Preprint
Article

This version is not peer-reviewed.

Curvature-Induced Electrical Properties of Two-Dimensional Electrons on Carbon Nanotube Springs

A peer-reviewed article of this preprint also exists.

Submitted:

14 January 2025

Posted:

15 January 2025

You are already at the latest version

Abstract
This study investigates the mechanisms driving current flow in carbon nanotube (CNT) springs under mechanical strain, addressing the critical gap between experimental observations and theoretical modeling, particularly in asymmetric electrical responses. Leveraging the Dirac equation in curved spacetime, we analyze how curvature-induced scalar and pseudo-gauge potentials shape the behavior of two-dimensional electron gases confined to the curved surfaces of CNT springs. By incorporating time-dependent variations in the Lamé coefficient and curvature parameter, we propose an adiabatic evolution model to characterize strain-induced electronic behavior and develop an equivalent circuit model linking mechanical deformation to electronic dynamics. The analysis reveals asymmetric electrical responses, including time-dependent currents during stretching and compression cycles, driven by curvature-induced vector potential variations. Fourier analysis uncovers frequency components and phase relationships that explain these asymmetries. Theoretical predictions are validated against experimental data, highlighting curvature-driven energy band shifts, enhanced power output during stretching phases (peaking near 100 Hz), and a proportional relationship between strain and charge storage. These results not only provide a comprehensive theoretical framework for understanding strain-modulated electronic behavior but also underscore the potential of CNT springs in energy harvesting, wearable electronics, and advanced sensing applications. By bridging experimental observations and modeling, this study establishes a foundation for optimizing CNT springs in next-generation electromechanical systems.
Keywords: 
;  ;  ;  

1. Introduction

CNT springs, also known as helically coiled CNT, have garnered significant attention because of their exceptional mechanical and electrical properties. Initially predicted by Ihara.[1,2]. And Dunlap[3], helically coiled CNT was later experimentally realized by Zhang [4], who successfully synthesized coiled carbon nanotubes and fibers.Further insights into the growth mechanisms and microstructural properties of helically coiled CNTs were provided by Hernadi [5], who explored the influence of catalyst preparation on coil formation and proposed mechanisms underlying their helical structures. These structures are defined by their coil diameter and pitch, determined by the periodic incorporation of pentagon and heptagon pairs into the hexagonal carbon lattice.This geometric modification results in positively and negatively curved surfaces, significantly enhancing their mechanical and electronic properties. As a result, CNT springs exhibit remarkable tensile strength and energy density [6], making them ideal for applications requiring compact and lightweight energy storage solutions. Furthermore, CNT springs, which can be regarded as a type of CNT yarn, provide a versatile platform for analyzing applications, particularly in scenarios where their unique electromechanical coupling enables the generation of electrical current under strain.
CNT springs have been employed in diverse applications, including thermoelectric textiles that harvest heat energy from temperature gradients, achieving high power densities of 51.5 mW/m² for wearable electronics and healthcare monitoring[7]. Ferritin biscrolled CNT yarns enhance energy harvesting capabilities in biofluid environments, making them excellent candidates for implantable medical devices [8]. Strain sensors based on CNT/polymer composites exhibit stretchability exceeding 300 % , enabling precise motion capture and real-time feedback for robotics and wearable devices[9]. CNT-based artificial muscles achieve strains of up to 12 % and generate stresses over 20 times greater than human skeletal muscle, suitable for intelligent robotics, actuators , and clamping devices [10]. High-temperature annealed CNT yarns exhibit enhanced electrical conductivity, reaching values of 1680 S/cm due to improved graphitization, supporting energy storage and thermal management systems [11]. Bio-inspired CNT yarns, designed with ester bond cross-linkages, demonstrate enhanced toughness and multifunctionality for smart textiles and advanced wearable technologies [12]. Furthermore, CNT springs have enabled the development of highly sensitive sensors capable of detecting environmental changes such as pressure, temperature, and strain, providing precise measurements for structural health monitoring and wearable technology [13,14,15,16].
Beyond their mechanical applications, CNT springs possess unique electromechanical coupling properties. When subjected to strain, they can generate electrical current, aligning with experimental observations of their behavior under deformation [17,18]. This strain-induced current generation highlights their potential for energy harvesting[19,20,21,22,23] and sensing technologies [24,25]. Recent advancements have demonstrated that CNT-based yarn harvesters can efficiently convert mechanical energy, such as tensile or torsional forces, into electrical energy without requiring an external bias. These systems exhibit dynamic responses, such as significant changes in capacitance and open-circuit voltage under strain [26], underscoring their efficiency and potential in energy conversion applications. For example, CNT harvesters exhibit time-dependent open-circuit voltage (OCV) and short-circuit current (SCC) characteristics generated by a coiled cone-spun harvester during 1-Hz sinusoidal stretches to 30 % , displaying asymmetric electrical reponses. When stretched to 30% strain, the harvester’s capacitance decreased by 30.7 % , while its OCV increased by 140 mV, highlighting these systems’ dynamic response and efficiency in energy conversion applications [27]. Despite these advancements, there is limited theoretical research exploring the mechanisms of current flow and the reasons behind the asymmetric form of these electrical responses.
Strain-induced modifications to the electronic properties of CNT springs stem from pseudo-vector potentials and fictitious gauge fields, as illustrated in related studies on 2D materials like graphene [28,29,30]. Graphene’s electronic behavior under mechanical stress, characterized by phenomena such as Aharonov-Bohm interference [31,32] and strain-induced vector potentials, demonstrates the profound interplay between structural deformations and electronic properties. Similarly, CNT springs exhibit strain-dependent electrical behavior, with mechanical deformation influencing current flow and transport characteristics Despite these promising experimental advancements, the theoretical mechanisms underlying current generation and the observed asymmetric electrical responses in strained CNT springs remain underexplored. Recent studies indicate that strain on 2D materials [33,34] can induce current generation without an electric bias, suggesting parallels with the behavior of CNT springs. However, a comprehensive theoretical framework to explain these mechanisms is lacking.
The motivation for this study arises from the need to bridge the gap between experimental observations and theoretical understanding of the mechanisms underlying current flow in CNT springs under strain, mainly the reasons behind their asymmetric electrical responses. This paper is organized as follows: In the Dirac Equation in Curved Spacetime section, the properties of an electron gas confined on the curved surface of CNT springs are analyzed using the (2 + 1)-dimensional Dirac equation. The curvature of the CNT springs generates periodic scalar and pseudo-gauge potentials, which, along with the coupling between the circumference and axial motion, significantly influence the electron dynamics. In the Adiabatic Evolution section, the effect of strain on the CNT spring is described, incorporating time-dependent variations in the Lamé coefficient and curvature parameter to explore the system’s response. The time-dependent Hamiltonian is constructed, and the instantaneous eigenstates are determined to characterize the strain-induced electronic behavior. The continuity equation and equivalent circuit section focus on the conservation of charge, relating mechanical strain to electronic dynamics and providing an equivalent circuit model to explain the observed current and charge distributions. Finally, the results section presents the energy band structures and current generation mechanisms, highlighting the asymmetric electrical responses arising from the curvature and strain effects. This work provides theoretical insights that align with experimental observations and demonstrates the potential of CNT springs for energy harvesting and sensing applications.

