Submitted:
04 April 2025
Posted:
07 April 2025
You are already at the latest version
Abstract

Keywords:
1. Introduction
2. Materials and Methods
2.1. sgRNA Design on Vacuolar Invertase and Polyphenol Oxidase 2 Genes of Solanum tuberosum cv. Atlantic and cv. Spunta
2.1.1. Vacuolar Invertase Gene (InvVac)
2.2. Protoplasts Transfection and Plant Regeneration
2.3. Identification of Edited Lines and Sequencing Analysis
2.3.1. High Resolution Fragment Analysis (HRFA)
2.3.2. Detection of CRISPR-Induced Mutations
2.4. Plant Growth Conditions and Tuber Harvesting
2.5. Fried Product Characterization
2.6. HPLC-Based Determination of Sucrose and Reducing Sugars
2.7. Enzymatic Browning and PPO Activity
2.8. Field Trial of Line 6A
2.9. Statistical Analyses
3. Results
3.1. sgRNA design on Vacuolar Inverstase and Polyphenol Oxidase 2 Genes, Identification of Edited Lines and Sequencing Analysis
3.1.1. Single Editing for Vacuolar Invertase Gene
3.1.2. Multi-Target Editing for Vacuolar Invertase and Poliphenol Oxidase 2 Gene
3.2. Tuber Production and Fried Product Characterization
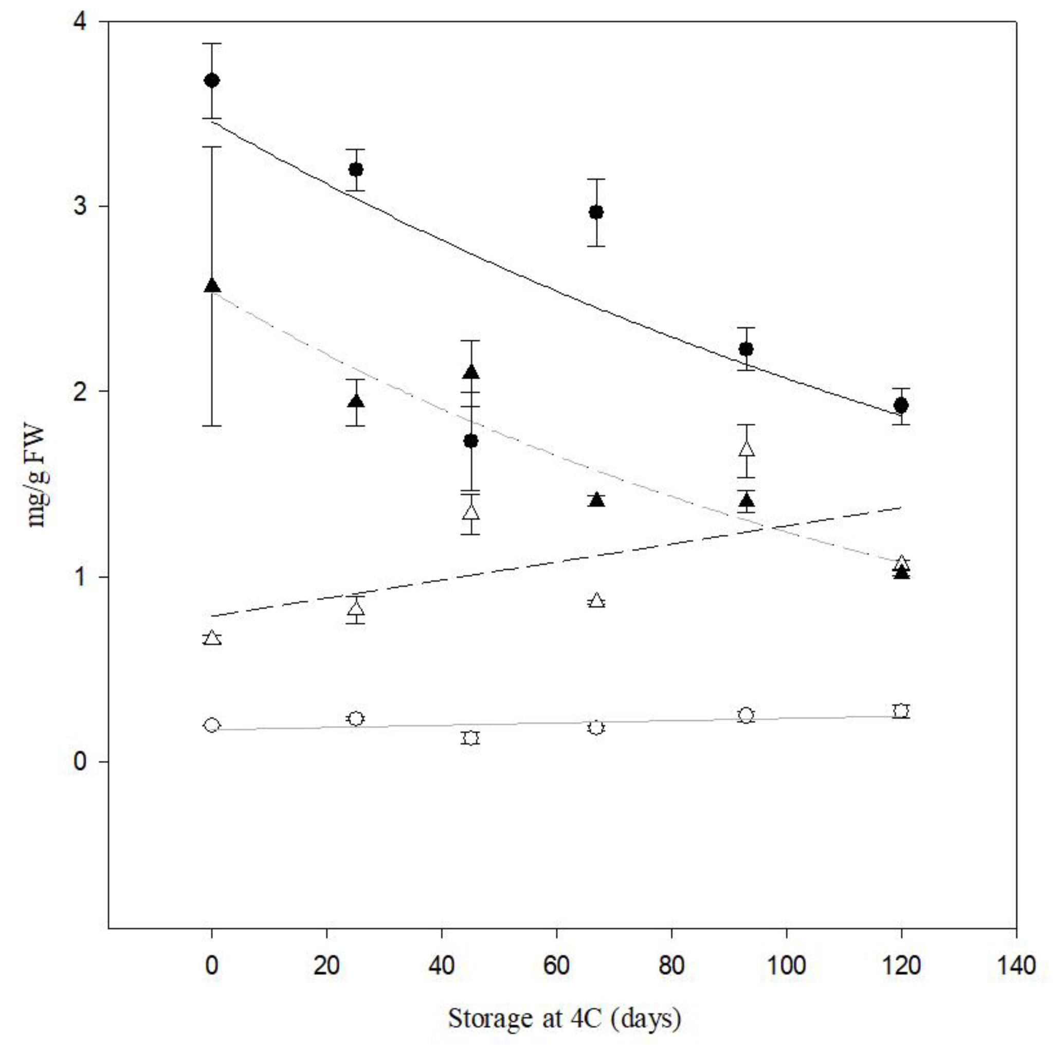
3.3. HPLC-Based Determination of Sucrose and Reducing Sugars
3.4. Enzymatic Browning and PPO Activity
3.5. Field Trial of Edited Line 6A in InvVac Gene
4. Discussion
5. Conclusions
Author Contributions
Funding
Data Availability Statement
Acknowledgments
Conflicts of Interest
Abbreviations
| CRISPR/Cas9 | Clustered Regularly Interspaced Short Palindromic Repeats/CRISPR associated nuclease 9 |
| GMO | Genetically modified organisms |
| RS | Reducing sugars |
| cv. | cultivar |
| CIS | Cold induced sweetening |
| PPO2 | Polyphenol oxidase 2 |
| InvVac | Vacuolar invertase |
| sgRNA | single guide RNA |
| HPLC | high-performance liquid chromatography |
