Submitted:
05 April 2025
Posted:
07 April 2025
You are already at the latest version
Abstract
Keywords:
1. Introduction
2. Materials and Methods
2.1. Materials Characterisation
2.1.1. Soil
2.1.2. Organic Amendment
2.1.3. Plastics and the Reference Material
| PHB: | C4H6O2 + 9/2O2 | 4CO2 + 3H2O | ![]() |
| PLA: | C3H4O2 + 3O2 | 3CO2 + 2H2O | ![]() |
| LDPE: | C2H4 + 3O2 | 2CO2 + 2H2O | ![]() |
| Microcrystalline cellulose (MR): | C6H10O5 + 6O2 | 6CO2 + 5H2O | ![]() |
2.2. Experimental Design
2.3. Calculations
2.4. Statistical Analysis
3. Results and Discussion
3.1. Materials’ Characterisation
3.1.1. Soil
3.1.2. Organic Amendment
3.1.3. Plastics and the Reference Material
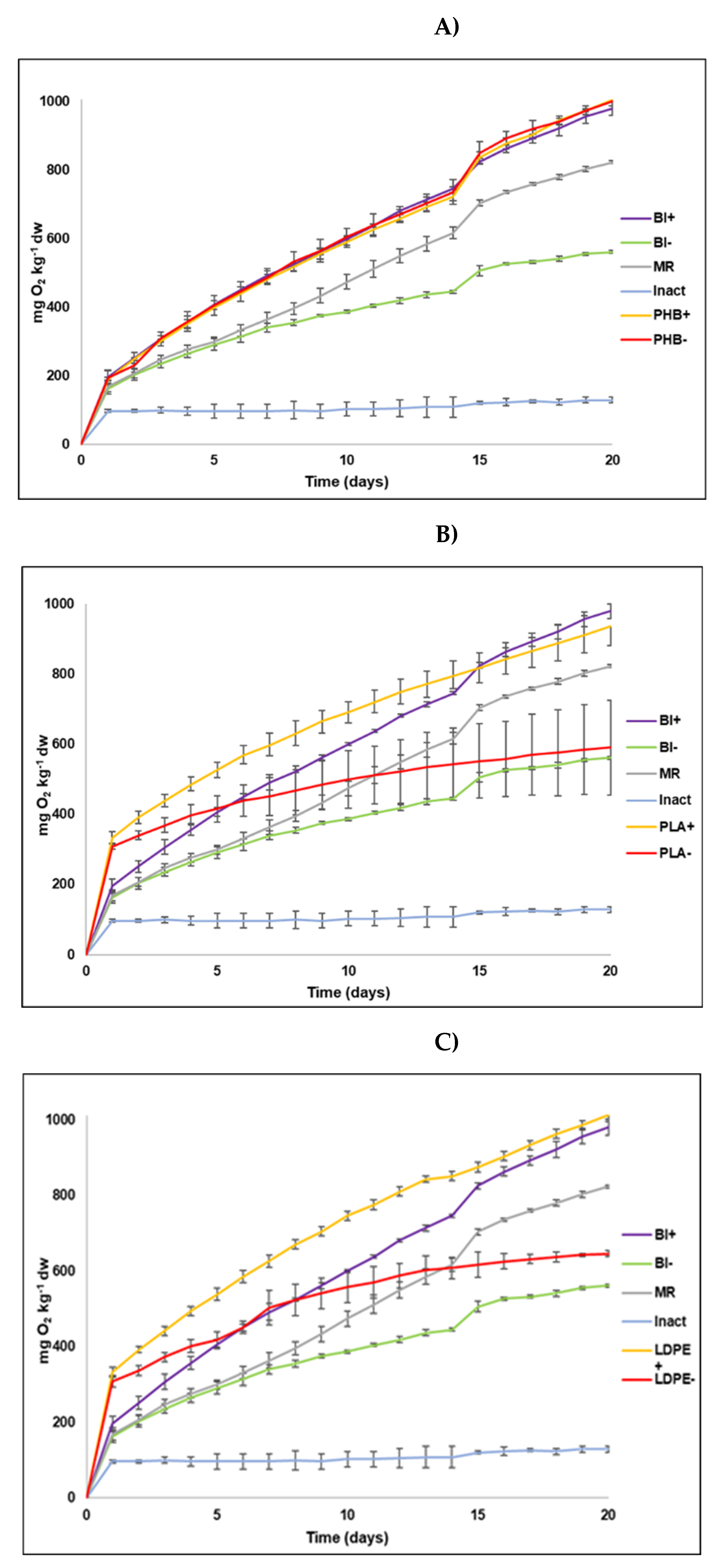
3.2. O2 (BOD) Consumption
3.3. Plastic Materials Biodegradability
3.4. Effect of Organic Amendment on Plastics Biodegradation
4. Conclusions
Author Contributions
Funding
Informed Consent Statement
Institutional Review Board Statement
Data Availability Statement
Acknowledgments
Conflicts of Interest
References
- Wang, C.; Liu, Y.; Chen, W.Q.; Zhu, B.; Qu, S.; Xu, M. Critical review of global plastics stock and flow data. J. Ind. Ecol. 2021, 25(5), 1300–1317. [Google Scholar] [CrossRef]
- Nayanathara, P.G.C.; Sandaruwan, A. The world of plastic waste: A review. Cleaner Materials, 2024, 11, 100220. [Google Scholar] [CrossRef]
- Cole, M.; Lindeque, P.; Halsband, C.; Galloway, T.S. Microplastics as contaminants in the marine environment: A review. Mar. Pollut. Bull, 2011, 62(12), 2588–2597. [CrossRef]
- Gómez, E.F.; Michel Jr, F.C. Biodegradability of conventional and bio-based plastics and natural fiber composites during composting, anaerobic digestion and long-term soil incubation. Polym. Degrad. Stab. 2013, 98(12), 2583–2591. [CrossRef]
- European Bioplastics. Available online: https://www.european-bioplastics.org/bioplastics/materials/ (accessed on 7 May 2022).
- Beltrán-Sanahuja, A.; Benito-Kaesbach, A.; Sánchez-García, N.; Sanz-Lázaro, C. Degradation of conventional and biobased plastics in soil under contrasting environmental conditions. Sci. Total Environ. 2021, 787, 147678. [Google Scholar] [CrossRef]
- Lin, Z.; Jin, T.; Zou, T.; Xu, L.; Xi, B.; Xu, D.; He, J.; Xiong, L.; Tang, C.; Peng, J.; Zhou, Y.; Fei, J. Current progress on plastic/microplastic degradation: Fact influences and mechanism. Environ. Pollut. 2022, 304, 119159. [Google Scholar] [CrossRef] [PubMed]
- Wei, S.; Zhao, Y.; Zhou, R.; Lin, J.; Su, T.; Tong, H.; Wang, Z. Biodegradation of polybutylene adipate-co-terephthalate by Priestia megaterium, Pseudomonas mendocina, and Pseudomonas pseudoalcaligenes following incubation in the soil. Chemosphere 2022, 307, 135700. [Google Scholar] [CrossRef]