2. Methods

2.1. The Dirac Equation of the Helical Tube

In the Dirac equation of the helical tube section, we investigate the electron motion in CNT springs by analyzing the properties of an electron gas confined within helical carbon nanotubes. This is accomplished through the examination of the (2 + 1)-dimensional Dirac equation in curved spacetime. In this study, we consider the behavior of electrons (or fermions) within Minkowski space. When curved spacetime is involved, it becomes necessary to express the Dirac equation using general curvilinear coordinates. This formulation, known as the Dirac equation in curved spacetime, is elaborated in detail in reference [35] as well as the helical tube exists in a flat (3 + 1)-dimensional Minkowski space; however, the Dirac particle moves in a (2 + 1)-dimensional space Consequently, the line element of the helical space is given by the following form, as detailed in reference[36].
d s 2 = d t 2 + | dr | 2
where | dr | 2 = ρ 0 2 d ϕ 2 + h ( s , ϕ ) 2 d s 2 . Hence, r 0 is the helical radius, ω 0 represents the width of the helical pitch, ρ 0 determines the radius of the tube as demonstrated in Figure 1, and the scale factors, also known as the Lamé coefficients, are given by
h ( s , ϕ ) = 1 + ρ 0 κ ( s ) cos [ θ ( s ) + ϕ ]
The helical parameter, as illustrated in Figure 1, and the curvature parameter are defined as follows, respectively:
a = 1 + ( ω / r 0 ) 2 and κ = 1 r 0 ( 1 + ( ω / r 0 ) 2 )
The Dirac equation in curved spacetime [37], as discussed above, is formulated as follows:
( γ A A + M ) Ψ ( x μ ) = 0 .
The Dirac spinor field Ψ ( x μ ) represents the wave function of the electron, while M denotes the rest mass of the electron. γ A are the Dirac matrices obeying the Clifford algebra as well as A { 0 , 1 , 2 } ,
{ γ A , γ B } = 2 η A B
where η A B = diag ( 1 , 1 , 1 ) in (2+1) dimensions. In the absence of external electromagnetic fields, the connection A is defined by
A A Γ A A e i A Γ i
The spin connection Γ i is defined as follows:
Γ i = 1 4 γ A γ B e j A i e B j e k B Γ k i j ,
where i , j , k ( t , ϕ , s ) , and Γ k i j is defined as Christoffel symbols of the first kind.
Γ ϕ s s = Γ s ϕ s = Γ s s ϕ = 1 2 ϕ [ h ( s , ϕ ) 2 ] , Γ s s s = 1 2 s [ h ( s , ϕ ) 2 ]
Consequently, the spin connection is given by:
Γ t = 0 , Γ ϕ = 0 , Γ s = 1 2 γ 1 γ 2 ρ 0 ϕ h ( s , ϕ ) .
Utilizing the results from the preceding section and the principles of Clifford algebra, the Dirac equation can be expressed in the following form:
{ γ 0 t + 1 ρ 0 γ 1 ϕ + 1 h ( s , ϕ ) γ 2 s + 1 2 ρ 0 γ 1 ϕ ln h ( s , ϕ ) + M } Ψ ( s , ϕ ) = 0 .
Then we have chosen
γ 0 = i 1 0 0 1 and γ A = i 0 σ A σ A 0 .
when A 0 as well as σ 1 , σ 2 and σ 3 are defined as follows
σ 1 = 0 1 1 0 , σ 2 = 0 i i 0 , σ 3 = 1 0 0 1
Consider the Dirac equation in curved spacetime in (2 + 1) dimensions. As outlined in reference [38], in (2 + 1) flat dimensions, the fundamental representations of the matrices satisfy:
γ 0 = i σ 3 , γ A = σ A
Accordingly, the Dirac equation in curved space-time from Equation (10) can be simplified as follows:
i Ψ ( x μ ) + γ 0 γ A e A i ( i Γ i ) Ψ ( x μ ) = γ 0 M Ψ ( x μ )
where A ( 1 , 2 ) , Assuming the mass term (M) is nearly zero, we can rewrite the Dirac equation from Equation (10) by comparing it with the Dirac equation in the Hamiltonian form t Ψ = H Ψ . This comparison yields the Hamiltonian of the system as follows:
H ^ = 1 ρ 0 γ 0 γ 1 ϕ + 1 h ( s , ϕ ) γ 0 γ 2 s + 1 2 ρ 0 γ 0 γ 1 ϕ ln h ( s , ϕ )
Next, we focus on the electron motion within the helically curved nanotube. Following the methods outlined in the paper [35], the curvature of the nanotube modifies the effective potential, and new variables are introduced to describe the electron’s clockwise and counterclockwise spiral motions. These variables allow for the separation of free motion along the helical axis from motion influenced by the periodic potential [39,40,41] induced by the curvature.
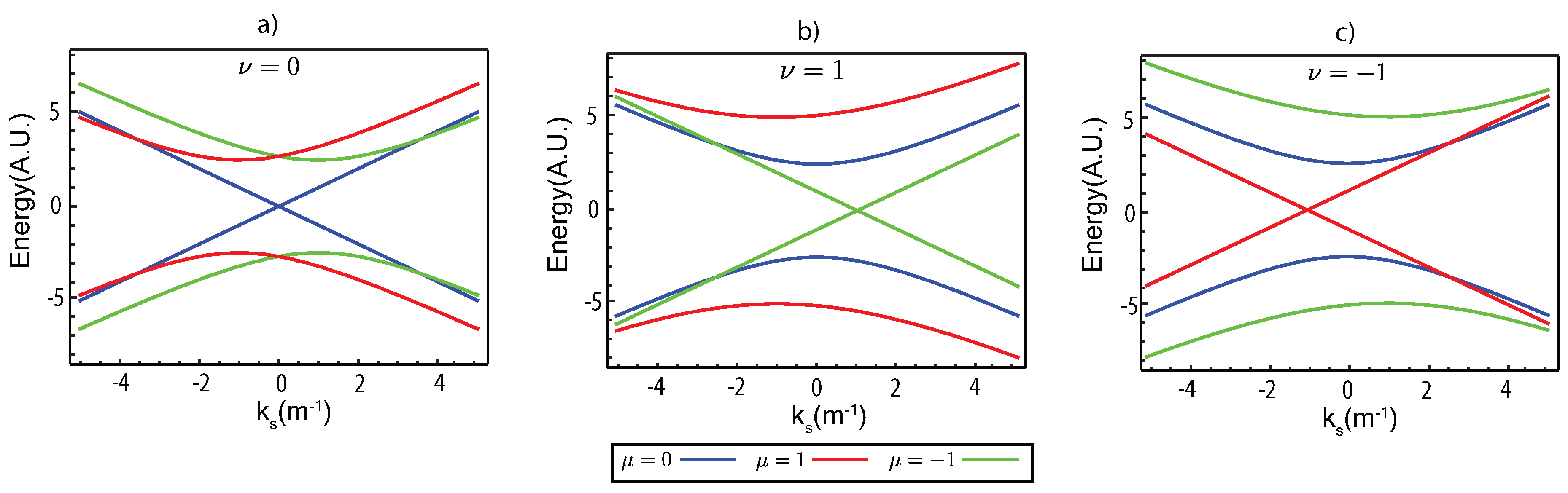
By applying Bloch’s theorem to account for the periodicity of the potential, the Dirac spinor is expressed as a superposition of plane waves along the spiral path. The curvature-induced potentials, such as the pseudo-vector potential and spin-orbit coupling [42,43,44], are expanded in terms of the Fourier series. These expansions are incorporated into the Hamiltonian, transforming it into a block matrix form, as detailed in Thita’s work[35]. This matrix describes the energy-momentum dispersion relation in the presence of a curvature-induced Penney-Kronig potential and periodic spin-orbit coupling, as illustrated in Figure 2. Moreover, the energy-momentum dispersion relation also called the energy band structure, is characterized explicitly by two quantum numbers: the azimuth quantum number ν and the superlattice number or the Landau level μ . These two quantum numbers collectively define the band index, represented as ( μ , ν ) , which governs the quantization and dispersion properties of the system’s energy. Additionally, the number of energy-momentum dispersion relation lines depends on the separation of the quantization lines originating from multiple Dirac cones. It increases with the magnitude of the curvature parameter.
Rolling graphene into a cylindrical shape, such as a carbon nanotube, introduces additional periodic boundary conditions on the wave functions. This results in the quantization of momentum along the circumference of the tube. The wave vector in the circumferential direction, k ϕ , is determined by these constraints and can be expressed as follows:
k ϕ = 0 , ± 1 , ± 2 , ± 3 , , ± ν integer

