Submitted:
08 April 2025
Posted:
08 April 2025
You are already at the latest version
Abstract
Keywords:
MSC: 65M60; 68T07
1. Introduction
- 1.
- Enhanced PROM-ANN Architecture: We modify the PROM-ANN framework to improve its learning capabilities, particularly in cases with fast singular value decay.
- 2.
- Residual-Based Loss Function: We introduce a flexible, residual-based loss function that allows users to utilize their already-existing FEM infrastructure to perform physics-informed training of neural networks. We also specify an efficient implementation strategy for it.
- 3.
- Exploration of the effects of physics-informed manifold on projection-based ROM: We explore the impact of training the decoder using a residual-based loss function, both in terms of pure data reconstruction and of online ROM simulation. We obtain encouraging results, particularly for the latter one.
2. Background
2.1. Physics-Informed Neural Networks
2.2. Projection-Based Reduced Order Models
2.2.1. The Full Order Model (FOM)
2.3. Manifold Projection-Based ROMs
2.4. Neural Network-Augmented Projection-Based ROM (PROM-ANN)
2.4.1. Construction of the Nonlinear Approximation Manifold
2.4.2. Training the Neural Network
3. Discrete PINN-like Loss
3.1. Parameter-Agnostic Loss
3.2. In-Training Integration of FEM Software
- 1.
- First, take into account that is typically a high-dimensional and highly sparse matrix. So, moving it directly from one software to another could be costly, especially if it cannot be treated as a sparse structure in all computations. FEM software is typically designed to cope with these kinds of matrices and to perform sparse vector-matrix multiplications. Therefore, for each snapshot we precompute the quantities:within the FEM software. Now both of these are vectorial quantities, making the transfer to the deep learning framework more efficient. is the error used to compute the loss, as . And will be used to compute the gradient of the loss.
- 2.
-
Then, the main bottleneck comes from needing to compute m full Jacobian matrices via auto-differentiation, instead of just the gradient of a single scalar . Avoiding this is straightforward when reformulating the gradient of the loss with vectors . We realize that, to the deep learning framework, externally-computed is no longer seen as a function depending on the model parameters , but as a constant instead. This means that we can treat it as such during the computation and get:Therefore, we compute a single gradient of a scalar value for the whole batch, via auto-differentiation.
3.3. Data-Based Loss Term
4. Modifications to the PROM-ANN Architecture
4.1. Scaling of Reducedcoefficients
4.2. Corrected Data-Based Loss
4.3. Scaling of the Data-Based Loss
4.4. Online Phase of Non-Linear ROM
5. Integration of Physics-Based Loss into PROM-ANN
6. Use-Case and Evaluation Methodology
-
Relative error on snapshot:This is the geometric mean of the relative errors of each ROM sample compared to the FOM one .
-
Relative error on residual:Again, the geometric mean of the samples’ relative errors, but this time comparing the residual.
7. Results
7.1. Modifications on the Original PROM-ANN
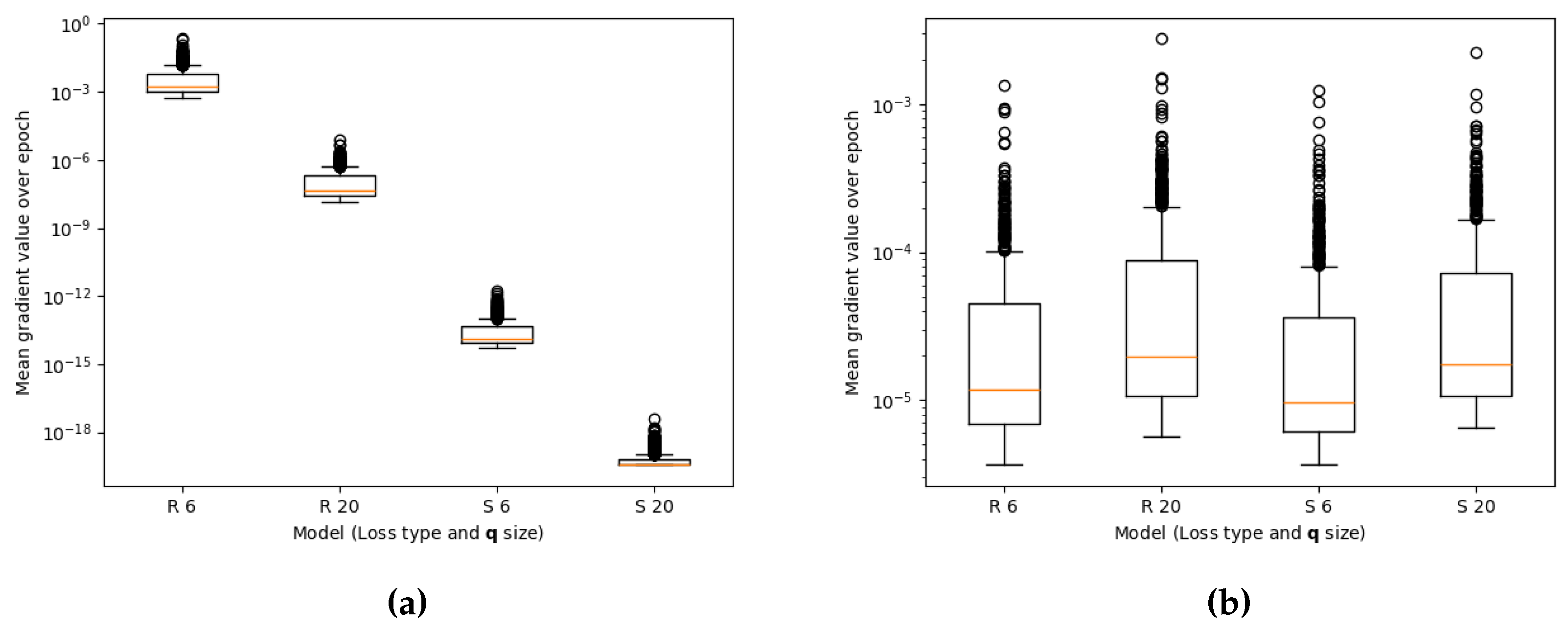
