Preprint
Communication

This version is not peer-reviewed.

Establishment of Intestinal Organoids from Common Marmosets

A peer-reviewed article of this preprint also exists.

Submitted:

22 January 2025

Posted:

22 January 2025

You are already at the latest version

Abstract
Intestinal organoids are useful for in vitro investigation of the properties of intestinal epithelial cells and their interaction with gut microbiome. Here, we established cecal and colonic organoids from common marmosets, which are highlighted as model nonhuman primates but susceptible to gastrointestinal diseases. Established organoids were capable of passaging and long term culture. Results of quantitative reverse transcription PCR and immunostaining showed differentiation of the organoids into major cell types in the intestinal epithelium (colonocytes, goblet cells and enteroendocrine cells), enabling in vitro analysis of these cells in marmosets. The organoids will be a useful model for the investigation of gut physiology related to gastrointestinal diseases and gut-microbiome interactions, further expanding medical, biological and veterinary research in the future.
Keywords: 
;  ;  ;  

1. Introduction

The intestinal epithelium is a single layer of cells that covers the surface of the intestine. The intestinal lumen contains various substances, including nutrients, gut microbiota, and their metabolites. The intestinal epithelium interacts with these substances through intestinal epithelial cells (IECs), which consist of specialized differentiated cells such as absorptive cells (enterocytes in the small intestine and colonocytes in the large intestine; responsible for digesting food and drugs and absorbing them), goblet cells (which secrete mucus), and enteroendocrine cells (which detect luminal chemicals and secrete gut hormones). Studying the functions and characteristics of IECs is crucial for understanding gut physiology, including processes such as food digestion, nutrient sensing, drug metabolism, and host-microbiome interactions [1].
All cell types in intestinal epithelial cells (IECs) are derived from intestinal stem cells (ISCs), which are located at the base of the intestinal crypts. Findings related to ISC niche factors and the use of laminin-rich extracellular matrix have enabled the in vitro maintenance of IECs in the form of intestinal organoids. These organoids are self-organized, three-dimensional (3D) structures consisting of a single layer of IECs [2,3]. Intestinal organoids are now widely used as in vitro models to study the characteristics and functions of IECs due to their ability to faithfully replicate IEC functions in vitro [4,5]. Additionally, advancements in techniques such as genome editing [6] and coculture with microbes [7] have further enhanced the utility of intestinal organoids as powerful tools for studying gut physiology.
This culture system has been successfully applied not only to human and mice, but also to various model and livestock animals such as macaque, canine, feline, bat, bovine, porcine, rabbit, horse, sheep and chicken [8,9,10,11,12,13]. However, intestinal organoids from common marmosets (Callithrix jacchus) have not been reported so far. Common marmosets are small primates native to South America. Recently, they have been paid attention as small-bodied and highly reproductive non-human primate models for biomedical studies[14,15,16,17]. They are also utilized to study gut physiology, particularly aspects related to the gut microbiome. For example, changes in gut microbiome in relation to age [16] and diet [18] have been investigated in marmosets. Host-microbiome interactions in this species have also been studied using transcriptomic analyses [17]. Furthermore, the high susceptibility of common marmosets to gastrointestinal diseases is a problem when keeping them in captive, prompting several studies aimed at identifying the causes and developing treatments for these diseases [19,20,21]. Despite these advances in understanding marmoset gut physiology, to the best of our knowledge, culture systems capable of providing in vitro models for studying the common marmoset gut have not yet been established. Therefore, developing intestinal organoids from common marmosets would be valuable for experimentally verifying and advancing these studies.
In the present study, we established intestinal organoids from the cecum and colon of common marmosets. These intestinal segments were selected because marmosets are known to be hindgut fermenters with evolutionarily enlarged cecum [22]. Results from RT-qPCR and immunostaining analyses of the established cecal and colonic organoids demonstrated that the organoids differentiated into major intestinal epithelial cell (IEC) subtypes. Intestinal organoids derived from common marmosets will serve as an excellent tool for studying the gut physiology of this species in the future.

