Submitted:
01 July 2024
Posted:
02 July 2024
You are already at the latest version
Abstract
Keywords:
1. Introduction
2. Literature Review
3. Methods of AIS Algorithm for Industrial Controllers
- High probability of mutation and a large proportion of permutations (pm = 0.7, d = 0.5, β = 0.5): this can lead to significant changes in the population in each generation. This contributes to a broad exploration of the solution space and allows for a more comprehensive search for an optimal solution, but it may take more time to converge on a single optimal solution. This approach is suitable for complex problems with many local optima.
- Low probability of mutation and a small proportion of permutations (pm = 0.2, d = 0.2, β = 0.5): the population changes minimally, resulting in fast convergence on a solution. However, the algorithm may get stuck in one of the local optima, limiting its ability to explore other domains of the solution space. This approach might be preferable for problems with well-defined solution spaces or for simpler problems.
- High cloning multiplier (pm = 0.5, d = 0.3, β = 0.8): this setting causes the algorithm to create many copies of the best solutions. This allows for a thorough exploration of the vicinity of these solutions, which can enhance the accuracy of the optimization process. However, this approach also increases computational costs. This strategy is suitable for applications that require high precision and accuracy.
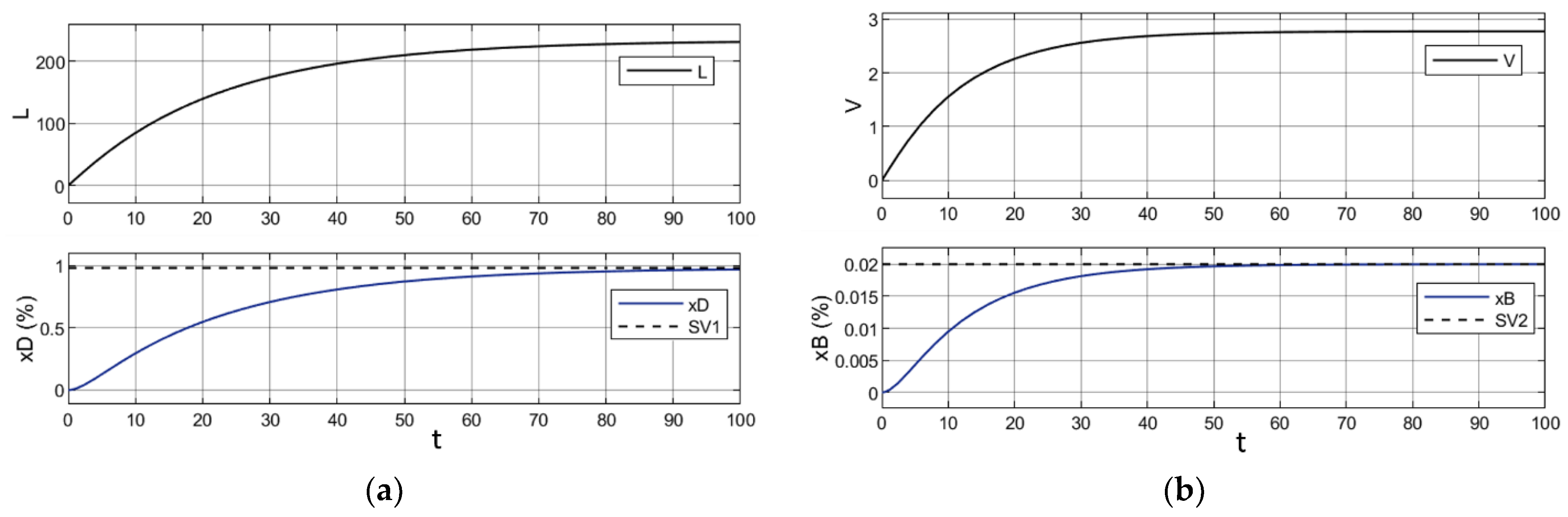
4. Optimal Design of Controllers for Distillation Column
- The settling time for processes using an I-P controller is significantly shorter compared to those using a PID controller;
- The overshoot observed in processes with an I-P controller is lower compared to processes with a PID controller;
- The rise time for the primary circuit’s process using an I-P controller is faster than that with a PID controller.
