Note: The statements, opinions and data contained in all publications are solely those of the individual author(s) and contributor(s) and not of MDPI and/or the editor(s). MDPI and/or the editor(s) disclaim responsibility for any injury to people or property resulting from any ideas, methods, instructions or products referred to in the content. |
© 2025 by the authors. Licensee MDPI, Basel, Switzerland. This article is an open access article distributed under the terms and conditions of the Creative Commons Attribution (CC BY) license (http://creativecommons.org/licenses/by/4.0/).