2. Materials and Methods

2.1. Animals

6 common marmosets (0–3 years old) were used in this study. Detailed information about individuals and sampling is listed in table S1. The study was approved by the Animal Welfare and Animal Care Committee of the Center for the Evolutionary Origins of Human Behavior, Kyoto University (permission numbers 2023-134 (approved April 1st, 2023), 2024- 023 (approved April 1st, 2024).

2.2. Organoid Culture Media

Organoid culture media were prepared reffering to Fujii et al. 2018 [3]. The basal medium was prepared by supplementing Advanced Dulbecco’s Modified Eagle Medium/Ham’s F12 with 10 mM HEPES buffer, 2 mM L-Alanyl-l-Glutamine, 1 × B27 supplement, 1 × N2 supplement (all from Gibco, Waltham, MA, USA), 10 μg/mL Gentamycin and 250 ng/mL Amphotericin B (both from Sigma-Aldrich, St. Louis, MO, USA). Growth medium was prepared by supplementing basal medium with 50% human Wnt3a conditioned medium (lab-made[23]), 10% human Rspondin-2 conditioned medium (lab-made[24]), 100 ng/mL recombinant human Noggin (Proteintech, Rosemont, IL, USA), 100 ng/mL recombinant human IGF-1 (FUJIFILM WAKO Pure Chemical Corporation, Osaka, Japan), 50 ng/mL recombinant human FGF-basic (FGF-2) (FUJIFILM WAKO Pure Chemical Corporation), 500 nM A83-01 (FUJIFILM WAKO Pure Chemical Corporation), 1 mM N-acetylcysteine (Sigma-Aldrich), 10 nM human [Leu15]-gastrin 1 (Sigma-Aldrich), 10 mM nicotinamide (FUJIFILM WAKO Pure Chemical Corporation), and 50 ng/mL recombinant human EGF (FUJIFILM WAKO Pure Chemical Corporation).

2.3. Crypt Isolation and Organoid Culture

Crypt isolation and organoid culture was conducted as previously described [8,25] with a little modification. Briefly, intestinal tissues were dissected and mucosal surfaces were washed with ice-cooled DPBS supplemented with penicillin-streptomycin. Tissues were incubated with chelation buffer (DPBS with 2% D-glucitol, 1% sucrose, 1% BSA, penicillin-streptomycin) containing 2mM EDTA for 30-60 minutes. After rinsing with cold chelation buffer, the mucosal surfaces were scraped with sterilized forceps to isolate the intestinal crypts.
Gained crypts were enriched by centrifugation (400×g, 5min), embedded in Matrigel (Corning, NY, USA) and covered with growth medium. The medium was refreshed every 2 days. The organoids were passaged once in 7-9 days by physical dissociation using P10 pipette tips attached to P200 pipette tips with split ratio of 1:3-1:5 (“mechanical passage”), or by chemical dissociation using TrypLE Express (Gibco, Waltham, MA, USA) (“chemical passage”) with seeding density at 1~2*104 cells per drop (25μL). ROCK inhibitor Y-27632 (FUJIFILM WAKO Pure Chemical Corporation) was added for 2 days after passaging.

2.4. Quantitative Reverse Transcription Polymerase Chain Reaction (RT-qPCR)

Tissues were sampled and soaked in RNAlater (lab-made) for one night at 4°C. Organoids were homogenized in buffer RLT in RNeasy Plus Mini Kit (Qiagen GmbH, Hilden, Germany). After that, total RNA was isolated from organoids and tissues using RNeasy Plus Mini Kit, according to the manufacturer’s instructions. cDNA was synthesized using PrimeScript RT reagent kit with gDNA Eraser (Takara, Shiga, Japan). Quantitative RT-PCR was performed with THUNDERBIRD NEXT SYBR qPCR Mix (Toyobo, Osaka, Japan) and StepOne Plus System (Applied Biosystems, Foster City, CA). Marker genes were selected according to previous studies [9,13]. Sequences of the primers used in this study are listed in table S2. Statistical analysis was performed using ΔCt values [26].