| HRFA | High resolution fragment analysis |
| NGS | Next generation sequencing |
| RNP | Ribonucleoprotein complex |
References
- Food and Agriculture Organization (FAO). The state of food and agriculture: Food loss and waste reduction. FAO Report 2021.
- Birch, P.R.J., Bryan, G., Fenton, B., Gilroy, E. M., Hein, I., Jones, J. T., et al. Crops that feed the world 8: Potato: are the trends of increased global production sustainable?. Food Secur. 2012, 4, 477-508. [CrossRef]
- Mayer, A. M. Polyphenol oxidases in plants and fungi: Going places? A Review. Phytochemistry 2006, 67(21), 2318–2331.
- Bhaskar, P.B., Wu, L., Busse, J.S., Whitty, B.R., Hamernik, A.J., Jansky, S.H. et al. Suppression of the vacuolar invertase gene prevents cold induced sweetening in potato. Plant Phy. 2010, 154, 939–948.
- Chefter J. C. and Chefter H. Introducción a la bioquímica y tecnología de los alimentos. Acribia, España, 1976; pp.
- Ohara-Takada, A., Matsuura-Endo, C., Chuda, Y., Ono, H., Yada, H., Yoshida, M., Kobayashi, A., Tsuda, S., Takigawa, S., Noda, T., Yamauchi, H., Mori, M. Change in Content of Sugars and Free Amino Acid in Potato Tubers under Short-Term Storage at Low Temperature and the Effect on Acrylamide Level after Frying. Biosci. Biotechnol. Biochem 2005, 69 (7), 1232-1238.
- Feingold, S., Bonnecarrère, V., Nepomuceno, A., Hinrichsen, P., Cardozo Tellez, L., et al. Gene Editing: An Opportunity for the Region. Rev. Inv. Agrop. (RIA) 2018, Vol. 44, No. 3, pp 424-427.
- Nahirñak, V., Almasia, N.I., González, M.N., Massa, G.A., Décima Oneto, C.A., Feingold, S.E., Hopp, H.E., Vazquez Rovere, C. State of the Art of Genetic Engineering in Potato: From the First Report to Its Future Potential. Front. Plant Sci. 2022, 12:768233.
