Submitted:
13 April 2025
Posted:
15 April 2025
You are already at the latest version
Abstract
Keywords:
1. Introduction
- Develop a database of energy, emissions, and materials inventory for alternative fuels produced via various pathways.
- Assess sensitivities of hydrogen sourcing to SPK production and biomass sourcing for hydrogen pathways.
- Evaluate aircraft operational-phase emissions, including non-CO2 effects.
- Estimate future energy demand and supply (2050) for 100% SPK (or SAF) and LH2 in long-haul aviation.
2. Methodology
2.1. Well to Pump Emissions
2.1.1. Liquid Hydrogen
2.1.2. 100%. Synthetic Paraffin Kerosene
2.1.1.1. Preliminary Shortlisting of Feedstocks and Pathways
2.1.2.2. Manufacturing Emissions Sensitivity to Identified Parameters
2.2. Pump to Wake Emissions
2.2.1. Oxides of Nitrogen
2.2.2. Carbon Dioxide, Water Vapour, Sulphur Dioxide, Other Emissions, and Contrails
2.3. Global Warming Potential
2.4. Other Unintended Environmental and Social Impacts
2.5. Future Worldwide Energy Demand and Supply of Sustainable Aviation Fuel and Green Hydrogen
3. Results and Discussion
3.1.1. Well to Wake Emissions for Liquid Hydrogen
3.1.2. Well to Wake Emissions for 100% Synthetic Paraffin Kerosene
3.1.2.1. Preliminary Shortlisting of 100% Synthetic Paraffin Kerosene Feedstocks and Pathways
3.1.2.2. Manufacturing Emissions Sensitivity to Identified Parameters
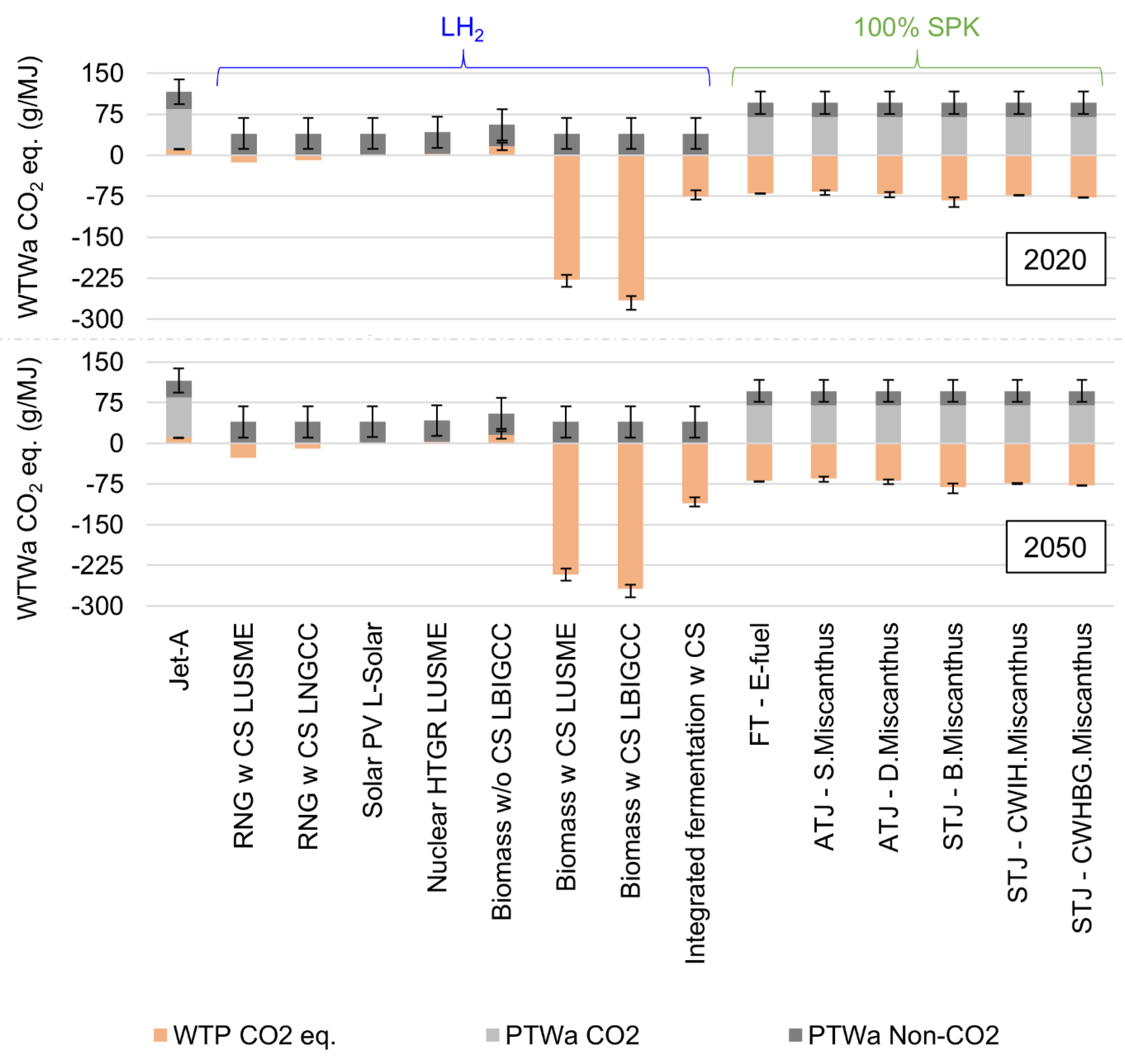
3.1.3. Comparative Well to Wake Analysis with Non-CO2 Emissions
3.1.4. Future Energy Demand for Long-Haul Aviation and Supply of SAF and Green Hydrogen
3.1.5. Limitations of the Present Work
4. Conclusions
Nomenclature
| ATAG | Air Transport Action Group | LNGCC | Liquification using power from natural gas combined cycle |
| ATJ | Alcohol-to-jet | LTA | large twin aisle |
| B. | Biological plant type | LUSME | Liquefication using US mix electricity |
| BC | Black carbon | L-Nuclear | Liquefication using electricity from nuclear energy |
| BWB | Blended wing body | L-Solar | Liquefication using electricity from solar energy |
| By-product Cl plant | H2 produced as a by-product of chlorine manufacturing plant | Flight Mach number | |
| CAGR | Compound annual growth rate | MK | McKinsey |
| CDM | Corn with dry mill | MW | Molecular weight |
| CDMWE | Corn dry mill with extraction | NAFG | North American flared gas |
| CDMWOE | Corn dry mill without extraction | NANG | North American natural gas |
| CH4 | Methane | NGCC | Natural gas combined cycle |
| CO | Carbon monoxide | NGL | Natural gas liquid |
| CO2 | Carbon dioxide | NOx | Oxides of nitrogen |
| COG | Coke oven gas | N2O | Nitrous oxide |
| CORSIA | Carbon offsetting and reduction scheme for international aviation | N+2 | 2030+ timeframe |
| CS | Carbon sequestration | OC | Organic carbon |
| CUSM | Corn US mix | PM | Particulate matter |
| CWEH | Catalytic with external H2 plant type | PtL | Power-to-liquid |
| CWHBG | Catalytic with H2 from biomass gasification plant type | , | parts per million of oxides of nitrogen |
| CWIH | Catalytic with in-situ H2 plant type | PTWa | Pump-to-wake |
| CWM | Corn wet mill | PV | Photovoltaics |
| D. | Distributed | RNG | Renewable natural gas |
| FFB | Fresh fruit bunch | SAF | Sustainable aviation fuel |
| FT | Fischer–Tropsch | SC | Steam cracking |
| GHG | Greenhouse gas | SI | Supplementary information |