2.5. Immunstaining of Organoids and Tissues

Tissues were fixed in 4% paraformaldehyde 0.1M phosphate buffer solution (4% PFA, Muto Pure Chemicals, Tokyo, Japan) overnight at 4℃ and embedded in paraffin. Organoids were gently washed in DPBS and fixed in 4% PFA for 20 minutes at room temperature. Fixed organoids were rinsed three times in DPBS, embedded in 3% (w/v) agarose followed by embedding in paraffin. Samples were sectioned at 5 μm, deparaffinized and rehydrated in a graded alcohol series. Antigen was retrieved by tris-EDTA buffer (lab-made). Blocking was performed by 10% normal horse serum (S-2000; Vector Laboratories, Burlingame, CA) diluted in PBS-T at room temperature for 1 h, and sections were incubated overnight at 4℃ with primary antibodies (table S3) diluted in blocking solution. Primary antibodies were detected using 488 or 555 Alexa secondary antibodies (1:1000) (Thermo Fisher Scientific) for 1 h at room temperature. Nuclei were stained with DAPI (Dojindo Molecular Technologies, Tokyo, Japan). Stained sections were mounted by Mountant Permafluor (TA-030-FM; Thermo Fisher Scientific, Waltham, MA) and observed with a fluorescence microscope (LSM-510, Axioplan 2; Carl Zeiss Microscopy GmbH) mounted on a cooled charge-coupled device camera system (Cool SNAP HQ; Photometrics, Tucson, AZ).

3. Results

3.1. Common Marmoset Cecal and Colonic Organoids Were Successfully Cultured with Budding Structure

The crypts of common marmoset cecum and colon were embedded in matrigel and cultured in medium containing ISC niche factors. After one week of culture, we observed growth of organoid-like structures from the cecal and colonic crypts. Gained organoids were capable of passaging and long-term expansion (Figure 1A). Cecal and colonic organoids were successfully established from one adult (Cj768) and three infant individuals (Cj936, 944, 967). Organoids could both mechanically (physical dissociation by pipetting) and chemically (dissociation by digestive enzymes) passaged. Since mechanically passaged organoids showed better growth (Figure 1C), we cultured organoids with mechanical passaging method in the following experiments.

3.2. Basic Characterization of Cecal Organoids by RT-qPCR

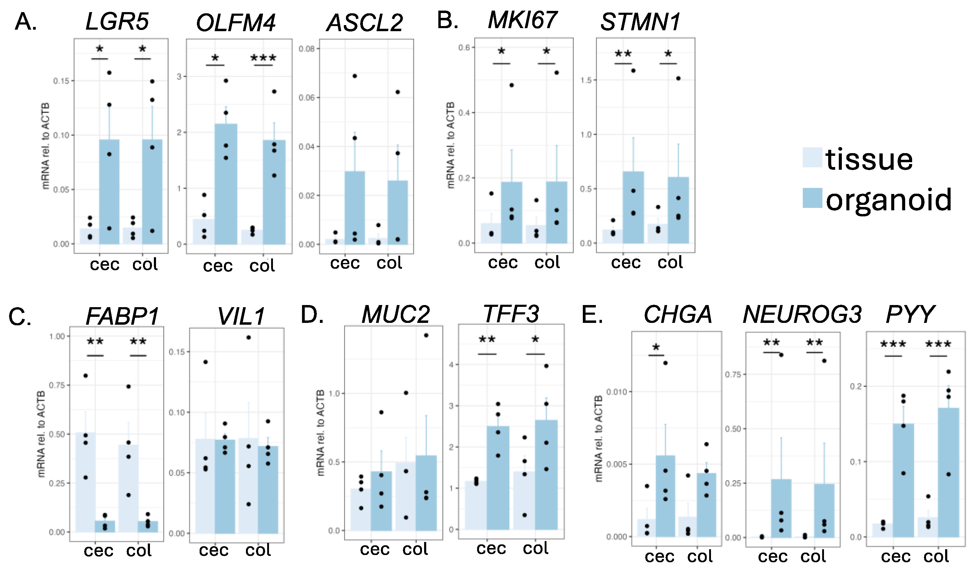
To identify which type of cells were contained in the cecal and colonic organoids, we performed quantitative reverse transcription PCR. We detected expression of all the genes that have been examined, suggesting that all major IEC subtypes were present in cultured organoids (Figure 2). Almost all markers of ISC (Figure 2A) and transit-amplifying (TA) cells (Figure 2B) showed higher expression compared to tissues. Colonocyte marker FABP1 showed significantly lower expression in cells than tissues (Figure 2C), which is consistent with the previous study that showed immaturity of enterocytes in this culture condition [3]. Notably, cecal and colonic organoids tended to show higher expression of secretory cell markers (TFF3, NEUROG3, PYY) compared to tissues.

