Submitted:
22 June 2025
Posted:
23 June 2025
You are already at the latest version
Abstract
Keywords:
1. Introduction
2. Problem Statement
3. Approach to PI Estimation
4. On ELPI
5. About m-Parametric Identifiability
6. Lyapunov Exponents in PI Problem
6.1. Stationary System of Class
6.2. PS for Class
7. About LPI for Decentralized Systems
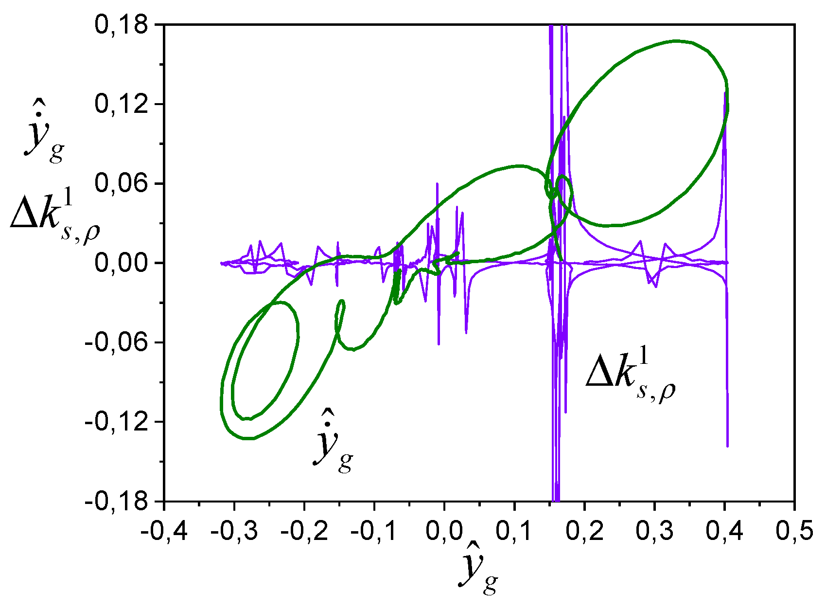
8. Examples
9. Conclusion
Appendix A
Appendix B
Appendix C
Appendix D
Appendix E
Appendix F
Appendix G
Appendix H
Appendix I
Appendix J
References
- Villaverde A. F. Observability and structural identifiability of nonlinear biological systems. arXiv:1812.04525v1 [q-bio.QM] 11 Dec 2018, 2022. [CrossRef]
- Renardy M., Kirschner D., and Eisenberg M. Structural identifiability analysis of age-structured PDE epidemic models. Journal of Mathematical Biology, 2022, 84(1-2); 2022. [CrossRef]
- Weerts, H. H. M., Dankers, A. G., &, Van den Hof, P. M. J. Identifiability in dynamic network identification. IFAC-PapersOnLine, 2015, 48(28), pp. 1409-1414. [CrossRef]
- Wieland F.-G., Hauber A. L., Rosenblatt M., Tönsing C. and Timmer J. On structural and practical identifiability. Current opinion in systems biology, 2021, 2, pp. 60–69. [CrossRef]
- Miao H., Xia X., Perelson A. S., and Wu H. On identifiability of nonlinear ode models and applications in viral dynamics. SIAM Rev Soc Ind Appl Math, 2011; 53(1), pp. 3–39. [CrossRef]
- Bellman R, Åström K: On structural identifiability. Math Biosci. 1970, 7, pp. 329–339. [CrossRef]
- Anstett-Collina F., Denis-Vidalc L., Millérioux G. A priori identifiability: An overview on definitions and approaches. Annual reviews in control, 2021, 50, pp.139-149. [CrossRef]
- Hong H., Ovchinnikov A., Pogudin G., Yap C. Global identifiability of differential models. Communications on Pure and Applied Mathematics, 2020, 73 (9). 18311879. [CrossRef]
- Denis-Vidal L., Joly-Blanchard G., Noiret C., System identifiability (symbolic computation) and parameter estimation (numerical computation). Numerical Algorithms, 2003, 34(2-4), pp. 283–292. [CrossRef]
- Boubaker O., Fourati A., Structural identifiability of nonlinear systems: an overview. In: Proc. of the IEEE International Conference on Industrial Technology, ICIT’04, December 8-10, 2004, pp. 1244–1248. [CrossRef]
- S. Audoly, G. Bellu, L. D’Angi `o, M. P. Saccomani, and C. Cobelli. Global identifiability of nonlinear models of biological systems. IEEE Trans. Biomed. Eng., 2001, 48(1), pp. 55–65. [CrossRef]
- Chis O.-T., Banga J. R., and Balsa-Canto E. GenSSI: a software toolbox for structural identifiability analysis of biological models. Bioinformatics, 2011, 27(18), pp. 2610–2611. [CrossRef]
- Denis-Vidal L., Joly-Blanchard G., and Noiret C. Some effective approaches to check the identifiability of uncontrolled nonlinear systems. Math. Comput. Simul, 2001, 57(1), pp. 35–44. [CrossRef]
- X. Xia and C. H. Moog. Identifiability of nonlinear systems with application to HIV/AIDS models. IEEE Trans. Autom. Control, 2003, 48(2), pp. 330–336. [CrossRef]