| GREET | Greenhouse Gases, Regulated Emissions, and Energy Use in Technologies | SLS | Sea level static |
| GWP | Global warming potential | SMR | Steam methane reformation |
| HEFA | Hydro-processed esters and fatty acids | SOEC | Solid oxide electrolysis cell |
| HRJ | Hydro-processed renewable jet fuel | SOx | Oxides of sulphur |
| HTE | High temperature electrolysis | SO2 | Sulphur Dioxide |
| HTGR | High temperature gas reactor | SPK | Synthetic paraffinic kerosene |
| IATA | International Air Transport Association | STJ | Sugar-to-jet fuel |
| IF | Integrated fermentation | S. | Standalone |
| LBIGCC | Liquefied using electricity from biomass integrated gasification combined cycle | TCCW | Thermochemical cracking of water |
| LCIGCC | Liquification using electricity from coal integrated gasification combined cycle | VOC | Volatile organic compound |
| LDI | Lean direct injection | w CS | With carbon sequestration |
| LH2 | Liquid hydrogen | WTP | Well-to-pump |
| WTWa | Well-to-wake |
| w/o CS | Without carbon sequestration |
| , and | Correlation constants for emission index based on hydrogen data |
| Correlation constant for emission index based on Jet-A fuel | |
| EI | Emission index |
| or FAR | Fuel air ratio |
| Flight altitude (in feet) | |
| Humidity correction factor | |
| Ambient pressure (in Pa) | |
| Total pressure (in Pa) | |
| Combustor inlet pressure (in MPa) | |
| Ambient temperature (in K) | |
| Total temperature (in K) | |
| Combustor inlet temperature (in K) | |
| WF,block | Block fuel weight |
| Pressure correction factor | |
| Specific heat ratio (1.4 for air) | |
| Fuel injector air flow pressure drop ratio | |
| Φ | Equivalence ratio |
| Hydrogen equivalence ratio | |
| Combustor residence time | |
| Temperature correction factor |
References
- D. S. Lee, “The current state of scientific understanding of the non-CO2 effects of aviation on climate,” Manchester Metropolitan University, 2018. https://assets.publishing.service.gov.uk/government/uploads/system/uploads/attachment_data/file/813342/non-CO2-effects-report.pdf (accessed Jan. 02, 2020).
- D. S. Lee et al., “The contribution of global aviation to anthropogenic climate forcing for 2000 to 2018,” Atmos. Environ., vol. 244, p. 117834, Jan. 2021. [CrossRef]
- D. S. Lee, M. R. Allen, N. Cumpsty, B. Owen, K. P. Shine, and A. Skowron, “Uncertainties in mitigating aviation non-CO 2 emissions for climate and air quality using hydrocarbon fuels,” Environ. Sci. Atmos., vol. 3, no. 12, pp. 1693–1740, Dec. 2023. [CrossRef]
- Boeing, “COMMERCIAL MARKET OUTLOOK 2024–2043,” 2024. https://www.boeing.com/commercial/market/commercial-market-outlook#overview (accessed Oct. 02, 2024).
- J. Hupe, “Setting the Scene-Aviation and Climate Change,” ICAO_Aviation_Green_Recovery_Seminar, 2020. https://www.icao.int/Meetings/GreenRecoverySeminar/Documents/1.1 ICAO AGR - Setting the scene.pdf (accessed Jun. 05, 2021).
- S. S. Jagtap, P. R. N. Childs, and M. E. J. Stettler, “Energy performance evaluation of alternative energy vectors for subsonic long-range tube-wing aircraft,” Transp. Res. Part D Transp. Environ., vol. 115, p. 103588, Feb. 2023. [CrossRef]
- M. V Chester and A. Horvath, “Environmental assessment of passenger transportation should include infrastructure and supply chains,” Environ. Res. Lett., vol. 4, no. 2, p. 024008, Apr. 2009. [CrossRef]
- ANL, “GREET 2021,” Argonne National Laboratory, 2021. https://greet.es.anl.gov/.