3.3. Immunofluorescence of Cecal Organoids

Finally, the structure and cellular distribution in the cecal and colonic organoids were confirmed by immunostaining. The specificity of the antibodies was validated using tissues (Figure 3A,B). Staining for the epithelial cell marker E-cadherin visualized the budding morphology of the established organoids (cecal: Figure 3C, colonic: Figure 3D, "E-cad", Figure S1). Cells within the organoids oriented their VIL1-positive apical sides toward the inner lumen of the organoids (Figure 3C,D, "VIL1").
The organoids abundantly contained MKI67-positive proliferating cells (Figure 3C,D, "MKI67"), indicating that the organoids were actively proliferating. MUC2-positive goblet cells and CHGA-positive enteroendocrine cells were also observed (Figure 3C,D). Most CHGA-positive cells were co-stained with 5-HT (serotonin), a type of gut hormone, consistent with the results observed in the tissue (Figure 3A-D, “5-HT” “CHGA” “Merge”).

4. Discussion

In this study, we succeeded in culturing intestinal organoids from common marmosets. Among the established organoids, we performed basic characterization on cecal and colonic organoids. Marmoset cecal and colonic organoids had budding morphology unlike organoids from macaque large intestines [8,9], which had spheric morphology and contained little differentiated cells in proliferation state.
RT-qPCR results revealed that many of the marker genes for ISCs, TA cells, goblet cells and enteroendocrine cells exhibited higher expression levels in organoids compared to tissues. Immunostaining further confirmed that organoids include cells that can produce secretory substances such as MUC2 and 5-HT. These findings indicate that the organoids we established possess the ability to differentiate into secretory cells while retaining proliferative capacity.
In macaque colonic organoids established by Li et al. [9], marker genes of secretory cells (goblet and enteroendocrine cells) were expressed at lower levels compared to colonic tissue. The differences in RT-qPCR results between Li et al. and our study may due to either interspecies variations or differences in culture conditions. The culture medium used by Li et al., which supplements media with the p38 inhibitor SB202190, is known to enhance organoid proliferation. In contrast, the medium we employed substitutes SB202190 with IGF-1 and FGF-2, which have been reported to promote ISC differentiation into secretory cells [3]. These differences in culture conditions are consistent with the discrepancies observed between our RT-qPCR data and those of Li et al. Although we are currently unable to disentangle the effects of interspecies differences from those of culture conditions, we propose that the culture medium developed by Fujii et al. [3] is particularly suitable for establishing intestinal organoids rich in secretory cells from nonhuman primates.
Common marmoset cecal and colonic organoids and methods to establish them can be applied to various aspects when studying marmoset gut physiology. Intestinal organoids are highlighted these days as an in vitro model suitable for the studies of host-microbiome interactions in the gut [27]. Understanding this aspect in marmoset gut is useful not only for biomedical studies, but also for understanding how their special feeding habit in the wild, exudativory [28,29]. Furthermore, it is known that intestinal diseases such as marmoset wasting syndrome (WMS) [19] and marmoset duodenal dilation syndrome [20] are common in captive common marmosets. As for WMS, previous studies revealed that change in IEC functions are observed in marmosets with this disease [19]. By culturing intestinal organoids from healthy and diseased marmosets and comparing the features, it may be possible to understand the molecular basis of these diseases.
In summary, we successfully established common marmoset intestinal organoids. Although some improvements in the culture system are required, common marmoset intestinal organoids have various implications and will promisingly contribute to medical, biological and veterinary research in the near future.

