Submitted:
07 February 2025
Posted:
10 February 2025
You are already at the latest version
Abstract
We study quantum control of classical motion of a two-dimensional exciton by optimizing the time-dependent electric field of a stripe-like gate acting on the exciton and inducing its time-dependent quantum dipole moment. We propose a search method that significantly reduces computational requirements while efficiently identifying optimal control parameters. By leveraging this method, one can precisely manipulate the exciton’s final position and velocity over a specified evolution time. These results can be applied for control of exciton fluxes and population, and for spatially resolved light emission in two-dimensional semiconducting structures.
Keywords:
1. Introduction
2. Model and equations of motion
2.1. Dipole Moment
2.2. Electric field of the gate
3. Control of classical motion
3.1. Search Problem
3.2. Search Method
- Step 1: We begin with selecting a relatively larger initial step size and employing direct calculation. For each point within the cube, the corresponding charge density varies accordingly. Using the Runge-Kutta method, we numerically solve the coupled Eqs. (5), (), (9), and (12). This process yields the exciton’s final position and final velocity at . Each point satisfied the conditions in Eq. (15) is labeled as valid, others are labeled as invalid.
- Step 2: Each valid point obtained from Step 1 is now treated as an initial point to construct a local neighborhood. Toward an initial point , we define its neighborhood by independently adjusting each coordinate with a reduced step size :where the multipliers , , and are chosen from the set , which corresponds to decreasing the coordinate by , leaving it unchanged, or increasing it by , respectively. This approach generates all possible combinations of such adjustments simultaneously for , , and . This yields total combinations (), one being itself and the remaining points surrounding it;
- Step 3: Applying the same numerical method used in Step 1, we evaluate the points in each neighborhood to determine which point remains valid under the reduced step size . By focusing on neighborhoods around previously identified valid points, we concentrate computational effort on the regions with potential to find the valid points;
- Step 4: Valid points from Step 3 serve as updated initial points. The step size is further reduced to , and the same process is repeated along all directions. By iteratively narrowing the step size and concentrating on neighborhoods around valid points, we achieve a more precise and efficient identification of additional valid parameter combinations.