- S6: 6 primary modes (). Trained only on the data-based loss (, ).
- S20: 20 primary modes (). Trained only on the data-based loss (, ).
- R6: 6 primary modes (). Trained only on the residual loss (, ).
- R20: 20 primary modes (). Trained only on the residual loss (, ).
- q-loss: Using the original PROM-ANN encoder-decoder pair, as in Eq. (16). Train via the original loss as defined in Eq. (19) for 800 epochs. Learning rate starting at 1e-3.
- POD: Using the fully linear POD encoder-decoder pair. Involves no training apart from the SVD computation.
7.2. Comparison of Snapshot and Residual Losses
- s-loss: Train using only the snapshot loss ( from Eq. (44) with , ) for 800 epochs. Learning rate starting at 1e-3. (Same as in the previous sub-section)
- r-loss: Start weights on the ones resulting from s-loss. Then train for 800 epochs with only the residual loss ( from Eq. (44) with , ). Learning rate starting at 1e-4.
7.3. Comparison of Training and Online ROM Runtimes
- Snapshot: Using loss from Eq. (44) with , . No interaction with FEM software.
- Residual (optimised): from Eq. (44) with , . Implementing the gradients computation using the optimizations detailed in Eq. (45).
- Residual (non-optimised): from Eq. (44) with , . Implementing the gradients computation in a naive way by computing first in KratosMultiphysics and then computing via the tf.GradientTape.batch_jacobian() method in TensorFlow, then performing matrix multiplication in:
8. Discussion and Future Work
9. Conclusions
Acknowledgments
Nomenclature
| HFM | high-fidelity model |
| ROM | reduced order model |
| POD | proper orthogonal decomposition |
| SVD | singular value decomposition |
| PINN | Physics Informed Neural Network |
| PDE | partial differential equation |
| FEM | finite elements method |
| a neural Network parametrized by | |
| nodal solution of FEM problem | |
| FEM solution representation in a given reduced space | |
| a decoder function | |
| an encoder function | |
| parameters vector for a FEM simulation | |
| FEM residual, given nodal solution and simulation parameters | |
| loss function used to optimize parameters set | |
| number of degrees of freedom in the FOM | |
| number of degrees of freedom in ROM. Number of POD modes. Latent space dimensions | |
| number of samples in the training dataset | |
| number of samples in a given batch when training a neural network |
References
- Barnett, J.; Farhat, C.; Maday, Y. Neural-network-augmented projection-based model order reduction for mitigating the Kolmogorov barrier to reducibility. Journal of Computational Physics 2023, 492, 112420. [CrossRef]
- Brunton, S.L.; Nathan Kutz, J.; Manohar, K.; Aravkin, A.Y.; Morgansen, K.; Klemisch, J.; Goebel, N.; Buttrick, J.; Poskin, J.; Blom-Schieber, A.W.; et al. Data-driven aerospace engineering: reframing the industry with machine learning. AIAA Journal 2021, 59, 2820–2847.
- Jiang, Y.; Yin, S.; Li, K.; Luo, H.; Kaynak, O. Industrial applications of digital twins. Philosophical Transactions of the Royal Society A 2021, 379, 20200360.
- Hesthaven, J.S.; Rozza, G.; Stamm, B.; et al. Certified reduced basis methods for parametrized partial differential equations; SpringerBriefs in Mathematics, Springer Cham, 2016.