2.2. Adiabatic Evolution

The experimental work mentioned demonstrates that CNT yarn can be stretched to generate current without the need for an external bias voltage [17,18,27]. In the Adiabatic evolution section, it is shown that a CNT springs stretches and contracts in response to the applied strain, which varies as a function of time, as depicted in Figure 3a). Moreover, The width of the helical pitch ( ω 0 ) varies with time in a manner that can be described by an adiabatic process [45,46,47]. In this context, the change in the width of the helical pitch is slow enough that the system can be considered to remain in its instantaneous eigenstate throughout the process. Hence The width of the helical pitch can be rewritten as:
ω ( t ) = ω 0 + Δ ω sin ( Ω t )
where Δ ω represents the amplitude of vibration when strain is applied to CNT springs. Additionally, we have determined that Δ ω = η ω 0 , as well as η , is defined as the strain parameter in the CNT spring. In other words, it corresponds to the percentage of the applied strain, and Ω is the vibration frequency.
Due to the effect of strain on the CNT spring, the width of the helical pitch can cause both the Lamé coefficient and the curvature parameter to vary with time. These variations can be approximated using a Taylor series expansion retaining only the first-order terms. Consequently, the Lamé coefficient h ( s , ϕ , t ) and the curvature parameter κ ( t ) can be expressed as 1 / ( 1 + x ) 1 x ,
κ ( t ) = κ 0 + Δ κ ( t ) and h ( s , ϕ , t ) = h 0 + Δ h ( t )
where κ 0 and h 0 are respectively the curvature parameter and the Lamé coefficient at time t = 0 , and Δ κ ( t ) and Δ h ( t ) represent the alterations due to the effect of strain on the CNT spring for the curvature parameter and the Lamé coefficient, respectively.
Δ κ ( t ) = ( 1 a 0 4 r 0 3 ) ( Δ ω 2 sin 2 ( Ω t ) 2 ω 0 Δ ω sin ( Ω t ) )
and
Δ h ( t ) = Δ κ ( t ) ρ 0 cos θ ( s ) + ϕ .
For calculating Equation (15), H ^ ( κ ( t ) ) the time-dependent Hamiltonian, we can have found an instantaneous eigenstate, ψ ( s , ϕ , t ; κ ( t ) ) such that
H ^ ( κ ( t ) ) ψ ( s , ϕ , t ; κ ( t ) ) = E ( t ) ψ ( s , ϕ , t ; κ ( t ) )
As it turns out, it is a useful tool to construct approximate solutions to the Schrödinger equation,
H ^ ( κ ( t ) ) Ψ ( s , ϕ , t ) = i t Ψ ( s , ϕ , t ) .
Let us determine the solution | Ψ ( t ) ) of Equation (22), utilizing the instantaneous eigenstate:
Ψ ( s , ϕ , t ) = e i γ ( t ) e i 0 t E ( t ) d t ψ ( s , ϕ , t ; κ ( t ) )
when γ ( t ) is the Berry phase associated to the eigenvector as
γ ( t ) = 0 t ψ ( t ; κ ( t ) | ψ ˙ ( t ; κ ( t ) ) d t .
We assume that Δ ω and Ω are sufficiently small, such that the adiabatic approximation can hold
Δ ω / ω 0 < < 1 and Ω / | E ( t ) | < < 1 .