- Slezak, R.; Krzystek, L.; Puchalski, M.; Krucińska, I.; Sitarski, A. Degradation of bio-based film plastics in soil under natural conditions. Sci. Total Environ. 2023, 866, 161401. [Google Scholar] [CrossRef] [PubMed]
- Briassoulis, D.; Babou, E.; Hiskakis, M.; Scarascia, G.; Picuno, P.; Guarde, D.; Dejean, C. Review, mapping and analysis of the agricultural plastic waste generation and consolidation in Europe. Waste Manage. Res. 2013, 31(12), 1262–1278. [Google Scholar] [CrossRef]
- Zhang, X.; You, S.; Tian, Y.; Li, J. Comparison of plastic film, biodegradable paper and bio-based film mulching for summer tomato production: soil properties, plant growth, fruit yield and fruit quality. Sci. Hortic. 2019, 249, 38–48. [Google Scholar] [CrossRef]
- Negi, H.; Gupta, S.; Zaidi, M.G.H.; Goel, R. Studies on biodegradation of LDPE film in the presence of potential bacterial consortia enriched soil. Biologija 2011, 57(4), 141–147. [Google Scholar] [CrossRef]
- Sen, S.K.; Raut, S. Microbial degradation of low density polyethylene (LDPE): A review. J. Environ. Chem. Eng. 2015, 3(1), 462–473. [Google Scholar] [CrossRef]
- Li, W.C.; Tse, H.F.; Fok, L. Plastic waste in the marine environment: A review of sources, occurrence and effects. Sci. Total Environ. 2016, 567, 333–349. [Google Scholar] [CrossRef]
- Rudnik, E.; Briassoulis, D. Degradation behaviour of poly(lactic acid) films and fibres in soil under Mediterranean field conditions and laboratory simulations testing. Ind. Crops Prod. 2011, 33, 648–658. [Google Scholar] [CrossRef]
- Fernandes, M.; Salvador, A.; Alves, M.M.; Vicente, A.A. Factors affecting polyhydroxyalkanoates biodegradation in soil. Polym. Degrad. Stab. 2020, 182, 109408. [Google Scholar] [CrossRef]
- Volova, T.G.; Prudnikova, S.V.; Vinogradova, O.N.; Syrvacheva, D.A.; Shishatskaya, E.I. Microbial degradation of polyhydroxyalkanoates with different chemical compositions and their biodegradability. Environ. Microbiol. 2017, 73(2), 353–367. [Google Scholar] [CrossRef] [PubMed]
- Chang, Y.N.; Mueller, R.R.; Iannotti, E.L. Use of low MW polylactic acid to stimulate growth and yield of soybeans. Plant Growth Regul. 1996, 19, 223–232. [Google Scholar] [CrossRef]
- Wang, Y.; Hu, T.; Zhang, W.; Lin, J.; Wang, Z.; Lyu, S.; Tong, H. Biodegradation of polylactic acid by a mesophilic bateria Bacillus safensis. Chemosphere, 2023, 318, 137991. [Google Scholar] [CrossRef]
- Tokiwa, Y.; Calabia, B.P. Biodegradability and biodegradation of poly(lactide). App. Microbiol. Biotechnol. 2006, 72, 244–251. [Google Scholar] [CrossRef]
- Briassoulis, D.; Mistriotis, A.; Mortier, N.; Tosin, M. A horizontal test method for biodegradation in soil of bio-based and conventional plastics and lubricants. J. Clean. Prod. 2020, 242, 118392. [Google Scholar] [CrossRef]