Supplementary Materials

The following supporting information can be downloaded at the website of this paper posted on Preprints.org. Table S1: information about individuals and cell lines used in this study;Table S2: primers for RT-qPCR; Table S3: antibody list. Figure S1 shows the zoomed out view on immunostaining results.

Author Contributions

Conceptualization, A.I. and H.I.; methodology, K.I.; data collection (organoid culture, qPCR and immunostaining) and writing (original draft preparation), A.I.; writing (review and editing), H.I. and K.I.; funding acquisition, H.I. and K.I. All authors have read and agreed to the published version of the manuscript.

Funding

This research was funded by JSPS Kakenhi, grant number 23K23937, 23K23557 and 24K21275, and Society for Research on Umami Taste.

Institutional Review Board Statement

The study was approved by the Animal Welfare and Animal Care Committee of the Center for the Evolutionary Origins of Human Behavior, Kyoto University (permit numbers 2023-134, 2024-023), based on the Guidelines for Care and Use of Nonhuman Primates of the Primates Institute, Kyoto University (version 3; 9 June 2010).

Informed Consent Statement

Not applicable.

Data Availability Statement

All the data are shown in the main manuscript.

Acknowledgments

We thank all the people in Center for the Evolutionary Origins of Human Behavior, Kyoto University, who engaged in the care and dissection of animals used in this study. We thank H. Clevers for the Wnt3a producing cell line and J. Whitsett for the R-spondin2 producing cell line.

Conflicts of Interest

The authors declare no conflicts of interest.