2.3. Equivalent Circuit for the Carbon Nanotube Spring Applied Strain

To describe an equivalent circuit for the carbon nanotube spring applied strain. We express the Hamiltonian of this system into a power series of strain, we incorporate these time-dependent variations into the Hamiltonian. The total Hamiltonian of the system, including the perturbation due to strain, is given by:
H ^ ( κ ( t ) ) = H ^ 0 ( κ 0 ) + H ^ I ( κ ( t ) )
Here, H ^ 0 ( κ 0 ) represents the unperturbed Hamiltonian of the CNT spring system without the influence of any external strain and H ^ I ( κ ( t ) ) is the perturbation term that accounts for the variations in the system induced by applied strain. This term reflects the impact of mechanical strain on the CNT springs system, which causes changes in the helical pitch width and subsequently alters the Lamé coefficient and curvature parameters over time, the perturbation term can be expressed as:
H ^ I ( κ ( t ) ) = Δ h ( t ) h 0 2 γ 0 γ 2 s 1 2 γ 0 γ 1 ρ 0 ln ( h 0 + Δ h ( t ) )
Let us consider the continuity equation, which is fundamental in describing the conservation of charge within the system. The continuity equation plays a crucial role in understanding the dynamic behavior of CNT springs when subjected to mechanical strain. It provides insight into how the applied strain, along with the resulting variations in the helical pitch width, Lamé coefficient, and curvature parameter, influences the electronic properties and charge distribution in the CNT springs.
In the context of our study, the continuity equation ensures that the total charge in the system remains conserved over time, even as the system undergoes mechanical deformation. This is particularly important for accurately modeling the electronic response of the CNT springs under varying strain conditions. Considering the Hamiltonian, the continuity equation becomes integral to linking the mechanical perturbations with the electronic dynamics. The continuity equation can be expressed as:
ρ ( r , t ) t + · J 0 ( r , t ) e c A ( r , t ) = s ( r , t )
where ρ ( r , t ) = ψ ¯ ψ represents the charge density, indicating how charge is distributed within the CNT springs, J 0 ( r , t ) is the current density within the CNT springs without the influence of any external strain, and s ( r , t ) determines the source term that accounts for the generation or annihilation of charge within the system, which are defined as
J 0 ( r , t ) = 1 ρ 0 ψ ¯ γ 1 ψ + ψ ¯ γ 2 h 0 ψ and s ( r , t ) = ψ ¯ ϕ ln [ 1 + Δ h h 0 ] ψ
and A ( r , t ) = ψ ¯ γ 2 Δ h h 0 2 ψ denotes the vector potential under influence of applied strain. Moreover, ψ ¯ = ψ γ 0 and ψ are calculated from the eigenvectors as detailed in Ref [35]. and are considered within the context of an adiabatic process, ensuring the system remains in its instantaneous eigenstate as the parameters change slowly over time.
To analyze this in more detail, we will construct a closed surface encompassing the entire CNT spring and apply the surface integral to Equation (28). By integrating over this closed surface, which corresponds to the physical surface of the CNT spring, we can relate the total flux of the current density through the surface to the rate of change of charge within the enclosed volume. We consider the closed surface to closely approximate the surface geometry of the CNT spring. Therefore, we can approximate the enclosed volume as being nearly equivalent to the enclosed surface. This relationship is established by employing the divergence theorem:
S J ( r , t ) · n ^ d r + d d t V d 3 r ρ ( r , t ) = V d 3 r s ( r , t )
This equation implies the equivalent circuit equation is in the form
I o u t ( t ) = I S ( t ) d d t Q ( t )
Here, Q ( t ) = V d 3 r ψ ¯ ψ represents the total charge within the volume V enclosed by the surface and the output current is given as I o u t ( t ) = S J ( r , t ) · n ^ d r , Finally, a time-dependent current source delivers a current which corresponds to vibration of the width of the helical pitch define as I s ( t ) = V d 3 r s ( r , t ) . This formulation ensures that any change in charge density within the volume is balanced by the net flow of current across the surface and the source term.
Equation (31) indicates that the characteristics of the generated current and the stored charge in the CNT spring can be analyzed similarly to the equivalent circuit presented in Figure 3b). In this equation, I S ( t ) represents a time-dependent current source, which is associated with the short-circuit current (SCC). The SCC is determined experimentally by measuring the current under a zero-voltage condition, as shown in Figure 4c). Furthermore, I S ( t ) in Equation (31) can be used to evaluate the SCC as reported in [27]. When a resistive load( R o u t ) is applied to measure the power output( P ( t ) ) of the CNT spring, the resulting time-dependent current I o u t ( t ) is obtained. This current can be derived from Equation (31), which relates the time-dependent current source to the rate of charge or capacitive current flowing onto a capacitor, expressed as I C ( t ) = d d t Q ( t ) . Based on the equivalent circuit model, the voltage across the circuit can then be expressed as follows:
V R ( t ) + V S ( t ) = V C ( t )
When we define the voltage drop across the internal resistance as V R ( t ) = I S ( t ) R , the voltage drop across the current source is assumed to be zero, V S ( t ) = 0 , and the voltage drop across the capacitor is given by V C ( t ) = Q ( t ) / C . the time-dependent power output P ( t ) can then be calculated as
P ( t ) = I o u t 2 ( t ) R o u t