- González, M. N., Massa, G. A., Andersson, M., Turesson, H., Olsson, N., Fält, A.-S., et al. Reduced Enzymatic Browning in Potato Tubers by Specific Editing of a Polyphenol Oxidase Gene via Ribonucleoprotein Complexes Delivery of the CRISPR/Cas9 System. Front. Plant Sci. 2020, 10, 1649.
- González, M.N., Massa, G.A., Andersson, M., Décima Oneto, C.A., Turesson, H., Storani, L., Olsson, N., Fält, A-S., Hofvander, P., Feingold, S.E. Comparative potato genome editing: Agrobacterium tumefaciens-mediated transformation and protoplasts transfection delivery of CRISPR/Cas9 components directed to StPPO2 gene. Plant Cell Tiss Organ Cult. 2021, 145, 291–305.
- Clasen, B. M., Stoddard, T. J., Luo, S., Demorest, Z. L., Li, J., Cedrone, F., ... & Coffman, A. Improving cold storage and processing traits in potato through targeted gene knockout. Plant Biotech. J. 2016, 14(1), 169-176.
- Teper-Bamnolker, P., Roitman, M., Katar, O., Peleg, N., Aruchamy, K., Suher, S., Doron-Faigenboim, A., Leibman, D., Omid, A., Belausov, E., Andersson, M., Olsson, N., Fält, A-S., Volpin, H., Hofvander, P., Gal-On, A., Eshel, D. Metabolic regulation of cold-induced sweetening in potato. Food Chem. 2023, 393, 133335.
- Ly, D.N.P., Iqbal, S., Fosu-Nyarko, J., Milroy, S., Jones M. G. K. Multiplex genome editing of potato for improved post-harvest traits. Theo. and Appl. Gen. 2023, 136 (5), 1081–1094.
- Potato Genome Sequencing Consortium. Genome sequence and analysis of the tuber crop potato. Nature 2011, 475, 189-195.
- Park, J., Bae, S., y Kim, J.-S. Cas-Designer: a web-based tool for choice of CRISPR-Cas9 target sites. Bioinformatics 2015, 31, 4014-4016.
- Nadakuduti, S.S., Starker, C.G., Voytas, D.F., Buell, C.R., Douches, D.S. Genome editing in potato with CRISPR/Cas9. Plant genome editing with CRISPR systems: Methods and protocols 2019, 664 183-201.
- Haymes, K.M. Mini-prep method suitable for a plant breeding program. Plant Molecular. Biol. Rep. 1996, 14, 280-284.
- Inc SS. SigmaPlot for windows (development and testing procedures): Version 12.0. Bochum: Triestram & Partner GmbH Bochum; 2008.
- Colman L.S., Massa G.A., Carboni M.F., Feingold S.E. 2017. Cold sweetening diversity in Andean potato germplasm from Argentina. Journal of the Science of Food and Agriculture, 97(14), 4744-4749.
- Yasmeen, A., Shakoor, S., Azam, S., Bakhsh, A., Shahid, N., Latif, A., Shahid, A.A., Husnain, A., Rao, A.Q. CRISPR/Cas-mediated knockdown of vacuolar invertase gene expression lowers the cold-induced sweetening in potatoes. Planta 2022, 256:107. [CrossRef]
- Liu, J., Cheng, Y., Ruan, M., Ye, Q., Wang, R., Yao, Z., Zhou, G., Li, Z., Liu, C., Wan, H. Roles and Regulations of Acid Invertases in Plants: Current Knowledge and Future Perspectives. Plants 2025, 14, 320. [CrossRef]
- Zhao, X., Jayarathna, S., Turesson, H., Fält, A.-S., Nestor, G., González, M.N., Olsson, N., Beganovic, M., Hofvander, P., Andersson, R., Andersson, M. Amylose starch with no detectable branching developed through DNA-free CRISPR-Cas9 mediated mutagenesis of two starch branching enzymes in potato. Scientific Reports 2021, 11, 4311.