References

  1. Flier, L.G.v.d.; Clevers, H. Stem cells, self-renewal, and differentiation in the intestinal epithelium. Annual review of physiology 2009, 71. [Google Scholar] [CrossRef]
  2. Sato, T.; Stange, D.E.; Ferrante, M.; Vries, R.G.J.; Es, J.H.V.; Brink, S.V.d.; Houdt, W.J.V.; Pronk, A.; Gorp, J.V.; Siersema, P.D.; et al. Long-term expansion of epithelial organoids from human colon, adenoma, adenocarcinoma, and Barrett's epithelium. Gastroenterology 2011, 141. [Google Scholar] [CrossRef] [PubMed]
  3. Fujii, M.; Matano, M.; Toshimitsu, K.; Takano, A.; Mikami, Y.; Nishikori, S.; Sugimoto, S.; Sato, T. Human Intestinal Organoids Maintain Self-Renewal Capacity and Cellular Diversity in Niche-Inspired Culture Condition. Cell stem cell 2018, 23. [Google Scholar] [CrossRef] [PubMed]
  4. Takahashi, Y.; Noguchi, M.; Inoue, Y.; Sato, S.; Shimizu, M.; Kojima, H.; Okabe, T.; Kiyono, H.; Yamauchi, Y.; Sato, R. Organoid-derived intestinal epithelial cells are a suitable model for preclinical toxicology and pharmacokinetic studies. iScience 2022, 25. [Google Scholar] [CrossRef]
  5. Yamashita, T.; Inui, T.; Yokota, J.; Kawakami, K.; Morinaga, G.; Takatani, M.; Hirayama, D.; Nomoto, R.; Ito, K.; Cui, Y.; et al. Monolayer platform using human biopsy-derived duodenal organoids for pharmaceutical research. Molecular therapy. Methods & clinical development 2021, 22. [Google Scholar] [CrossRef]
  6. Fujii, M.; Matano, M.; Nanki, K.; Sato, T. Efficient genetic engineering of human intestinal organoids using electroporation. Nature protocols 2015, 10. [Google Scholar] [CrossRef] [PubMed]
  7. Puschhof, J.; Pleguezuelos-Manzano, C.; Martinez-Silgado, A.; Akkerman, N.; Saftien, A.; Boot, C.; Waal, A.d.; Beumer, J.; Dutta, D.; Heo, I.; et al. Intestinal organoid cocultures with microbes. Nature protocols 2021, 16. [Google Scholar] [CrossRef]
  8. Inaba, A.; Kumaki, S.; Arinaga, A.; Tanaka, K.; Aihara, E.; Yamane, T.; Oishi, Y.; Imai, H.; Iwatsuki, K. Generation of intestinal chemosensory cells from nonhuman primate organoids. Biochemical and biophysical research communications 2021, 536. [Google Scholar] [CrossRef]
  9. Li, H.; Wang, Y.; Zhang, M.; Wang, H.; Cui, A.; Zhao, J.; Ji, W.; Chen, Y.-G. Establishment of porcine and monkey colonic organoids for drug toxicity study. Cell Regeneration 2021, 10, 32. [Google Scholar] [CrossRef] [PubMed]
  10. Chandra, L.; Borcherding, D.C.; Kingsbury, D.; Atherly, T.; Ambrosini, Y.M.; Bourgois-Mochel, A.; Yuan, W.; Kimber, M.; Qi, Y.; Wang, Q.; et al. Derivation of adult canine intestinal organoids for translational research in gastroenterology. BMC Biology 2019, 17, 33. [Google Scholar] [CrossRef]
  11. Powell, R.H.; Behnke, M.S. WRN conditioned media is sufficient for in vitro propagation of intestinal organoids from large farm and small companion animals. Biology Open 2017, 6, 698–705. [Google Scholar] [CrossRef] [PubMed]
  12. Zhou, J.; Li, C.; Liu, X.; Chiu, M.C.; Zhao, X.; Wang, D.; Wei, Y.; Lee, A.; Zhang, A.J.; Chu, H.; et al. Infection of bat and human intestinal organoids by SARS-CoV-2. Nature Medicine 2020, 26, 1077–1083. [Google Scholar] [CrossRef] [PubMed]
  13. Mussard, E.; Pouzet, C.; Helies, V.; Pascal, G.; Fourre, S.; Cherbuy, C.; Rubio, A.; Vergnolle, N.; Combes, S.; Beaumont, M. Culture of rabbit caecum organoids by reconstituting the intestinal stem cell niche in vitro with pharmacological inhibitors or L-WRN conditioned medium. Stem cell research 2020, 48. [Google Scholar] [CrossRef] [PubMed]
  14. Zühlke, U.; Weinbauer, G. The common marmoset (Callithrix jacchus) as a model in toxicology. Toxicologic pathology 2003, 31 Suppl. [Google Scholar] [CrossRef]
  15. Inoue, T.; Yurimoto, T.; Seki, F.; Sato, K.; Sasaki, E. The common marmoset in biomedical research: experimental disease models and veterinary management. Experimental animals 2023, 72. [Google Scholar] [CrossRef]