- World Economic Forum, “Target True Zero Unlocking Sustainable Battery and Hydrogen-Powered Flight - Insight Report,” 2022. Accessed: Aug. 05, 2022. [Online]. Available: https://www3.weforum.org/docs/WEF_Target_True_Zero_Aviation_ROUND_2022.pdf.
- S. S. Jagtap, “Sustainability assessment of hydro-processed renewable jet fuel from algae from market-entry year 2020: Use in passenger aircrafts,” in 16th AIAA Aviation Technology, Integration, and Operations Conference, Jun. 2016. [CrossRef]
- S. S. Jagtap, “Assessment of feedstocks for blended alcohol-to-jet fuel manufacturing from standalone and distributed scheme for sustainable aviation,” in AIAA Propulsion and Energy 2019 Forum, 2019. [CrossRef]
- S. S. Jagtap, “Comparative assessment of manufacturing setups for blended sugar-to-aviation fuel production from non-food feedstocks for green aviation,” in AIAA Propulsion and Energy 2019 Forum, 2019. [CrossRef]
- S. S. Jagtap, “Evaluation of blended Fischer-Tropsch jet fuel feedstocks for minimizing human and environmental health impacts of aviation,” in AIAA Propulsion and Energy 2019 Forum, 2019. [CrossRef]
- S. S. Jagtap, P. R. N. Childs, and M. E. J. Stettler, “Performance sensitivity of subsonic liquid hydrogen long-range tube-wing aircraft to technology developments,” Int. J. Hydrogen Energy, vol. 50, pp. 820–833, Jan. 2024. [CrossRef]
- S. S. Jagtap, P. R. N. Childs, and M. E. J. Stettler, “Conceptual design-optimisation of a future hydrogen-powered ultrahigh bypass ratio geared turbofan engine,” Int. J. Hydrogen Energy, vol. 95, pp. 317–328, Dec. 2024. [CrossRef]
- S. S. Jagtap, P. R. N. Childs, and M. E. J. Stettler, “Conceptual design-optimisation of a subsonic hydrogen-powered long-range blended-wing-body aircraft,” Int. J. Hydrogen Energy, vol. 96, pp. 639–651, Dec. 2024. [CrossRef]
- P. Proesmans and R. Vos, “Comparison of future aviation fuels to minimize the climate impact of commercial aircraft,” AIAA Aviat. 2022 Forum, 2022. [CrossRef]
- P. Proesmans and R. Vos, “Hydrogen, medium-range airplane design optimization for minimal global warming impact,” CEAS Aeronaut. J., pp. 1–26, May 2024. [CrossRef]
- S. Pinheiro Melo et al., “Sustainability Assessment and Engineering of Emerging Aircraft Technologies—Challenges, Methods and Tools,” Sustainability, vol. 12, no. 14, p. 5663, Jul. 2020. [CrossRef]
- D. Keiser, L. H. Schnoor, B. Pupkes, and M. Freitag, “Life cycle assessment in aviation: A systematic literature review of applications, methodological approaches and challenges,” J. Air Transp. Manag., vol. 110, p. 102418, Jul. 2023. [CrossRef]
- P. Su-ungkavatin, L. Tiruta-Barna, and L. Hamelin, “Methodological framework for Life Cycle Assessment of sustainable aviation (SA) systems,” Sci. Total Environ., vol. 885, p. 163881, Aug. 2023. [CrossRef]
- B. W. Kolosz, Y. Luo, B. Xu, M. M. Maroto-Valer, and J. M. Andresen, “Life cycle environmental analysis of ‘drop in’ alternative aviation fuels: a review,” Sustain. Energy Fuels, vol. 4, no. 7, pp. 3229–3263, Jun. 2020. [CrossRef]
- F. Afonso et al., “Strategies towards a more sustainable aviation: A systematic review,” Prog. Aerosp. Sci., vol. 137, p. 100878, Feb. 2023. [CrossRef]
- S. De Jong et al., “Life-cycle analysis of greenhouse gas emissions from renewable jet fuel production,” Biotechnol. Biofuels, vol. 10, no. 1, pp. 1–18, Mar. 2017. [CrossRef]
- M. Braun, W. Grimme, and K. Oesingmann, “Pathway to net zero: Reviewing sustainable aviation fuels, environmental impacts and pricing,” J. Air Transp. Manag., vol. 117, p. 102580, May 2024. [CrossRef]
- S. S. Jagtap, “Non-food feedstocks comparison for renewable aviation fuel production towards environmentally and socially responsible aviation,” in 2019 AIAA Propulsion & Energy Forum, 2019.
- S. Delbecq, T. Planès, A. Salgas, F. Pollet, and V. Budinger, “Climate and energy impact analysis of electric, hybrid-electric and hydrogen aircraft in prospective scenarios for air transport,” 2024. https://hal.science/hal-04659593 (accessed Aug. 04, 2024).
- P. Schmidt, V. Batteiger, A. Roth, W. Weindorf, and T. Raksha, “Power-to-Liquids as Renewable Fuel Option for Aviation: A Review,” Chemie Ing. Tech., vol. 90, no. 1–2, pp. 127–140, Jan. 2018. [CrossRef]
- Y. Bicer and I. Dincer, “Life cycle evaluation of hydrogen and other potential fuels for aircrafts,” Int. J. Hydrogen Energy, vol. 42, no. 16, pp. 10722–10738, Apr. 2017. [CrossRef]
- J. Mukhopadhaya and D. Rutherford, “Performance analysis of evolutionary hydrogen-powered aircraft,” International Council on Clean Transportation, 2022. https://theicct.org/publication/aviation-global-evo-hydrogen-aircraft-jan22/ (accessed Jun. 04, 2022).