5. Discussion
6. Conclusions
Author Contributions
Funding
Data Availability Statement
Conflicts of Interest
References
- Cokmez, E.; Kaya, I. Optimal design of I-PD controller for disturbance rejection of time delayed unstable and integrating-unstable processes. Int. J. Syst. Sci. 2024, 55, 2314215. [Google Scholar] [CrossRef]
- Raja, G.L.; Ali, A. New PI-PD controller design strategy for industrial unstable and integrating processes with dead time and inverse response. J. Control Autom. Electr. Syst. 2021, 32, 266–280. [Google Scholar] [CrossRef]
- Roslan, M.N.; Bingi, K.; Devan, P.A.M.; Ibrahim, R. Design and Development of Complex-Order PI-PD Controllers: Case Studies on Pressure and Flow Process Control. Appl. Syst. Innov. 2024, 7, 33. [Google Scholar] [CrossRef]
- Lee, J.H.; Davari, H.; Singh, J.; Pandhare, V. Industrial Artificial Intelligence for industry 4.0-based manufacturing systems. Manuf. Lett. 2018, 18, 20–23. [Google Scholar] [CrossRef]
- Arinez, J.F.; Chang, Q.; Gao, R.X.; Xu, C.; Zhang, J. Artificial Intelligence in Advanced Manufacturing: Current Status and Future Outlook. J. Manuf. Sci. Eng. 2020, 142, 110804. [Google Scholar] [CrossRef]
- Koroteev, D.; Tekic, Z. Artificial intelligence in oil and gas upstream: Trends, challenges, and scenarios for the future. Energy AI 2021, 3, 10. [Google Scholar] [CrossRef]
- Li, H.; Yu, H.; Cao, N.; Tian, H.; Cheng, S. Applications of artificial intelligence in oil and gas development. Arch. Comput. Methods Eng. 2021, 28, 937–949. [Google Scholar] [CrossRef]
- Abdelhamid, K.; Touat, A.B.; Kenioua, L. Artificial intelligence in Upstream Oil and Gas Industry: A Review of Applications, Challenges and Perspectives. In Proceedings of the International Conference on AIAP: Artificial Intelligence and its Applications, El-Oued, Algeria, 24–26 January 2021; Lecture Notes in Networks and Systems; Springer: Cham, Switzerland, 2021; Volume 413, pp. 262–271. [Google Scholar]
- Xing, B.; Gao, W. Innovative computational intelligence: A rough guide to 134 clever algorithms. In Intelligent Systems Reference Library; Springer: Berlin/Heidelberg, Germany, 2014, 62, 469. [Google Scholar]
- Kouba, N.; Menaa, M.; Hasni, M.; Boudour, M. A novel optimal combined fuzzy PID controller employing dragonfly algorithm for solving automatic generation control problem. Electr. Power Compon. Syst. 2018, 46, 2054–2070. [Google Scholar] [CrossRef]
- Amar, M.N.; Zeraibi, N.; Redouane, K. Optimization of WAG process using dynamic proxy, genetic algorithm and ant colony optimization. Arab. J. Sci. Eng. 2018, 43, 6399–6412. [Google Scholar] [CrossRef]
- Wang, J.; Song, N.; Jiang, E.; Xu, D.; Deng, W.; Mao, L. The Application of the Particle Swarm Algorithm to Optimize PID Controller in the Automatic Voltage Regulation System. In ICSEE/LSMS; Springer: Singapore, 2017; Volume 763, pp. 529–536. [Google Scholar]
- Sethi, R.; Panda, S.; Sahoo, B.P. Cuckoo search algorithm based optimal tuning of PID structured TCSC controller. In Computational Intelligence in Data Mining; Springer: Berlin/Heidelberg, Germany, 2015; Volume 1, pp. 251–263. [Google Scholar]