- Liu, H.; Yang, X.; Liu, G.; Liang, C.; Xue, S.; Chen, H.; Ritsema, C.J.; Geissen, V. Response of soil dissolved organic matter to microplastic addition in Chinese loess soil. Chemosphere. 2017, 185, 907–917. [Google Scholar] [CrossRef]
- Rillig, M.C. Microplastic in terrestrial ecosystems and the soil? Environ. Sci. Technol. 2012, 46, 6453–6454. [Google Scholar] [CrossRef]
- Briassoulis, D. An overview on the mechanical behaviour of biodegradable agricultural films. J. Polym. Environ. 2004, 12, 65–81. [Google Scholar] [CrossRef]
- Álvarez-Chávez, C.R.; Edwards, S.; Moure-Eraso, R.; Geiser, K. Sustainability of bio-based plastics: General comparative analysis and recommendations for improvement. J. Clean. Prod. 2012, 23(1), 47–56. [Google Scholar] [CrossRef]
- Sintim, H.Y.; Flury, M. Is Biodegradable Plastic Mulch the Solution to Agriculture’s Plastic Problem? Environ. Sci. Technol. 2017, 51(3), 1068–1069. [Google Scholar] [CrossRef] [PubMed]
- Briassoulis, D.; Giannoulis, A. Evaluation of the functionality of bio-based plastic mulching films. Polym. Test. 2018, 67, 99–109. [Google Scholar] [CrossRef]
- Briassoulis, D.; Mistriotis, A. Key parameters in testing biodegradation of bio-based materials in soil. Chemosphere. 2018, 207, 18–26. [Google Scholar] [CrossRef]
- Sander, M. Biodegradation of polymeric mulch films in agricultural soils: concepts, knowledge gaps, and future research directions. Environ. Sci. Technol. 2019, 53, 2304–2315. [Google Scholar] [CrossRef]
- Maraveas, C. Environmental sustainability of plastic in agriculture. Agriculture. 2020, 10(8), 1–15. [Google Scholar] [CrossRef]
- Qi, R.; Jones, D.L.; Li, Z.; Liu, Q.; Yan, C. Behavior of microplastics and plastic film residues in the soil environment: A critical review. Sci. Total Environ. 2020, 703, 134722. [Google Scholar] [CrossRef]
- Zurier, H.S.; Goddard, J.M. Biodegradation of microplastics in food and agriculture. Curr. Opin. Food Sci. 2021, 37, 37–44. [Google Scholar] [CrossRef]
- Awasthi, S.K.; Kumar, M.; Kumar, V.; Sarsaiya, S.; Anerao, P.; Ghosh, P.; Singh, L.; Liu, H.; Zhang, Z.; Awasthi, M.K. A comprehensive review on recent advancements in biodegradation and sustainable management of biopolymers. Environ. Pollut. 2022, 307, 119600. [Google Scholar] [CrossRef]
- Maraveas, C. The sustainability of plastic nets in agriculture. Sustainibility. 2020, 12(9), 3625. [Google Scholar] [CrossRef]
- Hamarashid, N.; Othman, M.; Hussain, M. Effects of Soil Texture on Chemical Compositions, Microbial Populations and Carbon Mineralization in Soil. Egypt. J. Exp. Biol. 2010, 6(1), 59–64. [Google Scholar]