  16. Reveles, K.; Patel, S.; Forney, L.; Ross, C. Age-related changes in the marmoset gut microbiome. American journal of primatology 2019, 81. [Google Scholar] [CrossRef] [PubMed]
  17. Uehara, M.; Inoue, T.; Hase, S.; Sasaki, E.; Toyoda, A.; Sakakibara, Y. Decoding host-microbiome interactions through co-expression network analysis within the non-human primate intestine. mSystems 2024, 9, e01405–01423. [Google Scholar] [CrossRef] [PubMed]
  18. Tang-Wing, C.; Mohanty, I.; Bryant, M.; Makowski, K.; Melendez, D.; Dorrestein, P.C.; Knight, R.; Caraballo-Rodríguez, A.M.; Jenné, C.A. Impact of diet change on the gut microbiome of common marmosets (Callithrix jacchus). mSystems 2024, 9. [Google Scholar] [CrossRef] [PubMed]
  19. Niimi, K.; Takahashi, E. Reduced differentiation of intestinal epithelial cells in wasting marmoset syndrome. The Journal of veterinary medical science 2021, 83. [Google Scholar] [CrossRef]
  20. Mineshige, T.; Inoue, T.; Yasuda, M.; Yurimoto, T.; Kawai, K.; Sasaki, E. Novel gastrointestinal disease in common marmosets characterised by duodenal dilation: a clinical and pathological study. Scientific reports 2020, 10. [Google Scholar] [CrossRef] [PubMed]
  21. Sheh, A.; Artim, S.C.; Burns, M.A.; Molina-Mora, J.A.; Lee, M.A.; Dzink-Fox, J.; Muthupalani, S.; Fox, J.G. Alterations in common marmoset gut microbiome associated with duodenal strictures. Scientific Reports 2022, 12, 1–14. [Google Scholar] [CrossRef]
  22. Ferrari, S.F.; Martins, E.S. Gummivory and gut morphology in two sympatric callitrichids (Callithrix emiliae and Saguinus fuscicollis weddelli) from western Brazilian Amazonia. American journal of physical anthropology 1992, 88. [Google Scholar] [CrossRef]
  23. Broutier, L.; Andersson-Rolf, A.; Hindley, C.J.; Boj, S.F.; Clevers, H.; Koo, B.-K.; Huch, M. Culture and establishment of self-renewing human and mouse adult liver and pancreas 3D organoids and their genetic manipulation. Nature protocols 2016, 11. [Google Scholar] [CrossRef] [PubMed]
  24. Bell, S.M.; Schreiner, C.M.; Wert, S.E.; Mucenski, M.L.; Scott, W.J.; Whitsett, J.A. R-spondin 2 is required for normal laryngeal-tracheal, lung and limb morphogenesis. Development (Cambridge, England) 2008, 135. [Google Scholar] [CrossRef] [PubMed]
  25. Inaba, A.; Arinaga, A.; Tanaka, K.; Endo, T.; Hayatsu, N.; Okazaki, Y.; Yamane, T.; Oishi, Y.; Imai, H.; Iwatsuki, K. Interleukin-4 Promotes Tuft Cell Differentiation and Acetylcholine Production in Intestinal Organoids of Non-Human Primate. International journal of molecular sciences 2021, 22. [Google Scholar] [CrossRef] [PubMed]
  26. Rieu, I.; Powers, S.J. Real-Time Quantitative RT-PCR: Design, Calculations, and Statistics. The Plant Cell 2025, 21, 1031. [Google Scholar] [CrossRef] [PubMed]
  27. Rubert, J.; Schweiger, P.; Mattivi, F.; Tuohy, K.; Jensen, K.; Lunardi, A. Intestinal Organoids: A Tool for Modelling Diet-Microbiome-Host Interactions. Trends in endocrinology and metabolism: TEM 2020, 31. [Google Scholar] [CrossRef] [PubMed]
  28. Guimarães-Lopes, V.d.P.; Gomes, M.R.V.S.; Kagueyama, M.; Faria, R.d.C.V.; Ribeiro Filho, O.P.; Melo, F.R.d.; Sartori, S.S.R. Histometric parameters of the large intestine of hybrid marmosets Callithrix sp. under the influence of seasonality. Anatomia, Histologia, Embryologia 2021, 50, 888–896. [Google Scholar] [CrossRef]
  29. Power, M.L. Nutritional and Digestive Challenges to Being a Gum-Feeding Primate | SpringerLink. In The Evolution of Exudativory in Primates, Burrows, A.M., Nash, L.T., Eds.; SpringerLink: 2010.