- Wszelaczyńska, E., Wichrowska, D., Pińska, M., Rogozińska, I. Evaluation of Enzymatic browning degree of edible potato tubers induced by herbicides, mechanical damages and storage by means of instrumental and sensory methods. Pol. J. Food Nutr. Sci. 2007, Vol. 57, No. 3(A), pp. 163-166.
- Whelan, A.I., Lema, M.A. Regulatory framework for gene editing and other new breeding techniques (NBTs) in Argentina. GM Crops Food. 2015, 6(4):253-65. [CrossRef]
- Lema, M.A. Regulatory aspects of gene editing in Latin America. GMO Crops and Food 2019, 658 10(1), 52–60.
- European Food Safety Authority (EFSA). Acrylamide in food: health risks and mitigation strategies. EFSA Journal 2020, 18 (1), e06049.
- Zhu, X., Chen, A., Butler, N.M., Zeng, Z., Xin, H., Wang, L., Lv, Z., Eshel, D., Douches, D.S., Jiang, J. Molecular dissection of an intronic enhancer governing cold-induced expression of the vacuolar invertase gene in potato. The Plant Cell 2024, 36: 1985–1999. [CrossRef]
- European Commission. Commission implementing regulation (EU) 2020/1085 concerning maximum residue levels for chlorpropham in or on certain products. Official Journal of the European Union 2020.
- Dushyant, Roy, S., Mahan, N., Rani, D. V., Kumar, R., Gupta, D. K., Sharma, K. K., & Kumar, M. Impact of Climate Change on Global Potato Production: A Review. J. Global Agric. Ecol. 2024, vol. 16, no. 2, pp. 14-28, 2024; Article no.JOGAE.11951. [CrossRef]
- Hoekstra, A.Y., Mekonnen, M.M. The water footprint of humanity. PNAS 2021, 109 (9), 3232–3237.








| Primer name | Sequence (5´ - 3´) | Purpose |
|---|---|---|
| InvVac-F1 | CAATTCAGTTGCCCCCTGTC | Sequence analysis of InvVac gene of Solanum tubersoum cv. Spunta and cv. Atlantic |
| InvVac-R5 | CGCACGATTATTGTGTATGGTGCA | |
| sgRNAG0 | CCTCCCATTACACATTCCTC | sgRNA guide for InvVac |
| sgRNAG1 | CTATTTGGGGAAATATCACA | sgRNA guide for InvVac |
| sgRNAG4 | GAAGAAACAACGAAGAGTAC | sgRNA guide for InvVac |
| sgRNAG10 | GGTCAAGTACAAAGGCAACC | sgRNA guide for InvVac |
| sgRNA157 | TTTTCGATGTAACACGTGAC | sgRNA guide for PPO2 from González et al., 2020 [9] |
| HRFAG0R-FAM | TCGGAAAGAAGGCTACAGAAAG | Amplification of InvVac gene fragment spanning the sgRNAG0 target site for HRFA and NGS. This primer was combined with InvVac-F1 |
| HRFAG4F-NED | TGGGTTGAAGCTGGATTATGG | Amplification of InvVac gene fragment spanning the sgRNAG4 target site for HRFA. This primer was combined with InvVac-R5 |