- Chaturvedi, S.; Kumar, A.; Singh, B.; Nain, L.; Joshi, M.; Satya, S. Bioaugmented composting of Jatropha de-oiled cake and vegetable waste under aerobic and partial anaerobic conditions. J. Basic Microbiol. 2013, 53(4), 327–335. [Google Scholar] [CrossRef]
- Li, Z.; Lu, H.; Ren, L.; He, L. Experimental and modeling approaches for food waste composting: A review. Chemosphere. 2013, 93(7), 1247–1257. [Google Scholar] [CrossRef]
- Agamuthu, P.; Tan, Y.S.; Fauziah, S.H. Bioremediation of Hydrocarbon Contaminated Soil Using Selected Organic Wastes. Procedia Environ. Sci. 2013, 18, 694–702. [Google Scholar] [CrossRef]
- AENOR (Asociación Española de Normalización y Certificación), 2019. Plásticos. Determinación de la biodegradabilidad aeróbica última de materiales plásticos en el suelo mediante la medición de la demanda de oxígeno en un respirómetro o la cantidad de dióxido generada (UNE-EN ISO 17556:2019).
- FAO., 2009. Guía para la descripción de suelos - Cuarta edición. Roma. chrome-extension://efaidnbmnnnibpcajpcglclefindmkaj/https://www.fao.org/3/a0541s/a0541s.pdf.
- ISO, 1994a. ISO 10390. Soil Quality. Determination of pH. International Organization for Standardization, Geneva.
- ISO, 1994b. ISO 11265. Soil Quality. Determination of the Specific Electrical Conductivity. International Organization for Standardization, Geneva.
- Day, P.R. Particle fractionation and particle-size analysis. In: Methods of Soil Analysis. Part I. Black, C.A., Ed.; American Society of Agronomy, Madison, USA, 1965; pp.545-567.
- Walkley, A.; Black, I.A. An examination of Degtjareff method for determining soil organic matter, and a proposed modification of the chromic acid titration method. Soil Sci. 1934, 37, 29–38. [Google Scholar] [CrossRef]
- ISO, 1998. ISO 13878. Soil Quality—Determination of Total Nitrogen Content by Dry Combustion (Elemental Analysis). Organización Internacional de Normalización, Geneva.
- AENOR (Asociación Española de Normalización y Certificación), 2012a. Mejoradores de suelo y sustratos de cultivo. Determinación del pH. (UNE-EN 13037).
- AENOR (Asociación Española de Normalización y Certificación), 2001. Mejoradores de suelo y sustratos de cultivo. Determinación de la conductividad eléctrica. (UNE-EN 13038).
- AENOR (Asociación Española de Normalización y Certificación), 2012b. Mejoradores de suelo y sustratos de cultivo. Determinación del contenido en materia orgánica y de las cenizas (UNE-EN 13039).
- VitiViniCultura.net, 2022. Estiércol: ventajas, tipos, dosis. Aplicación. https://www.vitivinicultura.net/estiercol-viticultura.html#:~:text=Las%20dosis%20que%20se%20recomiendan,de%20esti%C3%A9rcol%20fresco%20por%20Ha. (Accessed: 17/08/2022).