- Sirovich, L. Turbulence and the dynamics of coherent structures. Part I: Coherent structures. Quarterly of Applied Mathematics 1987, 45, 561–571.
- Holmes, P.; Lumley, J.L.; Berkooz, G. Turbulence, Coherent Structures, Dynamical Systems and Symmetry; Cambridge Monographs on Mechanics, Cambridge University Press, 1996.
- Eckart, C.; Young, G. The approximation of one matrix by another of lower rank. Psychometrika 1936, 1, 211–218.
- Quarteroni, A.; Rozza, G.; et al. Reduced order methods for modeling and computational reduction; Vol. 9, Modeling, Simulation and Applications, Springer Cham, 2014. [CrossRef]
- Carlberg, K.; Bou-Mosleh, C.; Farhat, C. Efficient non-linear model reduction via a least-squares Petrov-Galerkin projection and compressive tensor approximations. International Journal for Numerical Methods in Engineering 2011, 86. [CrossRef]
- Carlberg, K.; Farhat, C.; Cortial, J.; Amsallem, D. The GNAT method for nonlinear model reduction: Effective implementation and application to computational fluid dynamics and turbulent flows. Journal of Computational Physics 2013, 242. [CrossRef]
- Carlberg, K.; Barone, M.; Antil, H. Galerkin v. least-squares Petrov–Galerkin projection in nonlinear model reduction. Journal of Computational Physics 2017, 330. [CrossRef]
- Grimberg, S.; Farhat, C.; Tezaur, R.; Bou-Mosleh, C. Mesh sampling and weighting for the hyperreduction of nonlinear Petrov–Galerkin reduced-order models with local reduced-order bases. International Journal for Numerical Methods in Engineering 2021, 122, 1846–1874.
- de Parga, S.A.; Bravo, J.R.; Hernández, J.A.; Zorrilla, R.; Rossi, R. Hyper-reduction for Petrov–Galerkin reduced order models. Computer Methods in Applied Mechanics and Engineering 2023, 416. [CrossRef]
- Pinkus, A. n-Widths in Approximation Theory; Springer Berlin, Heidelberg. [CrossRef]
- Lee, K.; Carlberg, K.T. Model reduction of dynamical systems on nonlinear manifolds using deep convolutional autoencoders. Journal of Computational Physics 2020, 404, 108973.
- Barnett, J.; Farhat, C. Quadratic approximation manifold for mitigating the Kolmogorov barrier in nonlinear projection-based model order reduction. Journal of Computational Physics 2022, 464, 111348.
- Raissi, M.; Perdikaris, P.; Karniadakis, G.E. Physics informed deep learning (part i): Data-driven solutions of nonlinear partial differential equations. arXiv preprint arXiv:1711.10561 2017.
- Cuomo, S.; Di Cola, V.S.; Giampaolo, F.; Rozza, G.; Raissi, M.; Piccialli, F. Scientific machine learning through physics–informed neural networks: Where we are and what’s next. Journal of Scientific Computing 2022, 92, 88.
- Li, Z.; Zheng, H.; Kovachki, N.; Jin, D.; Chen, H.; Liu, B.; Azizzadenesheli, K.; Anandkumar, A. Physics-Informed Neural Operator for Learning Partial Differential Equations. ACM / IMS J. Data Sci. 2024, 1. [CrossRef]
- Wang, S.; Yu, X.; Perdikaris, P. When and why PINNs fail to train: A neural tangent kernel perspective. Journal of Computational Physics 2022, 449, 110768. [CrossRef]
- Fuks, O.; Tchelepi, H.A. LIMITATIONS OF PHYSICS INFORMED MACHINE LEARNING FOR NONLINEAR TWO-PHASE TRANSPORT IN POROUS MEDIA. Journal of Machine Learning for Modeling and Computing 2020, 1. [CrossRef]
- Niu, S.; Zhang, E.; Bazilevs, Y.; Srivastava, V. Modeling finite-strain plasticity using physics-informed neural network and assessment of the network performance. Journal of the Mechanics and Physics of Solids 2023, 172, 105177. [CrossRef]
- Zienkiewicz, O. The Finite Element Method in Engineering Science; McGraw-Hill European Publishing Programme, McGraw-Hill, 1971.