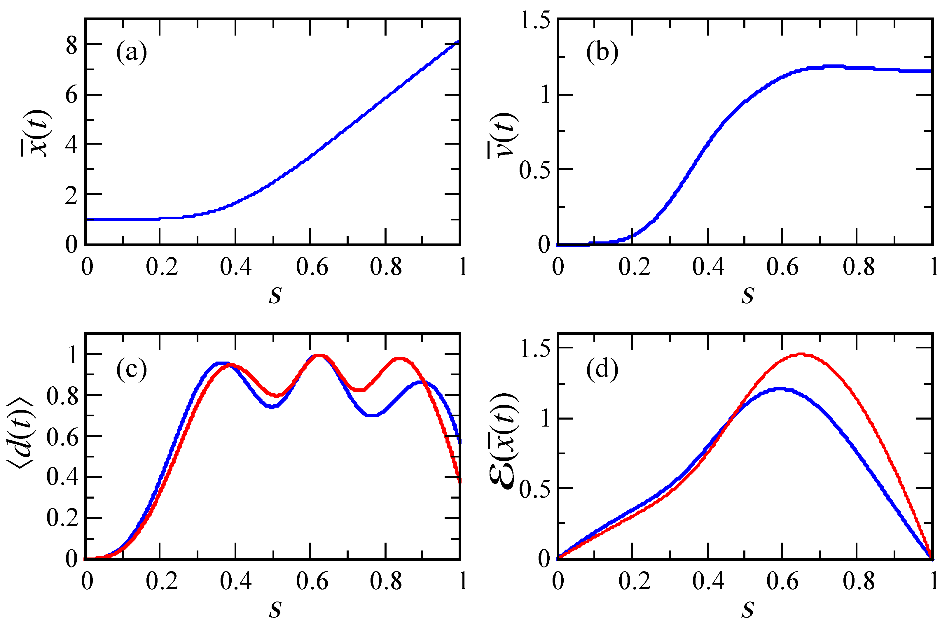
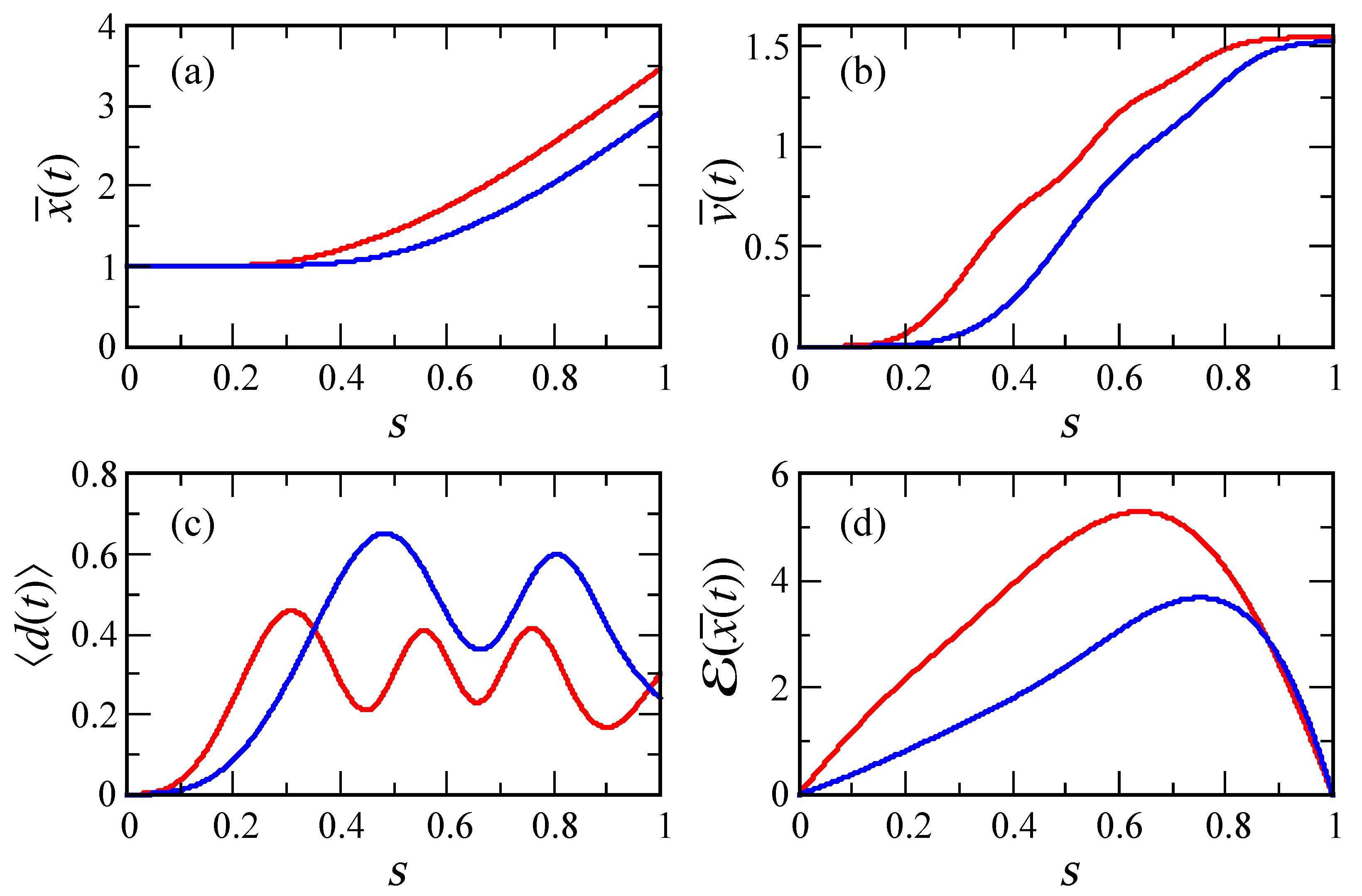
3.3. Search Results
4. Conclusions and outlook
Author Contributions
Funding
Conflicts of Interest
Abbreviations
| 2D | two-dimensional |
| QW | quantum well(s) |
References
- Knox, R. Theory of Excitons; Academic Press: New York and London, 1963. [Google Scholar]
- Wang, G.; Chernikov, A.; Glazov, M.M.; Heinz, T.F.; Marie, X.; Amand, T.; Urbaszek, B. Colloquium: Excitons in atomically thin transition metal dichalcogenides. Reviews of Modern Physics 2018, 90, 021001. [Google Scholar] [CrossRef]
- Lozovik, Y.E.; Ovchinnikov, I.; Volkov, S.Y.; Butov, L.; Chemla, D. Quasi-two-dimensional excitons in finite magnetic fields. Physical Review B 2002, 65, 235304. [Google Scholar] [CrossRef]
- Yang, X.; Guo, S.; Chan, F.; Wong, K.; Ching, W. Analytic solution of a two-dimensional hydrogen atom. I. Nonrelativistic theory. Physical Review A 1991, 43, 1186. [Google Scholar] [CrossRef] [PubMed]
- Remeika, M.; Fogler, M.M.; Butov, L.V.; Hanson, M.; Gossard, A.C. Two-dimensional electrostatic lattices for indirect excitons. Applied Physics Letters 2012, 100. [Google Scholar] [CrossRef]
- High, A.A.; Leonard, J.R.; Hammack, A.T.; Fogler, M.M.; Butov, L.V.; Kavokin, A.V.; Campman, K.L.; Gossard, A.C. Spontaneous coherence in a cold exciton gas. Nature 2012, 483. [Google Scholar] [CrossRef] [PubMed]
- Dorow, C.; Leonard, J.; Fogler, M.; Butov, L.; West, K.; Pfeiffer, L. Split-gate device for indirect excitons. Applied Physics Letters 2018, 112. [Google Scholar] [CrossRef]
- High, A.; Hammack, A.; Butov, L.; Hanson, M.; Gossard, A. Exciton optoelectronic transistor. Optics letters 2007, 32. [Google Scholar] [CrossRef] [PubMed]
- Kuznetsova, Y.; High, A.; Butov, L. Control of excitons by laterally modulated electrode density. Applied Physics Letters 2010, 97. [Google Scholar] [CrossRef]
- Ross, J.S.; Rivera, P.; Schaibley, J.; Lee-Wong, E.; Yu, H.; Taniguchi, T.; Watanabe, K.; Yan, J.; Mandrus, D.; Cobden, D.; et al. Interlayer exciton optoelectronics in a 2D heterostructure p-n junction. Nano letters 2017, 17. [Google Scholar] [CrossRef] [PubMed]
- Gregg, B.A. Excitonic solar cells. The Journal of Physical Chemistry B 2003, 107. [Google Scholar] [CrossRef]
- Pandey, A.; Min, J.; Reddeppa, M.; Malhotra, Y.; Xiao, Y.; Wu, Y.; Sun, K.; Mi, Z. An ultrahigh efficiency excitonic micro-LED. Nano Letters 2023, 23. [Google Scholar] [CrossRef] [PubMed]