- Kumar, D.; Meenakshipriya, B.; Ram, S.S. Design of PSO based I-PD Controller and PID Controller for a Spherical Tank System. Indian J. Sci. Technol. 2016, 9, 1–5. [Google Scholar]
- Puangdownreong, D.; Nawikavatav, A. Thammarat. Optimal Design of I-PD Controller for DC Motor Speed Control System by Cuckoo Search. Procedia Comput. Sci. 2016, 86, 83–86. [Google Scholar] [CrossRef]
- Jain, T.; Nigam, M. Optimization of PD-PI Controller using Swarm Intelligence. Int. J. Comput. Cogn. 2008, 6, 55–59. [Google Scholar]
- Sahraoui, M.; Salem, M. Application of artificial immune algorithm-based optimization in tuning a PID controller for nonlinear systems. Int. J. Autom. Control 2015, 9, 186–200. [Google Scholar]
- Saleh, M.; Saad, S. Artificial Immune System based PID Tuning for DC Servo Speed Control. Int. J. Comput. Appl. 2016, 155, 23–26. [Google Scholar]
- Castro, L.; Zuben, F. The Clonal Selection Algorithm with Engineering Applications. Workshop Proc. GECCO’00, 2000; 36–37. [Google Scholar]
- Castro, L.; Zuben, F. Learning and Optimization Using the Clonal Selection Principle. IEEE Trans. Evol. Comput. 2002, 6, 239–251. [Google Scholar] [CrossRef]
- Padmanabhan, S.; Chandrasekaran, M.; Ganesan, S.; Khan, M.; and Navakant, P. Optimal Solution for an Engineering Applications Using Modified Artificial Immune System. Mater. Sci. Eng. 2017, 183, 012025. [Google Scholar] [CrossRef]
- Wang, M.; Feng, S.; He, C.; Li, Z.; Xue, Y. An Artificial Immune System Algorithm with Social Learning and Its Application in Industrial PID Controller Design. Math. Probl. Eng. 2017, 2017, 13. [Google Scholar] [CrossRef]
- Makhbouche, A.; Boudjehem, B.; Birs, I.R.; Muresan, C.I. Fractional-Order PID Controller Based on Immune Feedback Mechanism for Time-Delay Systems. Fractal Fract. 2023, 7, 53. [Google Scholar] [CrossRef]
- Tumari, M.Z.M.; Ahmad, M.A.; Rashid, M.I.M. A fractional order PID tuning tool for automatic voltage regulator using marine predators algorithm. Energy Rep. 2023, 9, 416–421. [Google Scholar] [CrossRef]
- Suid, M.H.; Ahmad, M.A. Optimal tuning of sigmoid PID controller using Nonlinear Sine Cosine Algorithm for the Automatic Voltage Regulator system. ISA Trans. 2022, 128B, 265–286. [Google Scholar] [CrossRef] [PubMed]
- Ghazali, M.R.; Ahmad, M.A.; Raja, M.T. Adaptive Safe Experimentation Dynamics for Data-Driven Neuroendocrine-PID Control of MIMO Systems. IETE J. Res. 2022, 68, 1611–1624. [Google Scholar] [CrossRef]
- Saeed, M.U.; Sun, Z.; Elias, S. Semi-active vibration control of building structure by Self Tuned Brain Emotional Learning Based Intelligent Controller. J. Build. Eng. 2022, 46, 103664. [Google Scholar] [CrossRef]
- Yakout, A.H.; Sabry, W.; Abdelaziz, A.Y.; Hasanien, H.M.; AboRas, K.M.; Kotb, H. Enhancement of frequency stability of power systems integrated with wind energy using marine predator algorithm based PIDA controlled STATCOM. Alex. Eng. J. 2022, 61, 5851–5867. [Google Scholar] [CrossRef]
- Huba, M. Filtered PIDA Controller for the Double Integrator Plus Dead Time. IFAC-PapersOnLine 2019, 52, 106–113. [Google Scholar] [CrossRef]