- J. I. C. Lau et al., “Emerging technologies, policies and challenges toward implementing sustainable aviation fuel (SAF),” Biomass and Bioenergy, vol. 186, p. 107277, Jul. 2024. [CrossRef]
- P. J. Ansell, “Review of sustainable energy carriers for aviation: Benefits, challenges, and future viability,” Prog. Aerosp. Sci., vol. 141, p. 100919, Aug. 2023. [CrossRef]
- Z. Song, Z. Li, and Z. Liu, “Comparison of Emission Properties of Sustainable Aviation Fuels and Conventional Aviation Fuels: A Review,” Appl. Sci. 2024, Vol. 14, Page 5484, vol. 14, no. 13, p. 5484, Jun. 2024. [CrossRef]
- P. Su-ungkavatin, L. Tiruta-Barna, and L. Hamelin, “Biofuels, electrofuels, electric or hydrogen?: A review of current and emerging sustainable aviation systems,” Prog. Energy Combust. Sci., vol. 96, p. 101073, May 2023. [CrossRef]
- E. Cabrera and J. M. M. de Sousa, “Use of Sustainable Fuels in Aviation—A Review,” Energies 2022, Vol. 15, Page 2440, vol. 15, no. 7, p. 2440, Mar. 2022. [CrossRef]
- H. Wei, W. Liu, X. Chen, Q. Yang, J. Li, and H. Chen, “Renewable bio-jet fuel production for aviation: A review,” Fuel, vol. 254. Elsevier Ltd, p. 115599, Oct. 15, 2019. [CrossRef]
- N. Pavlenko, S. Searle, and A. Christensen, “The cost of supporting alternative jet fuels in the European Union,” International Council on Clean Transportation. https://theicct.org/sites/default/files/publications/Alternative_jet_fuels_cost_EU_20190320.pdf (accessed Jul. 13, 2019).
- INTERNATIONAL CIVIL AVIATION ORGANIZATION, “CORSIA Default Life Cycle Emissions Values for CORSIA Eligible Fuels,” INTERNATIONAL CIVIL AVIATION ORGANIZATION, Mar. 2021. https://www.icao.int/environmental-protection/CORSIA/Documents/ICAO document 06 - Default Life Cycle Emissions - March 2021.pdf (accessed May 31, 2022).
- M. Prussi et al., “CORSIA: The first internationally adopted approach to calculate life-cycle GHG emissions for aviation fuels,” Renew. Sustain. Energy Rev., vol. 150, p. 111398, Oct. 2021. [CrossRef]
- Elisabeth van der Sman, Bram Peerlings, Johan Kos, Rogier Lieshout, and Thijs Boonekamp, “Destination 2050 – A route to net zero European Aviation - SEO Economisch Onderzoek,” NLR – Royal Netherlands Aerospace Centre, 2021. https://www.seo.nl/en/publications/destination-2050-a-route-to-net-zero-european-aviation/ (accessed May 31, 2022).
- D. M. Saad, T. Terlouw, R. Sacchi, and C. Bauer, “Life Cycle Economic and Environmental Assessment of Producing Synthetic Jet Fuel Using CO2/Biomass Feedstocks,” Environ. Sci. Technol., vol. 58, no. 21, pp. 9158–9174, May 2024. [CrossRef]
- R. G. Grim et al., “Electrifying the production of sustainable aviation fuel: the risks, economics, and environmental benefits of emerging pathways including CO2,” Energy Environ. Sci., vol. 15, no. 11, pp. 4798–4812, Nov. 2022. [CrossRef]
- R. Sacchi et al., “How to make climate-neutral aviation fly,” Nat. Commun. 2023 141, vol. 14, no. 1, pp. 1–17, Jul. 2023. [CrossRef]
- M. Micheli, D. Moore, V. Bach, and M. Finkbeiner, “Life-Cycle Assessment of Power-to-Liquid Kerosene Produced from Renewable Electricity and CO2 from Direct Air Capture in Germany,” Sustain., vol. 14, no. 17, p. 10658, Sep. 2022. [CrossRef]
- V. Papantoni et al., “Life Cycle Assessment of Power-to-Liquid for Aviation: A Case Study of a Passenger Aircraft,” in 10th International Conference on Life Cycle Management, LCM 2021, 2022. [CrossRef]
- J. Klenner, M. T. Lund, H. Muri, and A. H. Strømman, “Combining Fleetwide AviTeam Aviation Emission Modeling with LCA Perspectives for an Alternative Fuel Impact Assessment,” Environ. Sci. Technol., vol. 58, no. 21, pp. 9135–9146, May 2024. [CrossRef]
- Vanlandingham, “Environmental and Economic Impact of Transport Aircraft Using Sustainable Aviation Fuel or Liquid-Hydrogen as Alternative Fuels,” Penn State, 2024. Accessed: Jul. 03, 2024. [Online]. Available: https://etda.libraries.psu.edu/catalog/32384avv5448.
- VanLandingham and D. K. Hall, “Conceptual Design Optimization of Liquid-Hydrogen-Fueled Transport Aircraft for Environmental and Economic Performance,” Jun. 2023. [CrossRef]
- P. Prashanth et al., “Near-zero environmental impact aircraft,” Sustain. Energy Fuels, 2024. [CrossRef]
- Fantuzzi, N. M. Paola A. Saenz Cavazos, M. High, M. Bui, and I. von H. A. William Rutherford, “Low-carbon fuels for aviation,” Briefing Paper No 9, Institute for Molecular Science and Engineering, 2023. https://core.ac.uk/download/pdf/554493568.pdf (accessed Aug. 01, 2024).