| HRFAG1R-VIC | ATCGTACCATTGATCAGGAACC | Amplification of InvVac gene fragment spanning the sgRNAG1 target site for HRFA. |
| InvVac-F4 | TTGGTCAACAGGTCCATTGT | |
| PPO2_2Bf | GCTCCATTTCGGTGACTTT | Amplification of PPO2 gene fragment spanning the sgRNA157 target site for NGS from González et al., 2020 [9] |
| PPO2_2Br | TGGTGGCAAAGAGTTACAAG | |
| G2-R | TGGTTCCTGATCAATGGTAC | Amplification of InvVac gene fragment spanning the sgRNAG10 target site for NGS. |
| G3-R | GTCCAAGCAGTGGTGGGGTC |
| Cultivar | Line | Allelic variants in target site sgRNAG0 by HRFA | Allelic variants in target site sgRNAG4 by HRFA | Allelic variants in target site sgRNAG0 by NGS | Allelic variants in target site sgRNAG4 by NGS |
|---|---|---|---|---|---|
| Spunta | 37S | -2;-5;-6;-12 | 0 | -2;-5;-6;-12 | 0 |
| 38S | -3 | -2;-3;-5 | -2; 0 | -2;-3;-5 | |
| 44S | -2;0 | 0 | ND | ND | |
| 75S | -1;-3;-7 | 0 | -1;-3;-7 | 0 | |
| Atlantic | 6A | +2;-2;-4 | 0 | +1;-2 | 0 |
| 13A | -3;-4 | -6;-12;-28;0 | ND | ND | |
| 16A | 0;-3;-6 | 0 | ND | ND | |
| 30A | 0;-3 | 0 | ND | ND | |
| 38A | +1;-1 | 0 | +1;-1; 0 | 0 |
| Line | Allelic variants G0 |
Allelic variants G157 |
Line | Allelic variants G10 |
Allelic variants G157 |
|---|---|---|---|---|---|
| E03-2A | -1;0 | -2; 0 | E04-2A | - 1;-1;0 | -2; 0 |
| E03-3 | +3; -5; -4; -2 | -2; - 1; 0 | E04-2B | 0 | -1; -1; 0 |
| E03-4 | 0 | 2; 0 | E04-3 | -1; 0 | NR |
| E03-5A | 0 | -2; 0 | E04-4A | -1; -1; 0 | -2; 0 |
| E03-5B | 0 | -2; 0 | E04-4B | -1; -1; 0 | -2; 0 |
| E03-6A | -2; -1; 0 | -2; 0 | E04-4C | -1; 0 | NR |
| E03-7A | 0 | -2; 0 | E04-4D | 0 | -2; -1; 0 |
| E03-7B | -1; 0 | -2; 0 | E04-5A | +1; -1;0 | +1; -1; -2; 0 |
| E03-8A | NR | -2; 0 | E04-5B | +1; -1;0 | +1; -1; -2; 0 |
| E03-8D | 0 | -2; 0 | E04-5C | +1; -1;0 | +1; -1; -2; 0 |
| E03-10B | NR | -2; 0 | E04-5D | +1; -1;0 | NR |
| E03-11C | 0 | -2; -47; -49; 0 | E04-6A | 0 | -2; 0 |
| E03-14B | 0 | -2; -49; -47; 0 | E04-6B | -2; 0 | -2; 0 |
| E03-15C | -1; 0 | -2; -35; -49; 0 | E04-6C | 0 | -2; 0 |
| E03-17B | 0 | -2; - 14; 0 | E04-6D | -1; 0 | -2; -1;0 |
| E03-17D | 0 | -2; 0 | E04-6E | 0 | -2; 0 |
| E03-20B | -1; -2; 0 | -2; 0 | E04-6F | -1;0 | -2; 0 |
| E03-20C | 0 | -2; -1; 0 | E04-7A | 0 | -2; 0 |
| E03-21B | 0 | -2; -5; 0 | E04-7B | -1; 0 | -2; - 1; 0 |
| E03-28 | 0 | -2; 0 | E04-8A | 0 | -2; -1; 0 |
| E03-29 | 0 | -2; 0 | E04-8B | 0 | -1;0 |
| E03-33B | 0 | NR | E04-8C | -1; 0 | -2; -1; 0 |