3. Results

This study investigated the generated current in CNT springs under varying strain through a theoretical approach based on the Dirac equation in curved spacetime. The generated current in our model was calculated by the continuity equation (Equation (31)). This equation implied the foundation to describe the dynamic of the CNT springs under specific strain, which is equivalent to the circuit model of the system as demonstrated in Figure 3. This model can be divided into two prominent cases: the first case involves the charging of the capacitor. When the CNT spring is subjected to strain, the time-dependent current source generates an electrical current. This current is divided into two main components: one part corresponds to the term related to the capacitive current, reflecting the mechanism of charge redistribution within the CNT spring and indicating the increase of charge as it responds to the applied strain. This term signifies that part of the current is stored in the capacitance, as illustrated in the equivalent circuit. The other part of the current represents the output current. Thus, the current output is the current flowing out of CNT springs, while the rest is the capacitive current stored within the system as charge in the capacitance as demonstrated in Figure 3b). In the second case, during discharging, the stored charge in the capacitor is released back into the system, resulting in a decrease in the total charge within the CNT spring. As the strain is applied, the charge redistribution process is reversed, and the current is released from the capacitor. This released current from the capacitor combines with the current from the time-dependent current source to form the total output current that flows out of the system. Furthermore, the time-dependent current source, the relative total charge, and the output current, as shown in Figure 4, Figure 5, and Figure 7c),respectively, exhibit asymmetric behavior. This indicates that the upper and lower portions of the graphs are not symmetric. In particular, the asymmetry observed in the time-dependent current source and time-dependent power output aligns with the experimental findings reported in kim’s experiment [27], which documented a similar phenomenon in strained CNT springs.
In our numerical calculations, we utilized the parameters r 0 , ω 0 , and ρ 0 derived from the experimental data analysis in Kim’s work [27]. Based on these parameters; it was able to calculate the curvature parameter within the range of contour 2, as compared to the work of Thiti Thitapura. In this contour, there are three Dirac points, which result in super lattice numbers of μ = 0 , ± 1 , as illustrated in Figure 2. Therefore, the calculation of the instantaneous eigenstate in Equation (21) is based on the energy-momentum dispersion relation in contour 2, as described in Thiti Thitapura’s research [35].
Figure 4, Figure 5 and Figure 6 illustrate the characteristics of the time-dependent current source and the relative total charge under varying strain conditions. In contrast, Figure 7a) illustrates the time-dependent power output, Figure 7b) represents the peak power, and Figure 7c) depicts the absolute maximum charge. These analyses were performed under a 30 % variation in the parameter Δ ω in Equation (17). The investigation examines the band structure of the CNT spring for different superlattice numbers ( μ = 0 , ± 1 ) and quantum azimuthal numbers ( ν = 0 , ± 1 ). The results across these cases are compared and analyzed. All the graphs in Figure 4 to Figure 7 share a consistent period of 2.5 seconds, matching the period of strain application on the CNT spring, as shown in the inset of Figure 3a). The phase of the strain graph within the interval 0 to π represents the extension phase of the CNT spring, while the phase between π and 2 π corresponds to the compression phase. This periodic strain cycle aligns with the computational results illustrated in Figure 4, Figure 5, Figure 6 and Figure 7. The analysis highlights the electrical responses of the CNT spring under the described strain conditions, emphasizing the role of superlattice and azimuthal configurations in shaping the current, charge characteristics, and the electrical properties, including power output, peak power, and OCV, as demonstrated in Figure 7. These findings provide valuable insights into the CNT spring’s dynamic behavior and its electronic performance.
Figure 5. The results for the relative total charge, with red, blue, and green lines representing the superlattice numbers μ = 0 , 1 , 1 respectively. a) the relative total charge for ν = 0 . b) the relative total charge for ν = 1 . c) the relative total charge for ν = 1 .
Figure 5. The results for the relative total charge, with red, blue, and green lines representing the superlattice numbers μ = 0 , 1 , 1 respectively. a) the relative total charge for ν = 0 . b) the relative total charge for ν = 1 . c) the relative total charge for ν = 1 .
Preprints 146124 g005
Figure 6. Fourier coefficients of the relative total charge for different superlattice numbers ( μ = 0 , 1 , 1 ) , represented by red, blue, and green lines, respectively. The solid lines denote the real parts, while the dashed lines represent the imaginary parts of the Fourier coefficients. a) Relative total charge for ν = 0 . b) Relative total charge for ν = 1 . c) Relative total charge for ν = 1 .
Figure 6. Fourier coefficients of the relative total charge for different superlattice numbers ( μ = 0 , 1 , 1 ) , represented by red, blue, and green lines, respectively. The solid lines denote the real parts, while the dashed lines represent the imaginary parts of the Fourier coefficients. a) Relative total charge for ν = 0 . b) Relative total charge for ν = 1 . c) Relative total charge for ν = 1 .
Preprints 146124 g006
Figure 7. (a) Time-dependent power output at 0.40 Hz, calculated using Equation (32). b) Peak power across various frequencies. c) Absolute maximum charge under different applied strains.
Figure 7. (a) Time-dependent power output at 0.40 Hz, calculated using Equation (32). b) Peak power across various frequencies. c) Absolute maximum charge under different applied strains.
Preprints 146124 g007
Based on the calculations of the time-dependent current source in Equation(30) for each energy band structure, as shown in Figure 2, we found that the time-dependent current source is identical across all energy band structures except for the band structure with band index ( 0 , 0 ) . This band index’s time-dependent current source is absent, meaning the current does not appear. This behavior is illustrated in Figure 4a). It is attributed to the symmetric nature of the band structure around both positive k s and negative k s , which results in a cancellation of the time-dependent current source for this particular band. Similar characteristics are observed when comparing the results to Δ κ ( t ) , shown in Figure 4b). In the phase interval between 0 and π , a peak is evident, corresponding to the stretching phase of the CNT spring, during which the amplitude is larger compared to the phase interval between π and 2 π when the CNT spring is compressed. However, as shown in the inset graph of Figure 3a), the strain applied to the CNT spring is equivalent during both the stretching ( 0 π ) and compression ( π 2 π ) phases. This discrepancy arises from the nonlinear dependence of the Lamé coefficient, as described in Equation(18), on the pitch length of the CNT spring. Consequently, the time-dependent current source and Δ κ ( t ) exhibit different magnitudes during stretching and compression despite the strain being identical. This implies that the vector potential induced by strain is also asymmetric, with a greater magnitude during stretching than compression, even under the same applied strain. Additionally, the Fourier coefficients of the time-dependent current source and Δ κ ( t ) , shown in the inset graphs, reveal the presence of two frequency components: Ω , which represents the primary frequency, and 2 Ω , which corresponds to the