- Ferrari, M.; Visioli, A. A software tool to understand the design of PIDA controllers. IFAC-PapersOnLine 2022, 55, 249–254. [Google Scholar] [CrossRef]
- Allwright, D.J. A note on Routh-Hurwitz determinants and integral square errors. Int. J. Control 1980, 31, 807–810. [Google Scholar] [CrossRef]
- Minh, V.T.; Rani, A.A. Modeling and Control of Distillation Column in a Petroleum Process; Mathematical Problems in Engineering; Hindawi Publishing Corporation: Perak, Malaysia, 2009; Volume 2009, p. 14. [Google Scholar]
- Wood, R.K.; Berry, M.W. Terminal composition control of a binary distillation column. Chem. Eng. Sci. 1973, 28, 1707–1717. [Google Scholar] [CrossRef]
- Morari, Z.; Zafiriou, E. Robust Process Control; Publisher: Prentice-Hall, Inc.: Englewood Cliffs, NJ, USA, 1989; 488p. [Google Scholar]
- Luyben, W.L. Simple Method for tuning SISO controllers in multivariable systems, Ind. Eng. Chem. Process Des. Dev. 1986, 25, 654–660. [Google Scholar] [CrossRef]
- Samigulin, T.I.; Shiryayeva, O.I. Development of a SMART-system for a complex industrial object control based on metaheuristic algorithms of swarm intelligence. WSEAS Trans. Power Syst. 2021, 16, 231–240. [Google Scholar] [CrossRef]
- Shiryayeva, O.I.; Samigulin, T.I. Application of Clonal Selection Algorithm for PID controller synthesis of MIMO systems in oil and gas industry. Inform. Autom. Pomiary Gospod. Ochr. Sr. 2019, 9, 50–53. [Google Scholar] [CrossRef]







| AIS | Control System | Definition |
| N | Population size vs. size of controller parameters set | |
| ) | (KP, TI, TD) | Antibody population vs. set of controller parameters |
| Ag | ISE | Antigens vs. ISE |
| Symbol | Value |
| N | 100 |
| KP([0.1; 1]; 1/TI ([0.1; 10] | |
| gen | 50 |
| (pm, d, β) | (0.5, 0.3, 0.8) |
| Controllers | KP1 | 1/TI1 | KP2 | 1/TI2 |
| I-P controller (AIS) | 0.5314 | 9.9961 | 0.0463 | 9.9928 |
| PI controller (AIS) | 25.34 | 20.48 | 20.16 | 20.24 |
| PI controller (AIS-GA) | 19.54 | 48.12 | 22.73 | 23.86 |
| Controllers |
ISE1 First Control Loop |
ISE2 Second Control Loop |
| I-P controller (AIS) | 1.865 | 1.56 |
| PI controller (AIS) | 2.435 | 1.94 |
| PI controller (AIS-GA) | 3.02 | 2.335 |
| Controllers | Settling Time (TSET) | Overshoot (POV, %) | Rise Time (TR) |
| First control loop | |||
| PI (AIS-GA) | 9.53 | 0.261 | 6.18 |
| PI (AIS) | 12.9 | 0.508 | 8.37 |
| PI (GA) | 13.8 | 3.25 | 5.41 |
| I-P (AIS) | 7.01 | 0 | 3.85 |
| Second control loop | |||
| PI (AIS-GA) | 6.25 | 0.342 | 3.99 |
| PI (AIS) | 18.7 | 0 | 11.1 |
| PI (GA) | 11 | 8.46 | 3.53 |
| I-P (AIS) | 3.02 | 0 | 1.74 |
Disclaimer/Publisher’s Note: The statements, opinions and data contained in all publications are solely those of the individual author(s) and contributor(s) and not of MDPI and/or the editor(s). MDPI and/or the editor(s) disclaim responsibility for any injury to people or property resulting from any ideas, methods, instructions or products referred to in the content. |
© 2024 by the authors. Licensee MDPI, Basel, Switzerland. This article is an open access article distributed under the terms and conditions of the Creative Commons Attribution (CC BY) license (http://creativecommons.org/licenses/by/4.0/).