| E03-34 | 0 | -2; 0 |
| Line | Storage at 4ºC (days) | Average scale values of color card | Average DW | Average Reducing sugar (mg/gr. FW) | Average Sucrose (mg/gr. FW) |
|---|---|---|---|---|---|
|
Atlantic |
0 | 8.8 + 0.45 A | 36.6 + 3.4 A | 0.6 + 0.02 A | 2.6 + 0.75 A |
| 15 | 4 + 0 B | 52.1 + 3.5 B | 7.2 + 0.69 B | 6.1 + 0.46 B | |
|
6A |
0 | 8.3 + 0.5 A | 44.6 + 1.7 A | 0.4 + 0.01 A | 7.7 + 1.75 A |
| 15 | 8.3 + 0.96 A | 41.9 + 3.5 A | 0.7 + 0.18 A | 3.5 + 0.27 B | |
| 60 | 8 + 0.71 A | 42.1 + 4.9 A | 0.9 + 0.03 A | 7.8 + 1.39 A | |
|
13A |
0 | 8.3 + 0.96 A | 41.7 + 2.7 A | 0.2 + 0.07 A | 1.8 + 1.13 A |
| 15 | 6.3 + 0.5 B | 47.3 + 4.3 A | 1.8 + 0.61 B | 4.7 + 1.45 A | |
| 60 | 3 + 0 C | 54.7 + 4.7 B | 6.3 + 1.33 C | 3.0 + 0.59 A | |
|
38A |
0 | 8.8 + 0.5 A | 36.2 + 1.7 A | 0.1 + 0.02 A | 1.1 + 0.10 A |
| 15 | 8 + 0.82 A | 45.2 + 4.3 B | 0.8 + 0.27 A | 5.5 + 2.14 B | |
| 60 | 6.4 + 0.55 B | 47.3 + 1.3 B | 2.4 + 0.52 B | 5.5 + 2.20 B | |
|
Spunta |
0 | 7.8 + 1.5 A | 45.1 + 4.0 A | 0.7 + 0.04 A | 2.9 + 0.87 A |
| 15 | 1.3 + 0.5 B | 59.9 + 2.2 B | 7.9 + 0.58 B | 2.2 + 0.31 A | |
|
37S |
0 | 7.3 + 1.5 A | 47.9 + 0.8 A | 2.7 + 0.64 A | 2.7 + 1.32 A |
| 15 | 2 + 1.41 B | 63.5 + 1.8 B | 6.8 + 1.61 A | 7.7 + 1.76 B | |
|
75S |
0 | 7.3 + 1.5 A | 42.7 + 6.4 A | 0.9 + 0.05 A | 2.2 + 0.42 A |
| 15 | 1.5 + 1 B | 64.9 + 0.2 B | 8.6 + 0.55 A | 6.8 + 0.20 B | |
|
SpuntaD |
0 | 4.8 + 0.4 A | 53.5 + 1.84 A | 2.3 + 0.26 A | 1.5 + 0.55 A |
| 15 | 1.4 + 0.5 B | 61.1 + 0.96 B | 10 + 2.61 A | 1.7 + 0.15 A | |
|
E04-5B |
0 | 6 + 0 A | 45.9 + 1.56 A | ND | ND |
| 15 | 4 + 0.7 B | 57.6 + 2.14 B | ND | ND | |
| E03-3 | 0 | 9 + 0 A | 41.6 + 3.97 A | 0.4 + 0.03 A | 1.7 + 0.36 A |
| 15 | 7 + 0 B | 44.7 + 2.32 A | 1.5 + 0.89 A | 7.1 + 0.03 B | |
| 60 | 5.3 + 0.6 C | 58.1 + 0.68 B | 2.9 + 0.13 B | 9.1 + 0.21 B |
Disclaimer/Publisher’s Note: The statements, opinions and data contained in all publications are solely those of the individual author(s) and contributor(s) and not of MDPI and/or the editor(s). MDPI and/or the editor(s) disclaim responsibility for any injury to people or property resulting from any ideas, methods, instructions or products referred to in the content. |
© 2025 by the authors. Licensee MDPI, Basel, Switzerland. This article is an open access article distributed under the terms and conditions of the Creative Commons Attribution (CC BY) license (http://creativecommons.org/licenses/by/4.0/).