- Meethal, R.E.; Kodakkal, A.; Khalil, M.; Ghantasala, A.; Obst, B.; Bletzinger, K.U.; Wüchner, R. Finite element method-enhanced neural network for forward and inverse problems. Advanced Modeling and Simulation in Engineering Sciences 2023, 10. [CrossRef]
- Le-Duc, T.; Nguyen-Xuan, H.; Lee, J. A finite-element-informed neural network for parametric simulation in structural mechanics. Finite Elements in Analysis and Design 2023, 217. [CrossRef]
- Eshaghi, M.S.; Anitescu, C.; Thombre, M.; Wang, Y.; Zhuang, X.; Rabczuk, T. Variational Physics-informed Neural Operator (VINO) for solving partial differential equations. Computer Methods in Applied Mechanics and Engineering 2025, 437, 117785. [CrossRef]
- Wang, S.; Wang, H.; Perdikaris, P. Learning the solution operator of parametric partial differential equations with physics-informed DeepONets. Science Advances 2021, 7, eabi8605, [https://www.science.org/doi/pdf/10.1126/sciadv.abi8605]. [CrossRef]
- Chmiel, M.R.; Barnett, J.L.; Farhat, C. Assessment of Projection-Based Model Order Reduction for a Benchmark Hypersonic Flow Problem. In Proceedings of the AIAA SciTech 2024 Forum, 2024, p. 0250.
- Ferrándiz, V.M.; Bucher, P.; Zorrilla, R.; Warnakulasuriya, S.; Cornejo, A.; Rossi, R.; Roig, C.; jcotela.; Maria, J.; tteschemacher.; et al. KratosMultiphysics/Kratos: v10.1, 2024. URL: . [CrossRef]
- Cai, S.; Mao, Z.; Wang, Z.; Yin, M.; Karniadakis, G.E. Physics-informed neural networks (PINNs) for fluid mechanics: A review. Acta Mechanica Sinica 2021, 37, 1727–1738.
- Zhu, Y.; Zabaras, N.; Koutsourelakis, P.S.; Perdikaris, P. Physics-constrained deep learning for high-dimensional surrogate modeling and uncertainty quantification without labeled data. Journal of Computational Physics 2019, 394, 56–81. [CrossRef]
- Sun, L.; Gao, H.; Pan, S.; Wang, J.X. Surrogate modeling for fluid flows based on physics-constrained deep learning without simulation data. Computer Methods in Applied Mechanics and Engineering 2020, 361, 112732. [CrossRef]
- Rueden, L.V.; Mayer, S.; Beckh, K.; Georgiev, B.; Giesselbach, S.; Heese, R.; Kirsch, B.; Pfrommer, J.; Pick, A.; Ramamurthy, R.; et al. Informed Machine Learning - A Taxonomy and Survey of Integrating Prior Knowledge into Learning Systems. IEEE Transactions on Knowledge and Data Engineering 2023, 35. [CrossRef]
- Yamazaki, Y.; Harandi, A.; Muramatsu, M.; Viardin, A.; Apel, M.; Brepols, T.; Reese, S.; Rezaei, S. A finite element-based physics-informed operator learning framework for spatiotemporal partial differential equations on arbitrary domains. Engineering with Computers 2025, 41, 1–29. [CrossRef]
- Sunil, P.; Sills, R.B. FE-PINNs: finite-element-based physics-informed neural networks for surrogate modeling. arXiv preprint arXiv:2412.07126 2024.
- Montavon, G.; Orr, G.; Müller, K.R. Neural networks: Tricks of the Trade; Vol. 7700, Lecture Notes in Computer Science, Springer Berlin, Heidelberg, 2012.
- Goodfellow, I.; Bengio, Y.; Courville, A.; Bengio, Y. Deep learning; Vol. 1, Adaptive Computation and Machine Learning, MIT Press Cambridge, 2016.
| 1 | For our current discussion can be either a time step, or a loading step following a predefined trajectory |
| 2 | This is true for snapshots within the set , and should reflect in new samples if they are properly represented by the POD |








| Loss type | Mean batch training time (s) |
| Snapshot | 9.20e-4 |
| Residual (optimised) | 3.87e-2 |
| Residual (non-optimised) | 7.41 |
| Model | q size | System solve time (s) | |
| Modified PROM-ANN (Eq. (33)) | 6 | 7.67e-5 | 1.42e-6 |
| Modified PROM-ANN (Eq. (33)) | 20 | 6.12e-8 | 5.55e-6 |
| POD | 18 | 2.39e-5 | 4.84-6 |
| POD | 40 | 1.32e-7 | 1.99e-5 |
| FOM | - | - | 2.11e-3 |
Disclaimer/Publisher’s Note: The statements, opinions and data contained in all publications are solely those of the individual author(s) and contributor(s) and not of MDPI and/or the editor(s). MDPI and/or the editor(s) disclaim responsibility for any injury to people or property resulting from any ideas, methods, instructions or products referred to in the content. |
© 2025 by the authors. Licensee MDPI, Basel, Switzerland. This article is an open access article distributed under the terms and conditions of the Creative Commons Attribution (CC BY) license (https://creativecommons.org/licenses/by/4.0/).