- L. Dray et al., “Cost and emissions pathways towards net-zero climate impacts in aviation,” Nat. Clim. Chang. 2022 1210, vol. 12, no. 10, pp. 956–962, Sep. 2022. [CrossRef]
- G. Quante, N. Bullerdiek, S. Bube, U. Neuling, and M. Kaltschmitt, “Renewable fuel options for aviation – A System-Wide comparison of Drop-In and non Drop-In fuel options,” Fuel, vol. 333, p. 126269, Feb. 2023. [CrossRef]
- Penke, C. Falter, and V. Batteiger, “Pathways and Environmental Assessment for the Introduction of Renewable Hydrogen into the Aviation Sector,” Sustain. Prod. Life Cycle Eng. Manag., pp. 41–52, 2021. [CrossRef]
- K. Kossarev, A. E. Scholz, P. Egerer, and M. Hornung, “Comparison of Environmental Life Cycle Impact Assessment Methods for Future Aircraft Designs,” AIAA Aviat. 2022 Forum, 2022. [CrossRef]
- K. Kossarev, A. E. Scholz, and M. Hornung, “Comparative environmental life cycle assessment and operating cost analysis of long-range hydrogen and biofuel fueled transport aircraft,” CEAS Aeronaut. J., vol. 14, no. 1, pp. 3–28, Jan. 2023. [CrossRef]
- K. Mazur, M. Saleh, and M. Hornung, “Integrating Life Cycle Assessment in Conceptual Aircraft Design: A Comparative Tool Analysis,” Aerosp. 2024, Vol. 11, Page 101, vol. 11, no. 1, p. 101, Jan. 2024. [CrossRef]
- S. Tveitan, “Life cycle assessment of hydrogen fuel in aviation,” University of Bergen, 2020. Accessed: Aug. 04, 2024. [Online]. Available: https://bora.uib.no/bora-xmlui/bitstream/handle/1956/23149/Stine-Tveitan_Life-cycle-assessment-of-hydrogen-fuel-in-aviation_2020-06-15.pdf?sequence=1&isAllowed=y.
- J. L. Chan, Y. Sun, and H. Smith, “Conceptual Designs of Blended Wing Body Aircraft for the Application of Alternative Fuels,” in AIAA AVIATION FORUM AND ASCEND 2024, 2024. [CrossRef]
- Siddiqui and I. Dincer, “A comparative life cycle assessment of clean aviation fuels,” Energy, vol. 234, p. 121126, Nov. 2021. [CrossRef]
- S. V. Ratner, C. Yuri, and N. H. Hien, “Prospects of Transition of Air Transportation to Clean Fuels: Economic and Environmental Management Aspects,” Int. Energy J., vol. 19, no. 3, 2019, Accessed: May 30, 2022. [Online]. Available: http://www.rericjournal.ait.ac.th/index.php/reric/article/view/2084.
- Koroneos, A. Dompros, G. Roumbas, and N. Moussiopoulos, “Advantages of the use of hydrogen fuel as compared to kerosene,” Resour. Conserv. Recycl., vol. 44, no. 2, pp. 99–113, May 2005. [CrossRef]
- K. Alsamri, J. J. De la Cruz, M. Emmanouilidi, J. L. Huynh, and J. Brouwer, “Methodology to Assess Emissions and Performance Trade-Offs for a Retrofitted Solid Oxide Fuel Cell Hybrid and Hydrogen Powered Aircraft,” Jan. 2023. [CrossRef]
- K. Alsamri, J. D. la Cruz, M. Emmanouilidi, J. Huynh, and J. Brouwer, “Methodology for Assessing Retrofitted Hydrogen Combustion and Fuel Cell Aircraft Environmental Impacts,” , pp. 1–16, Apr. 2024. [CrossRef]
- T. Miller, “Environmental Assessments of Capital-Intensive Product Systems,” Yale Grad. Sch. Arts Sci. Diss., Apr. 2021, Accessed: Jun. 03, 2022. [Online]. Available: https://elischolar.library.yale.edu/gsas_dissertations/240.
- T. R. Miller, M. Chertow, and E. Hertwich, “Liquid Hydrogen: A Mirage or Potent Solution for Aviation’s Climate Woes?,” Environ. Sci. Technol., vol. 57, no. 26, pp. 9627–9638, Jul. 2023. [CrossRef]
- S. Job, M. Campbell, B. Hall, Z. Hamadache, and N. Kumar, “SUSTAINABILITY REPORT - The Lifecycle Impact of Hydrogen-Powered Aircraft,” 2022. Accessed: Jun. 05, 2022. [Online]. Available: https://www.ati.org.uk/wp-content/uploads/2022/03/FZO-STY-REP-0005-FlyZero-Sustainability-Report.pdf.
- Nikita Pavlenko and Stephanie Searle, “Assessing the sustainability implications of alternative aviation fuels,” International Council on Clean Transportation, 2021. https://theicct.org/publication/assessing-the-sustainability-implications-of-alternative-aviation-fuels/ (accessed Jun. 09, 2022).
- IATA, “IATA - Fly Net Zero,” 2024. https://www.iata.org/en/programs/sustainability/flynetzero/ (accessed Oct. 02, 2024).
- ANL, “GREET,” 2024. https://greet.anl.gov/index.php.
- ANL, “GREET 2021 Excel model,” 2021. https://greet.anl.gov/files/greet-2021rev1.
- ANL, “Argonne GREET Publications,” Argonne National Laboratory. https://greet.es.anl.gov/publications (accessed Jun. 08, 2022).
- Energy Information Administration, “Electricity,” Energy Information Administration, USA, 2021. https://www.eia.gov/outlooks/aeo/pdf/04 AEO2021 Electricity.pdf (accessed Jun. 08, 2022).