- Stigter J. D. and Molenaar J. A fast algorithm to assess local structural identifiability. Automatica, 2015, 58, pp. 118–124. [CrossRef]
- Villaverde A. F. Observability and structural identifiability of nonlinear biological systems. Complexity, 2019, Article ID 8497093. [CrossRef]
- Hengl S., Kreutz C., Timmer J. and Maiwald T. Data-based identifiability analysis of non-linear dynamical models. Bioinformatics, 2007, 23(19), pp. 2612–2618. [CrossRef]
- Murphy S.A, van der Vaart AW: On profile likelihood. Journal of the American Statistical Association, 2000, 95, pp. 449-465. [CrossRef]
- Raue A, Kreutz C, Theis F.J., Timmer J. Joining forces of Bayesian and frequentist methodology: a study for inference in the presence of non-identifiability. Phil Trans R Soc A, 2013, 371:20110544. [CrossRef]
- Neale MC, Miller MB: The use of likelihood-based confidence intervals in genetic models. Behav Genet, 1997, 27, pp. 113–120. [CrossRef]
- Cedersund G: Prediction uncertainty estimation despite unidentifiability: an overview of recent developments. In Uncertainty in biology, 2016, pp. 449–466. [CrossRef]
- Karabutov N. Identification of decentralized control systems. Preprints ID 143582. Preprints202412.1808.v1. [CrossRef]
- Karabutov N. Adaptive observers for linear time-varying dynamic objects with uncertainty estimation. International journal of intelligent systems and applications, 2017, 9(6), pp. 1-15. [CrossRef]
- Karabutov N.N. Identifiability and Detectability of Lyapunov Exponents for Linear Dynamical Systems. Mekhatronika, Avtomatizatsiya, Upravlenie, 2022, 23(7), pp. 339-350. [CrossRef]
- Karabutov N. Identifiability and detectability of Lyapunov exponents in robotics. In Design and control advances in robotics, Ed. Mohamed Arezki Mellal, IGI Global Scientific Publishing, 2022, 10(11), pp. 152-174. [CrossRef]
- Bohr G. Almost periodic functions. Moscow: Librocom, 2009.
- Karabutov N. Adaptive identification of decentralized systems. In Advances in mathematics research. Volume 37. Ed. A. R. Baswell. New York: Nova Science Publishers, Inc. 2025. 79-115.
- Karabutov N.N., Shmyrin A.M. Application of adaptive observers for system identification with Bouc-Wen hysteresis. Bulletin of the Voronezh State Technical University, 2019, 15(6), pp. 7-13.
- Barbashin E. A. Lyapunov functions. Moscow: Nauka Publ., 1970.
- Gantmakher F. R. Theory of matrices. Moscow, Nquka, 2010.





Disclaimer/Publisher’s Note: The statements, opinions and data contained in all publications are solely those of the individual author(s) and contributor(s) and not of MDPI and/or the editor(s). MDPI and/or the editor(s) disclaim responsibility for any injury to people or property resulting from any ideas, methods, instructions or products referred to in the content. |
© 2025 by the authors. Licensee MDPI, Basel, Switzerland. This article is an open access article distributed under the terms and conditions of the Creative Commons Attribution (CC BY) license (http://creativecommons.org/licenses/by/4.0/).