harmonic or secondary frequency. These components are out of phase by π in imgaginary part. The presence of both primary and harmonic frequencies indicates a complex oscillatory behavior in the system. This dual-frequency composition significantly affects the time-dependent current source and Δ κ ( t ) , leading to non-linear interactions between the stretching and compression phases. As a result, these interactions contribute to the observed asymmetry in the electrical responses. In Figure 4c), the current flowing out of the equivalent circuit under short-circuit conditions is depicted. Ensure that the total voltage drop across the equivalent circuit is zero, and there is no current flow into or out of the capacitor ( I C = 0 ). As a result, the output current from the circuit corresponds directly to the time-dependent current source. Thus, the SCC under these conditions equals the time-dependent current source, as illustrated in Figure 4c). A similar trend is observed when comparing the calculated SCC to the experimental results reported by Kim [27]. The SCC lacks symmetry between the 0 π and π 2 π phases. Specifically, the SCC amplitude during the 0 π phase is more significant than that during the π 2 π phase.
Figure 5 a), b), and c) depict the relative total charge, defined as Δ Q ( t ) = Q ( t ) Q ( 0 ) When examining the relative total charge at the band index ( 0 , 0 ) , as shown in Figure 5a), no change in total charge is observed. This is consistent with the absence of a current source generated at this band index. For the band index ( 1 , 0 ) , a decrease in the relative total charge is observed during the phase interval between 0 and π (corresponding to the stretching phase of the CNT spring). This indicates that during this phase, the capacitor undergoes discharge. Conversely, the relative total charge increases during the phase interval between π and 2 π (the compression phase of the CNT spring), suggesting that the equivalent capacitor recharges during this phase. In contrast, for the band index ( 1 , 0 ) , also shown in Figure 5a), the relative total charge increases during 0 π phase, indicating the charge of the capacitor, while during the π 2 π phase, the relative total charge decreases, corresponding to the discharge of the capacitor. The differences in behavior between these two band indices can be analyzed further using the Fourier coefficients depicted in Figure 6a). At frequency 2 Ω , the Fourier coefficients of the two band indexs exhibit a phase difference of π . Specifically, for the band index ( 1 , 0 ) , the Fourier coefficient at 2 Ω has a positive value for imaginary parts, consistent with the phase of the relative total charge in this band index. In contrast, for ( 1 , 0 ) , the Fourier coefficient at 2 Ω has a negative value for the imaginary part, which aligns with the phase of the relative total charge in this band index. This phase relationship and Fourier analysis provide a clear understanding of the observed charge dynamics and their correlation with the stretching and compressing of the CNT spring.
The analysis can be applied similarly to other band indices to explain the behavior of the relative total charge and the charging and discharging processes during the stretching or compression phases. In Figure 5b) and Figure 5c), this relationship holds consistently across all band indices, where the phases of the relative total charge align with the Fourier coefficients shown in Figure 6b) and Figure 6c), respectively. This agreement reinforces the validity of using Fourier-coefficient analysis to interpret the attributes of the relative total charge in the system under various band indexes.
Changes in the relative total charge and associated charging or discharging processes can also be analyzed by considering the changes at the bottom of the energy band structures shown in Figure 2. For instance, in Figure 2a), at the band index ( 0 , 0 ) , the bottom of the energy band structure is perfectly centered and unshifted. As a result, there is no change in the relative total charge for this band index. In contrast, for the band index ( 1 , 0 ) , the bottom of the energy band structure is shifted toward positive k s . This causes the overall charge within the CNT spring to increase during the stretching phase ( 0 π ), while during the compression phase ( π 2 π ), the overall charge within the CNT spring tends to decrease. This behavior is opposite to that observed for the band index ( 1 , 0 ) , where the bottom of the energy band structure is shifted toward negative k s . In this case, the total charge within the CNT spring decreases during the stretching phase ( 0 π ) and increases during the compression phase ( π 2 π ); these dynamics are illustrated in Figure 5a). This analysis of shifts at the bottom of the energy band structure can be extended to explain the changes in the relative total charge observed in Figure 5b) and Figure 5c). These changes are consistent with the shifts in the bottom of the energy band structures shown in Figure 2b) and Figure 2c).
Figure 7a) illustrates the time-dependent power output at a frequency of 0.4 Hz. The time-dependent power output is measured by connecting the load in an equivalent circuit with an external resistance, as calculated using Equation (33). This time-dependent power output represents the combined contribution of all band indices. According to Equation(33), the time-dependent power output is directly proportional to I o u t 2 . At t = 0 , when the load is connected, a I o u t current flows out of the circuit, resulting in an initial time-dependent power output of approximately 0.05. This initial value arises from the induced pseudo-vector potential in the CNT spring structure, as described in the work of Thiti [35]. The calculations reveal that during the extension phase of the CNT spring ( 0 π ), the amplitude of the time-dependent power output is higher compared to the compression phase ( π 2 π ), illustrating the asymmetric electrical response under these strain conditions.This asymmetry in the time-dependent power output is attributed to the unequal response of Δ κ ( t ) to the applied strain during the extension and compression phases. Specifically, Δ κ ( t ) exhibits a higher amplitude during the extension phase than during compression. This difference causes the time-dependent power output to have a higher amplitude during extension compared to compression. These calculated results align with the experimental findings reported by Kim [27], highlighting similar asymmetric electrical responses of power output in strained CNT springs.
Figure 7b) shows the peak power values at different frequencies. Peak power is defined as the maximum value of the time-dependent power output within one cycle, where one cycle corresponds to one complete extension and compression of the CNT spring. The calculated peak power values represent the contributions from all band indices. The results indicate that peak power increases with frequency, reaching a maximum value of approximately 92 at a frequency of around 100 Hz. Beyond this frequency, the peak power remains constant and does not increase further. This behavior is consistent with the experimental observations reported in Kim’s study.
Figure 7c) presents the absolute maximum charge at different levels of applied strain. The absolute maximum charge is calculated as the maximum charge contribution across all band indices. Moreover, the absolute maximum charge is directly proportional to V C ( t ) , and from the equivalent circuit, it can be observed that the total voltage drop across the circuit is equal to V C ( t ) . Therefore, the results of the absolute maximum charge can effectively describe the behavior of the OCV. Specifically, the results indicate that as the applied strain increases, the absolute maximum charge also increases proportionally. Thus, our calculations imply that the OCV will increase with the applied strain, which is consistent with the experimental measurements of OCV reported in Kim’s work [27], where a similar trend was observed.