- L. Chen et al., “Towards precision aviation emission modeling: A hybrid paradigm of convolutional neural networks and semi-empirical formulas for full flight phase gas pollutant indices,” Sci. Total Environ., vol. 957, p. 177414, Dec. 2024. [CrossRef]
- F. Ge et al., “Predicting aviation non-volatile particulate matter emissions at cruise via convolutional neural network,” Sci. Total Environ., vol. 850, p. 158089, Dec. 2022. [CrossRef]
- L. Chen et al., “A convolutional neural network prediction model for aviation nitrogen oxides emissions throughout all flight phases,” Sci. Total Environ., vol. 929, p. 172432, Jun. 2024. [CrossRef]
- Y. Zhao et al., “Evaluating high-resolution aviation emissions using real-time flight data,” Sci. Total Environ., vol. 951, p. 175429, Nov. 2024. [CrossRef]
- Marek, T. Smith, and K. Kundu, “Low Emission Hydrogen Combustors for Gas Turbines Using Lean Direct Injection,” in 41st AIAA/ASME/SAE/ASEE Joint Propulsion Conference & Exhibit, Jul. 2005. [CrossRef]
- M. Schaefer and S. Bartosch, “Overview on fuel flow correlation methods for the calculation of NOx, CO and HC emissions and their implementation into aircraft performance software,” DLR, 2013. https://www.researchgate.net/publication/271210746_Overview_on_fuel_flow_correlation_methods_for_the_calculation_of_NOx_CO_and_HC_emissions_and_their_implementation_into_aircraft_performance_software (accessed Jun. 14, 2022).
- Boeing, “777 Flight Crew Training Manual Qatar Airways,” 2007. http://virtavia.online/wp-content/uploads/wpforo/attachments/1/975-B777-FCTM.pdf (accessed Jun. 16, 2022).
- “AIRBUS A350-900 - SKYbrary Aviation Safety.” https://www.skybrary.aero/index.php/A359 (accessed Jan. 21, 2021).
- “What do you know about take-off speed? V1, Vr, and V2.” https://www.aviationnepal.com/what-do-you-know-about-take-off-speed-v1-vr-and-v2/ (accessed Jun. 16, 2022).
- “Airbus A350-800 - Price, Specs, Photo Gallery, History - Aero Corner.” https://aerocorner.com/aircraft/airbus-a350-xwb/ (accessed Jun. 16, 2022).
- Svensson, “Potential of reducng the environmental impact of civil subsonic aviation by using liquid hydrogen,” Cranfield University, 2005. Accessed: Jun. 17, 2022. [Online]. Available: https://dspace.lib.cranfield.ac.uk/handle/1826/10726.
- International Air Transport Association, “Industry Statistics Fact Sheet 2024,” International Air Transport Association, 2024. https://www.iata.org/en/iata-repository/pressroom/fact-sheets/industry-statistics/ (accessed Oct. 02, 2024).
- “Boeing Cascade Climate Impact Model.” https://app.cascade.boeing.com/ (accessed Aug. 04, 2024).
- B. Graver, D. Rutherford, and S. Zheng, “CO2 emissions from commercial aviation: 2013, 2018, and 2019 - International Council on Clean Transportation,” ICCT, 2020. https://theicct.org/publication/co2-emissions-from-commercial-aviation-2013-2018-and-2019/ (accessed Nov. 28, 2024).
- R. Teoh, Z. Engberg, M. Shapiro, L. Dray, and M. E. J. Stettler, “The high-resolution Global Aviation emissions Inventory based on ADS-B (GAIA) for 2019-2021,” Atmos. Chem. Phys., vol. 24, no. 1, pp. 725–744, Jan. 2024. [CrossRef]
- “Boeing SAF Dashboard - Boeing Cascade Climate Impact Model.” https://cascade.boeing.com/perspectives/boeing-saf-dashboard/ (accessed Nov. 28, 2024).
- “Waypoint 2050 2nd edition: September 2021 (full report and summary) | ATAG.” https://atag.org/resources/waypoint-2050-2nd-edition-september-2021 (accessed Nov. 28, 2024).
- “Hydrogen production projects interactive map – Data Tools - IEA.” https://www.iea.org/data-and-statistics/data-tools/hydrogen-production-projects-interactive-map (accessed Nov. 28, 2024).
- “Global Energy Perspective 2023: Hydrogen outlook | McKinsey.” https://www.mckinsey.com/industries/oil-and-gas/our-insights/global-energy-perspective-2023-hydrogen-outlook (accessed Nov. 28, 2024).
- Svensson, “Potential of reducng the environmental impact of civil subsonic aviation by using liquid hydrogen,” Cranfield University, 2005. Accessed: Jun. 17, 2021. [Online]. Available: http://dspace.lib.cranfield.ac.uk/handle/1826/10726.
- R. Teoh, U. Schumann, A. Majumdar, and M. E. J. Stettler, “Mitigating the Climate Forcing of Aircraft Contrails by Small-Scale Diversions and Technology Adoption,” Environ. Sci. Technol., vol. 54, no. 5, pp. 2941–2950, Mar. 2020. [CrossRef]
- S. S. Jagtap, M. E. J. Stettler, and P. R. N. Childs, “Data in brief: Energy performance evaluation of alternative energy vectors for subsonic intercontinental tube-wing aircraft”.
- S. Jagtap, A. Strehlow, M. Reitz, S. Kestler, and G. Cinar, “Model-Based Systems Engineering Approach for a Systematic Design of Aircraft Engine Inlet,” in AIAA SCITECH 2025 Forum, 2025. [CrossRef]
- B. Emerson, S. Jagtap, J. M. Quinlan, M. W. Renfro, B. M. Cetegen, and T. Lieuwen, “Spatio-temporal linear stability analysis of stratified planar wakes: Velocity and density asymmetry effects,” Phys. Fluids, vol. 28, no. 4, p. 045101, Apr. 2016. [CrossRef]
- S. S. Jagtap, “A heat recovery system designed for shaft-powered aircraft gas turbine engines,” 2016.