- Li, J.; Sherman, E.Y.; Ruschhaupt, A. Quantum control of classical motion: piston dynamics in a Rabi-coupled Bose-Einstein condensate. New Journal of Physics 2024, 26, 053031. [Google Scholar] [CrossRef]
- Cohen, T.C.; Diu, B.; Laloë, F. Quantum Mechanics; Wiley & Sons: New York, 1986. [Google Scholar]
- Guéry-Odelin, D.; Ruschhaupt, A.; Kiely, A.; Torrontegui, E.; Martínez-Garaot, S.; Muga, J.G. Shortcuts to adiabaticity: Concepts, methods, and applications. Reviews of Modern Physics 2019, 91, 045001. [Google Scholar] [CrossRef]
- Beau, M.; Barbier, M.; Martellini, R.; Martellini, L. Time-of-arrival distributions for continuous quantum systems and application to quantum backflow. Physical Review A 2024, 110, 052217. [Google Scholar] [CrossRef]
- Palmero, M.; Torrontegui, E.; Muga, J.G.; Modugno, M. Detecting quantum backflow by the density of a Bose-Einstein condensate. Physical Review A 2013, 87, 053618. [Google Scholar] [CrossRef]
- Barbier, M.; Goussev, A. On the experiment-friendly formulation of quantum backflow. Quantum 2021, 5, 536. [Google Scholar] [CrossRef]
- Sadreev, A.F.; Sherman, E.Y. Effect of gate-driven spin resonance on the conductance through a one-dimensional quantum wire. Physical Review B 2013, 88, 115302. [Google Scholar] [CrossRef]
- Ungar, F.; Tamborenea, P.I.; Axt, V.M. Spin dynamics of hot excitons in diluted magnetic semiconductors with spin-orbit interaction. Physical Review B 2019, 100, 045306. [Google Scholar] [CrossRef]






| Original Search Method | Directly Calculating | Efficiency Improvement | |
|---|---|---|---|
| 0.32 | 32768 (18) | 32768 (18) | 0% |
| 0.16 | 327 (105) | (131) | 87.27% |
| 0.08 | 1591 (799) |
| Modified Search Method | Directly Calculating | Efficiency Improvement | |
|---|---|---|---|
| 0.32 | 32768 (18) | 32768 (18) | 0% |
| 0.16 | 903 (129) | (131) | 87.05% |
| 0.08 | 4221 (984) |
| Modified Search Method | Directly Calculating | Efficiency Improvement | |
|---|---|---|---|
| 0.32 | 32768 (111) | 32768 (111) | 0% |
| 0.16 | 3471 (977) | (985) | 86.06% |
| 0.08 | 18618 (8178 ) |
Disclaimer/Publisher’s Note: The statements, opinions and data contained in all publications are solely those of the individual author(s) and contributor(s) and not of MDPI and/or the editor(s). MDPI and/or the editor(s) disclaim responsibility for any injury to people or property resulting from any ideas, methods, instructions or products referred to in the content. |
© 2025 by the authors. Licensee MDPI, Basel, Switzerland. This article is an open access article distributed under the terms and conditions of the Creative Commons Attribution (CC BY) license (http://creativecommons.org/licenses/by/4.0/).