4. Conclusions

This study establishes a comprehensive theoretical framework to elucidate the curvature-induced electrical properties of two-dimensional electron gas confined on carbon nanotube CNT springs. By employing the Dirac equation in curved spacetime, we demonstrated how geometric deformation profoundly influences electronic behavior, revealing the interplay between mechanical strain and electronic responses. These results validate and extend experimental observations, offering key insights into the mechanisms of strain-induced current generation in CNT-based systems.
Key findings highlight asymmetric time-dependent current behavior during the stretching and compression cycles of CNT springs, driven by curvature-dependent variations in the Lamé coefficient and induced vector potentials. Non-linear changes in these parameters lead to distinct magnitudes of time-dependent current and charge redistribution, with more pronounced effects during stretching than compression. These findings align closely with experimental data, where electrical responses display clear asymmetry over a full mechanical cycle, reinforcing the validity of our theoretical model.
Fourier analysis identifies two key frequencies: the primary ( Ω ) and harmonic ( 2 Ω ) , phase-shifted by π in imaginary part. These frequencies, derived from the Fourier coefficients of the time-dependent current source and Δ κ ( t ) , highlight the system’s complex oscillatory behavior. Their interplay drives non-linear interactions between stretching and compression phases, contributing to asymmetries in electrical responses such as power output and charge redistribution. These findings deepen our understanding of how strain modulates curvature and electronic dynamics, providing a strong theoretical basis consistent with experimental observations.
Charge redistribution patterns were found to depend on energy band indices, with specific band structures exhibiting contrasting charging and discharging behaviors during stretching and compression. Shifts in the energy band structure’s bottom significantly influenced charge redistribution, linking quantum-level properties to macroscopic strain effects. These results deepen our understanding of how curvature and strain govern electronic dynamics in CNT springs. Additionally, the curvature-induced vector potential generates higher power output during stretching compared to compression, attributed to greater variations in the curvature parameter. Peak power output was observed at 100 Hz , with performance stabilizing beyond this frequency, highlighting an optimal range for energy harvesting. Strain analysis confirmed a proportional relationship between applied strain and maximum charge storage, consistent with OCV trends observed in experiments.
Together, these findings bridge experimental observations and theoretical modeling, showcasing The results of this study demonstrate that CNT springs can be effectively applied as energy harvesters and sensors in wearable electronics, smart textiles, and biofluid sensing. By laying a solid foundation for understanding their dynamic behavior under strain, this study opens pathways for further optimization of CNT-based devices, focusing on enhanced performance and broader applicability. Future research may extend this framework to explore external field effects, multi-band interactions, and advanced material designs for next-generation electromechanical systems.

Acknowledgments

This research project is supported by the National Research Council of Thailand (NRCT): (N41A640348). S. Boonchui would like to thank NSRF via the Program Management Unit for Human Resources & Institutional Development, Research and Innovation (grant number B11F660024) and Faculty of Science, Kasetsart University, for partial support.