- B. L. Emerson, S. Jagtap, and T. C. Lieuwen, “Stability Analysis of Reacting Wakes: Flow and Density Asymmetry Effects,” in 53rd AIAA Aerospace Sciences Meeting, Jan. 2015. [CrossRef]
- S. S. Jagtap, “Systems evaluation of subsonic hybrid-electric propulsion concepts for NASA N+3 goals and conceptual aircraft sizing,” Int. J. Automot. Mech. Eng., vol. 16, no. 4, pp. 7259–7286, 2019. [CrossRef]
- S. S. Jagtap, “A heat recovery system for shaft-driven aircraft gas turbine engines,” Oct. 29, 2014.
- S. S. Jagtap, “Evaluation of technology and energy vector combinations for decarbonising future subsonic long-range aircraft,” Imperial College London.
- S. S. Jagtap, M. E. J. Stettler, and P. R. N. Childs, “Data in brief: Performance sensitivity of subsonic liquid hydrogen long-range tube-wing aircraft to technology developments”.
- S. S. Jagtap, M. E. J. Stettler, and P. R. N. Childs, “Data in brief: Conceptual design-optimisation of futuristic hydrogen powered ultrahigh bypass ratio geared turbofan engine”.
- S. S. Jagtap, M. E. J. Stettler, and P. R. N. Childs, “Data in brief: Conceptual design-optimisation of a subsonic hydrogen-powered long-range blended-wing-body aircraft”.
- S. S. Jagtap, “Aero-thermodynamic analysis of space shuttle vehicle at re-entry,” IEEE Aerosp. Conf. Proc., vol. 2015-June, Jun. 2015. [CrossRef]
- S. Jagtap and S. Bhandari, “Solar Refrigeration,” Sardar Patel Int. Conf., 2012, [Online]. Available: https://papers.ssrn.com/sol3/papers.cfm?abstract_id=2103115.
- S. Jagtap and S. Bhandari, “Solar Refrigeration using Triple Fluid Vapor Absorption Refrigeration and Organic Rankine Cycle,” in Sardar Patel International Conference SPICON 2012 Mechanical, 2012.
- N. Komerath, S. Jagtap, and N. Hiremath, “Aerothermoelastic Tailoring for Waveriders,” in US Air Force Summer Faculty Fellowship Program, 2014.
- S. S. Jagtap, “Exploration of sustainable aviation technologies and alternative fuels for future inter-continental passenger aircraft.”.
- S. S. Jagtap, “Identification of sustainable technology and energy vector combinations for future inter-continental passenger aircraft.”.
- S. S. Jagtap, “Heat recuperation system for the family of shaft powered aircraft gas turbine engines,” US10358976B2, 2019 [Online]. Available: https://patents.google.com/patent/US10358976B2/en.
- S. S. Jagtap, “Heat recovery system for shaft powered aircraft gas turbine engines”.
- S. S. Jagtap and S. Bhandari, “Systems design and experimental study of a solar parabolic trough for solar refrigeration”.
- S. S. Jagtap, “Conceptual aircraft sizing using systems engineering for N+3 subsonic hybrid-electric propulsion concepts”.
- S. S. Jagtap, P. R. N. Childs, and M. E. J. Stettler, “Data in brief: Comparing alternative fuels for a futuristic subsonic long-range aircraft on a life cycle basis,” 2025.
- S. S. Jagtap, P. R. N. Childs, and M. E. J. Stettler, “Comparing alternative fuels for a futuristic subsonic long-range aircraft on a life cycle basis,” 2025.
- S. S. Jagtap, P. R. N. Childs, and M. E. J. Stettler, “Comparative life cycle evaluation of alternative fuels for a futuristic subsonic long-range aircraft,” Sustain. Prod. Consum., 2025.
- S. S. Jagtap, “An Apparatus for Exchanging Heat with Flow in an Annulus,” J. Eng. Sci. Technol. Rev., vol. 10, no. 1, pp. 173–176, 2017, Accessed: Jan. 11, 2019. [Online]. Available: http://www.jestr.org/downloads/Volume10Issue1/fulltext241012017.pdf.










| Type of LH2 | Pathways/Feedstock | Carbon sequestration (CS) | Liquefication type | |
| Grey | Coal | Without (w/o) CS | Liquefied using US mix electricity (LUSME) | |
| Liquification using electricity from coal integrated gasification combined cycle (LCIGCC) | ||||
| With (w) CS | LUSME | |||
| LCIGCC | ||||
| Coke oven gas (COG) | - | LUSME | ||
| LCIGCC | ||||
| Blue | North American Natural Gas (NANG) | w/o CS | LUSME | |
| Liquefication using power from natural gas combined cycle (LNGCC) | ||||
| w CS | LUSME | |||
| LNGCC | ||||
| H2 as a by-product of natural gas liquid (NGL) steam cracking (SC) | - | LUSME | ||
| Green | Renewable natural gas (RNG) | w/o CS | LUSME | |
| LNGCC | ||||
| w CS | LUSME | |||
| LNGCC | ||||
| Solar photovoltaics (PV) | - | LUSME | ||
| - | Liquefication using electricity from solar energy (L-Solar) | |||
| Nuclear thermochemical cracking of water (TCCW) | - | Liquefication using electricity from nuclear energy (L-Nuclear) | ||
| Nuclear high temperature gas reactor (HTGR) | - | LUSME | ||
| L-Nuclear | ||||
| Biomass | Willow | w/o CS | LUSME | |
| Poplar | ||||
| Switchgrass | ||||
| Corn stover | ||||