- Raffo, E.; Ruiz, E. Caracterización de las aguas residuales y la demanda bioquímica de oxígeno. Industrial Data 2014, 17(1), 11. [Google Scholar]
- Lucas, N., Bienaime, C., Belloy, C., Queneudec, M., Silvestre, F., Nava-Saucedo, J.E.,. Polymer biodegradation: Mechanisms and estimation techniques. A review. Chemosphere. 2008, 73(4), 429–442. [CrossRef]
- Muenmee, S. , Chiemchaisri, W., Chiemchaisri, C. International Biodeterioration and Biodegradation Enhancement of biodegradation of plastic wastes via methane oxidation in semi-aerobic land fill. Int. Biodeterior. Biodegrad. 2016, 113, 244–255. [Google Scholar] [CrossRef]
- Song, C., Wang, S., Ono, S., Zhang, B., Shimasaki, C., Inoue, M. The biodegradation of Poly(3-hydroxybutyrate-co-3-hydroxyvalerate) (PHB/V) and PHB/V-degrading microorganisms in soil. Polym. Adv. Technol. 2003, 14(3–5), 184–188. [CrossRef]
- Sridewi, N. , Bhubalan, K., Sudesh, K. Degradation of commercially important polyhydroxyalkanoates in tropical mangrove ecosystem. Polym. Degrad. Stab. 2006, 91(12), 2931–2940. [Google Scholar] [CrossRef]
- Lim, S.P., Gan, S.N., Tan, I.K.P. Degradation of Medium-Chain-Length Polyhydroxyalkanoates in Tropical Forest and Mangrove Soils. App. Biochem. Biotechnol. 2005, 126(1), 23-33. [CrossRef]
- Shrivastav, A., Mishra, S.K., Pancha, I., Jain, D., Bhattacharya, S., Patel, S., Mishra, S. Biodegradability studies of polyhydroxyalkanoate (PHA) film produced by a marine bacteria using Jatropha biodiesel byproduct as a substrate. World J. Microbiol. Biotechnol. 2011, 27(7), 1531–1541. [CrossRef]
- Thomas, S. , Shumilova, A.A., Kiselev, E.G., Baranovsky, S.V., Vasiliev, A.D., Nemtsev, I.V., Kuzmin, A.P., Sukovatyi, A.G., Avinash, R.P., Volova, T.G. Thermal, mechanical and biodegradation studies of biofiller based poly-3-hydroxybutyrate biocomposites. Int. J. Biol. Macromol. 2020, 155, 1373–1384. [Google Scholar] [CrossRef]
- Briassoulis, D. , Dejean, C. Critical review of norms and standards for biodegradable agricultural plastics part I. Biodegradation in soil. J. Poly. Environ. 2010, 18, 384–400. [Google Scholar] [CrossRef]
- Kamiya, M. , Asakawa, S., Kimura, M. Molecular analysis of fungal communities of biodegradable plastics in two Japanese soils. Soil Sci. Plant Nutr. 2007, 53(5), 568–574. [Google Scholar] [CrossRef]
- Hoshino, A. , Sawada, H., Yokota, M., Tsuji, M., Fukuda, K., Kimura, M. Influence of weather conditions and soil properties on degradation of biodegradable plastics in soil. Soil Sci. Plant Nutr. 2001, 47(1), 35–43. [Google Scholar] [CrossRef]
- Adhikari, D. , Mukai, M., Kubota, K., Kai, T., Kaneko, N., Araki, K.S., Kubo, M. Degradation of bioplastics in soil and their degradation effects on environmental microorganisms. J. Agric. Chem. Environ. 2016, 5, 23–34. [Google Scholar] [CrossRef]
- Harmaen, A.S., Khalina, A., Azowa, I., Hassan, M.A., Tarmian, A., Jawaid, M. Thermal and biodegradation properties of poly(lactic acid)/fertilizer/oil palm fibers blends biocomposites. Polym. Compos. 2015, 36(1), 576-583. [CrossRef]
- Kale, G., Auras, R., Singh, S.P., Narayan, R. Biodegradability of polylactide bottles in real and simulated composting conditions. Polym. Test. 2007, 26(8), 1049–1061. [CrossRef]
- Mihai, M. , Legros, N., Alemdar, A. Formulation-Properties Versatility of Wood Fiber Biocomposites Based on Polylactide and Polylactide/Thermoplastic Starch Blends. Polym. Eng. Sci. 2014, 54(6), 1325-1340. [CrossRef]
- Otake, Y., Kobayashi, T., Asabe, H., Murakami, N., Ono, K. Biodegradation of low-density polyethylene, polystyrene, polyvinyl chloride, and urea formaldehyde resin buried under soil for over 32 years. J. App. Polym. Sc. 1995, 56(13), 1789–1796.