Figure 1. Common marmoset intestinal organoids. A: Representative images of cecal organoid growth (Cj768). The numbers after “P” indicate passage numbers (P0 = crypt culture). The numbers after “Day” indicate days passed from latest passaging (Day0 = the day cells were passaged). B: Representative images of organoids established in this study. The low “cec” shows images of cecal organoids. The low “col” shows images of colonic organoids. Scale bars in A and B = 1mm. C: Representative images of cecal organoids passaged by two different methods (Cj768). 4 days were passed after passaging when the images were taken. Scale bars in C = 500μm.
Figure 1. Common marmoset intestinal organoids. A: Representative images of cecal organoid growth (Cj768). The numbers after “P” indicate passage numbers (P0 = crypt culture). The numbers after “Day” indicate days passed from latest passaging (Day0 = the day cells were passaged). B: Representative images of organoids established in this study. The low “cec” shows images of cecal organoids. The low “col” shows images of colonic organoids. Scale bars in A and B = 1mm. C: Representative images of cecal organoids passaged by two different methods (Cj768). 4 days were passed after passaging when the images were taken. Scale bars in C = 500μm.
Preprints 146882 g001
Figure 2. Gene expression analysis of intestinal markers in common marmoset intestinal tissues and organoids by RT-qPCR. The expression levels of marker genes of ISCs (A), TA cells (B), colonocytes (C), goblet cells (D) and enteroendocrine cells (E) were quantified. Expression levels were calculated by ΔCt method using ACTB as a housekeeping gene. Data are displayed as mean ± SE (N = 4). Welch’s t-test was performed (*p < 0.05, ** p < 0.01, ***p < 0.001).
Figure 2. Gene expression analysis of intestinal markers in common marmoset intestinal tissues and organoids by RT-qPCR. The expression levels of marker genes of ISCs (A), TA cells (B), colonocytes (C), goblet cells (D) and enteroendocrine cells (E) were quantified. Expression levels were calculated by ΔCt method using ACTB as a housekeeping gene. Data are displayed as mean ± SE (N = 4). Welch’s t-test was performed (*p < 0.05, ** p < 0.01, ***p < 0.001).
Preprints 146882 g002
Figure 3. Immunostaining of common marmoset cecal and colonic tissues and organoids. MKI67: proliferation marker, E-cadherin: epithelial cell marker, VIL1: colonocyte marker, MUC2: goblet cell marker, CHGA: enteroendocrine cell marker, 5-HT: a kind of gut hormone. A, B: Specificity of primary antibodies was confirmed with cecal (A) and colonic (B) tissue. C: representative images of stained cecal organoids. D: Representative images of stained colonic organoids. Nuclei were stained with DAPI (blue). Scale bars = 50μm. .
Figure 3. Immunostaining of common marmoset cecal and colonic tissues and organoids. MKI67: proliferation marker, E-cadherin: epithelial cell marker, VIL1: colonocyte marker, MUC2: goblet cell marker, CHGA: enteroendocrine cell marker, 5-HT: a kind of gut hormone. A, B: Specificity of primary antibodies was confirmed with cecal (A) and colonic (B) tissue. C: representative images of stained cecal organoids. D: Representative images of stained colonic organoids. Nuclei were stained with DAPI (blue). Scale bars = 50μm. .
Preprints 146882 g003
Disclaimer/Publisher’s Note: The statements, opinions and data contained in all publications are solely those of the individual author(s) and contributor(s) and not of MDPI and/or the editor(s). MDPI and/or the editor(s) disclaim responsibility for any injury to people or property resulting from any ideas, methods, instructions or products referred to in the content.
Copyright: This open access article is published under a Creative Commons CC BY 4.0 license, which permit the free download, distribution, and reuse, provided that the author and preprint are cited in any reuse.
Prerpints.org logo

Preprints.org is a free preprint server supported by MDPI in Basel, Switzerland.

Subscribe

Disclaimer

Terms of Use

Privacy Policy

Privacy Settings

© 2026 MDPI (Basel, Switzerland) unless otherwise stated