| Forest residue | ||||
| Miscanthus | ||||
| Biomass | Willow | Liquification using electricity from biomass integrated gasification combined cycle (LBIGCC) | ||
| Poplar | ||||
| Switchgrass | ||||
| Corn stover | ||||
| Forest residue | ||||
| Miscanthus | ||||
| Biomass | Willow | w CS | LUSME | |
| Poplar | ||||
| Switchgrass | ||||
| Corn stover | ||||
| Forest residue | ||||
| Miscanthus | ||||
| Biomass | Willow | LBIGCC | ||
| Poplar | ||||
| Switchgrass | ||||
| Corn stover | ||||
| Forest residue | ||||
| Miscanthus | ||||
| Integrated fermentation (IF) (Biomass) | Willow | w/o CS | LUSME | |
| Poplar | ||||
| Switchgrass | ||||
| Corn stover | ||||
| Forest residue | ||||
| Miscanthus | ||||
| Willow | w CS | |||
| Poplar | ||||
| Switchgrass | ||||
| Corn stover | ||||
| Forest residue | ||||
| Miscanthus | ||||
| High temperature electrolysis with solid oxide electrolysis cell (HTE SOEC) using electricity from Nuclear HTGR for electrolysis | - | LUSME | ||
| HTE SOEC using electricity from natural gas combined cycle (NGCC) for electrolysis | ||||
| H2 produced as a by-product of chlorine manufacturing plant (By-product Cl plant) | ||||
| 2020 USA energy mix [8] | 2050 USA energy mix [72] | |||||||
| Source | % | Others source | % | Source | % | Others source | % | |
| Residual oil | 0.4 | Hydroelectric | 38.1 | Residual oil | 0.0% | Hydroelectric | 13.0% | |
| Natural gas | 39.6 | Geothermal | 2.1 | Natural gas | 36.0% | Geothermal | 2.0% | |
| Coal | 20.0 | Wind | 45.9 | Coal | 11.0% | Wind | 34.0% | |
| Nuclear power | 20.4 | Solar PV | 11.4 | Nuclear power | 11.0% | Solar PV | 47.0% | |
| Biomass | 0.3 | Miscellaneous | 2.5 | Biomass | 0.0% | Miscellaneous | 4.0% | |
| Others | 19.4 | Others | 42.0% | |||||
| ATJ schemes and feedstocks (18 cases) | STJ schemes and feedstocks (24 cases) | ||
| Feedstocks in standalone (S.) scheme | Feedstocks in distributed (D.) scheme | STJ manufacturing schemes | Feedstocks for each of the four STJ manufacturing schemes |
| Corn with dry mill (CDM) | Corn US mix (CUSM) | Biological plant type (B.) | Poplar |
| Poplar | Corn dry mill without extraction (CDMWOE) | Catalytic with external H2 plant type (CWEH.) | Forest residue |
| Forest residue | Corn dry mill with extraction (CDMWE) | Catalytic with in-situ H2 plant type (CWIH.) | Miscanthus |
| Miscanthus | Corn wet mill (CWM) | Catalytic with H2 from biomass gasification plant type (CWHBG.) | Switchgrass |
| Switchgrass | Poplar | Willow | |
| Willow | Forest residue | Corn stover | |
| Corn stover | Miscanthus | ||
| Switchgrass | |||
| Willow | |||
| Corn stover | |||
| Solid waste | |||
| FT feedstocks (8 main cases) | HEFA feedstocks (8 cases) |
| North American (NA) natural gas (NANG), | Food-crops |
| Non-NA natural gas (non-NANG) | Soybean |
| Non-NA flared gas (non-NAFG) | Palm FFB (fresh fruit bunch) |
| Biomass* | Canola |
| Coal | Corn oil |
| Coal (50%) + biomass* (50%) (share by mass) | Non-food feedstocks |
| Natural gas (50%) + biomass* (50%) (share by mass) | Algae |
| Electro-fuel (or PtL) | Camelina |
| *Poplar, forest residue, miscanthus, switchgrass, willow, corn stover | Jatropha |
| Carinata |
| Manufacturing route | % reduction relative to Jet-A | |
| 2020 | 2050 | |
| LH2 | ||
| RNG w CS LUSME | 41.5 – 101.7 | 55.7 – 111.3 |
| RNG w CS LNGCC | 36.3– 98.2 | 38.0 – 99.3 |
| Solar PV L-Solar | 26.8 – 91.8 | 26.8 – 91.8 |
| Nuclear HTGR LUSME | 24.1 – 90.0 | 24.6 – 90.3 |
| Biomass w/o CS LBIGCC | 2.8 – 85.6 | 3.6 – 86.1 |
| Biomass w CS LUSME | 260.8 – 266.1 | 274.1 – 275.6 |
| Biomass w CS LBIGCC | 296.2 – 302.6 | 297.4 – 306.2 |
| Integrated fermentation w CS | 96.2 – 150.7 | 133.6 – 176.6 |
| 100% SPK | ||
| FT - E-fuel | 49.2 – 95.4 | 49.3 – 95.4 |
| ATJ - S.Miscanthus | 43.1 – 97.7 | 40.5 – 96.0 |
| ATJ - D.Miscanthus | 46.9 – 100.3 | 45.7 – 99.6 |
| STJ - B.Miscanthus | 56.4 – 113.3 | 54.1 – 111.8 |
| STJ - CWIH.Miscanthus | 52.1 – 92.1 | 53.4 – 99.0 |
| STJ - CWHBG.Miscanthus | 56.7 – 100.9 | 57.0 – 101.1 |
Disclaimer/Publisher’s Note: The statements, opinions and data contained in all publications are solely those of the individual author(s) and contributor(s) and not of MDPI and/or the editor(s). MDPI and/or the editor(s) disclaim responsibility for any injury to people or property resulting from any ideas, methods, instructions or products referred to in the content. |
© 2025 by the authors. Licensee MDPI, Basel, Switzerland. This article is an open access article distributed under the terms and conditions of the Creative Commons Attribution (CC BY) license (http://creativecommons.org/licenses/by/4.0/).