- Sridharan, R. , Krishnaswamy, V.G., Kumar, P.S. Analysis and microbial degradation of Low-Density Polyethylene (LDPE) in Winogradsky column. Environ. Res. 2021, 201, 111646. [Google Scholar] [CrossRef]
- Boluda, R. , Roca-Pérez, L., Iranzo, M., Gil, C., Mormeneo, S. Determination of enzymatic activities using a miniaturized system as a rapid method to assess soil quality. Eur. J. Soil Sci. 2014, 65(2), 286–294. [Google Scholar] [CrossRef]
- Emadian, S.M. , Onay, T.T., Demirel, B. Biodegradation of bioplastics in natural environments. Waste Manage. 2017, 59, 526–536. [Google Scholar] [CrossRef]
- Khan, S. , Ali, S.A., Ali, A.S. Biodegradation of low density polyethylene (LDPE) by mesophilic fungus ‘Penicillium citrinum’ isolated from soils of plastic waste dump yard, Bhopal, India. Environ. Technol. 2300. [Google Scholar] [CrossRef]
- Roy, P.K. , Titus, S., Surekha, P., Tulsi, E., Deshmukh, C., Rajagopal, C. Degradation of abiotically aged LDPE film containing pro-oxidant by bacterial consortium. Polym. Degrad. Stab. 2008, 93, 1917–1922. [Google Scholar] [CrossRef]
- Park, S.Y. , Kim, C.G. Biodegradation of micro-polyethylene particles by bacterial colonization of a mixed microbial consortium isolated from a landfill site. Chemosphere. 2019, 222, 527–533. [Google Scholar] [CrossRef]



| Treatment | Replicate | Soil (g) | OM (g) | Plastics (g) | Water (mL) |
|---|---|---|---|---|---|
| Bl- | 1 | 100 | 1,43 | 0.0000 | 21 |
| 2 | 100 | 1.43 | 0.0000 | 21 | |
| Bl+ | 1 | 100 | 0.00 | 0.0000 | 21 |
| 2 | 100 | 0.00 | 0.0000 | 21 | |
| MR | 1 | 100 | 0.00 | 0.3005 | 21 |
| 2 | 100 | 0.00 | 0.3005 | 21 | |
| Inact | 1 | 100 | 1.43 | 0.3001 | 21 |
| 2 | 100 | 1.43 | 0.3004 | 21 | |
| PHB+ | 1 | 100 | 1.43 | 0.3000 | 21 |
| 2 | 100 | 1.43 | 0.3002 | 21 | |
| PHB- | 1 | 100 | 0.00 | 0.3007 | 21 |
| 2 | 100 | 0.00 | 0.3007 | 21 | |
| PLA+ | 1 | 100 | 1.43 | 0.3006 | 21 |
| 2 | 100 | 1.43 | 0.3004 | 21 | |
| PLA- | 1 | 100 | 0.00 | 0.3009 | 21 |
| 2 | 100 | 0.00 | 0.3003 | 21 | |
| LDPE+ | 1 | 100 | 1.43 | 0.3008 | 21 |
| 2 | 100 | 1.43 | 0.3004 | 21 | |
| LDPE- | 1 | 100 | 0.00 | 0.3004 | 21 |
| 2 | 100 | 0.00 | 0.3005 | 21 |
| Treatment | 24 h | End (20 days) |
|---|---|---|
| Inact | 96 (4) | 129 (8) |
| Bl- | 163 (16) | 564 (4) |
| Bl+ | 196 (21) | 980 (24) |
| RM | 169 (16) | 823 (8) |
| PHB+ | 190 (6) | 1006 (8) |
| PHB- | 195 (21) | 1000 (13) |
| PLA+ | 336 (13) | 936 (54) |
| PLA- | 201 (10) | 590 (36) |
| LDEP+ | 333 (13) | 1012 (17) |
| LDEP- | 178 (15) | 646 (8) |
| Treatment | BODT | BODB | ThOD | ρT | Dt |
|---|---|---|---|---|---|
| PHB+ | 1006a | 980 | 1670 | 3.00 | 0.52b |
| PHB- | 1000a | 561 | 1670 | 3.00 | 8.76a |
| PLA+ | 936a | 980 | 1330 | 3.00 | -1.10b |
| PLA- | 590c | 561 | 1330 | 3.00 | 0.73b |
| LDPE+ | 1012a | 980 | 3420 | 3.00 | 0.31b |
| LDPE- | 646c | 561 | 3420 | 3.00 | 0.82b |
| MR | 823b | 561 | 1185 | 3.00 | 7.37a |
Disclaimer/Publisher’s Note: The statements, opinions and data contained in all publications are solely those of the individual author(s) and contributor(s) and not of MDPI and/or the editor(s). MDPI and/or the editor(s) disclaim responsibility for any injury to people or property resulting from any ideas, methods, instructions or products referred to in the content. |
© 2025 by the authors. Licensee MDPI, Basel, Switzerland. This article is an open access article distributed under the terms and conditions of the Creative Commons Attribution (CC BY) license (http://creativecommons.org/licenses/by/4.0/).