References

  1. Ihara, S.; Itoh, S.; Kitakami, J.I. Helically coiled cage forms of graphitic carbon. Phys. Rev. B 1993, 48, 5643–5647. [Google Scholar] [CrossRef] [PubMed]
  2. Itoh, S.; Ihara, S.; Kitakami, J.I. Toroidal form of carbon C360. Phys. Rev. B 1993, 47, 1703–1704. [Google Scholar] [CrossRef] [PubMed]
  3. Dunlap, B. I. Connecting carbon tubules. Phys. Rev. B 1992, 46, 1933–1936. [Google Scholar] [CrossRef]
  4. Zhang, X. B.; et al. The Texture of Catalytically Grown Coil-Shaped Carbon Nanotubules. Europhysics Letters 1994, 27, 141. [Google Scholar] [CrossRef]
  5. Hernadi, K.; Thiên-Nga, L.; Forró, L. . Growth and Microstructure of Catalytically Produced Coiled Carbon Nanotubes. J. Phys. Chem. B 2001, 105, 12464–12468.ht. [Google Scholar] [CrossRef]
  6. Wu, T.; Wang, J. N. Carbon nanotube springs with high tensile strength and energy density. RSC Advances 2016, 6, 38187–38191. [Google Scholar] [CrossRef]
  7. Zheng, Y.; et al. Carbon nanotube yarn based thermoelectric textiles for harvesting thermal energy and powering electronics. J. Mater. Chem. A 2020, 8, 2984–2994. [Google Scholar] [CrossRef]
  8. Kim, H.; et al. Electrical energy harvesting from ferritin biscrolled carbon nanotube yarn. Biosens. Bioelectron 2020, 164, 112318. [Google Scholar] [CrossRef]
  9. Choi, J.H.; Noh, J.H.; Choi, C. Highly Elastically Deformable Coiled CNT/Polymer Fibers for Wearable Strain Sensors and Stretchable Supercapacitors. Sensors 2023, 23, 2359. [Google Scholar] [CrossRef]
  10. Xu, L.; et al. Artificial muscle with reversible and controllable deformation based on stiffness-variable carbon nanotube spring-like nanocomposite yarn. Nanoscale 2019, 11, 8124–8132. [Google Scholar] [CrossRef]
  11. Scholz, M.; Hayashi, Y.; Eckert, V.; Khavrus, V.; Leonhardt, A.; Büchner, B.; Mertig, M.; Hampel, S. Systematic Investigations of Annealing and Functionalization of Carbon Nanotube Yarns. Molecules 2020, 25, 1144. [Google Scholar] [CrossRef] [PubMed]
  12. Saleemi, S.; Aouraghe, M.A.; Wei, X.; Liu, W.; Liu, L.; Siyal, M.I.; Bae, J.; Xu, F. Bio-Inspired Hierarchical Carbon Nanotube Yarn with Ester Bond Cross-Linkages towards High Conductivity for Multifunctional Applications. Nanomaterials 2022, 12, 208. [Google Scholar] [CrossRef] [PubMed]
  13. Tang, X.; Cheng, D.; Ran, J.; Li, D.; He, C.; Bi, S.; Cai, G.; Wang, X. Recent advances on the fabrication methods of nanocomposite yarn-based strain sensor. Nanotechnology Reviews 2021, 10, 208. [Google Scholar] [CrossRef]
  14. Ma, H.; et al. Light-weight strain sensor based on carbon nanotube/epoxy composite yarn. J Mater Sci 2021, 56, 13156–13164. [Google Scholar] [CrossRef]
  15. Gao, Y.; et al. Winding-Locked Carbon Nanotubes/Polymer Nanofibers Helical Yarn for Ultrastretchable Conductor and Strain Sensor. ACS 2020, 14, 3442–3450. [Google Scholar] [CrossRef]
  16. Li, C.; Cui, YL.; Tian, GL.; et al. Flexible CNT-array double helices Strain Sensor with high stretchability for Motion Capture. Sci Rep 2015, 5, 15554. [Google Scholar] [CrossRef]
  17. Bai, H.; Ding, G.; Jia, S.; Hao, J. Strain-Sensing Characteristics of Carbon Nanotube Yarns Embedded in Three-Dimensional Braided Composites under Cyclic Loading. Discret. dyn. nat. soc 2021, 2021, 2427954. [Google Scholar] [CrossRef]
  18. Mirfakhrai, T.; Oh, J.; Kozlov, M. E.; Fang, S.; Zhang, M.; Baughman, R. H.; Madden, J. D. W. Mechanoelectrical Force Sensors Using Twisted Yarns of Carbon Nanotubes. IEEE/ASME Transactions on Mechatronics 2011, 16, 90–97. [Google Scholar] [CrossRef]
  19. Krishnamoorthy, K.; Mariappan, V.K.; Pazhamalai, P.; Sahoo, S.; Kim, S.J. Mechanical energy harvesting properties of free-standing carbyne enriched carbon film derived from dehydrohalogenation of polyvinylidene fluoride. Nano Energy 2019, 59, 453–463. [Google Scholar] [CrossRef]
  20. Sim, H.J.; Noh, J.H.; Choi, J.H.; Choi, C. Integrated Mechano-Electrochemical Harvesting Fiber and Thermally Responsive Artificial Muscle for Self-Powered Temperature–Strain Dual-Parameter Sensor. Sensors 2023, 23, 269. [Google Scholar] [CrossRef]
  21. Wang, Z.; et al. More Powerful Twistron Carbon Nanotube Yarn Mechanical Energy Harvesters. Advanced Materials 2022, 34, 2201826. [Google Scholar] [CrossRef] [PubMed]
  22. Hu, X.; et al. Enhanced energy harvester performance by a tension annealed carbon nanotube yarn at extreme temperatures. Nanoscale 2022, 14, 16185–16192. [Google Scholar] [CrossRef] [PubMed]
  23. Hu, X.; et al. Enhanced energy harvester performance by a tension annealed carbon nanotube yarn at extreme temperatures. Nanoscale 2022, 14, 16185–16192. [Google Scholar] [CrossRef] [PubMed]
  24. Mamatha, B.; et al. Nanowear circuits: multiwalled carbon nanotubes transforming yarn into strain sensors. J Mater Sci: Mater Electron 2024, 35, 1449. [Google Scholar] [CrossRef]
  25. Abot, J.L.; Góngora-Rubio, M.R.; Anike, J.C.; Kiyono, C.Y.; Mello, L.A.M.; Cardoso, V.F.; Rosa, R.L.S.; Kuebler, D.A.; Brodeur, G.E.; Alotaibi, A.H.; et al. Foil Strain Gauges Using Piezoresistive Carbon Nanotube Yarn: Fabrication and Calibration. Sensors 2018, 18, 464. [Google Scholar] [CrossRef]
  26. Mun, T.J.; et al. Wearable Energy Generating and Storing Textile Based on Carbon Nanotube Yarns. Advanced Functional Materials 2022, 30, 2000411. [Google Scholar] [CrossRef]
  27. Kim,S. H.;et al.Harvesting electrical energy from carbon nanotube yarn twist. Science 2017, 357, 773–778. [Google Scholar] [CrossRef]
  28. Naumis, G. G.; Barraza-Lopez, S.; Oliva-Leyva, M.; Terrones, H. Electronic and optical properties of strained graphene and other strained 2D materials: a review. Rep. Prog. Phys 2017, 80, 096501. [Google Scholar] [CrossRef]
  29. Kitt, A. L.; Pereira, V. M.; Swan, A. K.; Goldberg, B. B. Lattice-corrected strain-induced vector potentials in graphene. Phys. Rev. B 2012, 85, 115432. [Google Scholar] [CrossRef]
  30. Debus, J. D.; Mendoza, M.; Herrmann, H. J. Shifted Landau levels in curved graphene sheets. J. Condens. Matter Phys. 2018, 30, 415503. [Google Scholar] [CrossRef]
  31. Nguyen, V.; Charlier, J. C. Aharonov–Bohm interferences in polycrystalline graphene. Nanoscale Advances 2020, 2, 256–263. [Google Scholar] [CrossRef] [PubMed]
  32. Guinea, F.; Geim, A. K.; Katsnelson, M. I.; Novoselov, K. S. Generating quantizing pseudomagnetic fields by bending graphene ribbons. Phys. Rev. B 2020, 81, 035408. [Google Scholar] [CrossRef]
  33. Ding, Y.M.; Huang, A.; Wu, Y.; Zhou, L. Strain-induced ferroelectric phase transition and second-harmonic generation enhancement in NbOCl2 monolayer. Appl. Phys. Lett 2024, 125, 151902. [Google Scholar] [CrossRef]
  34. Peng, X.; Chen, L.; Liu, Y.; Liu, C.; Huang, H.; Fan, J.; Xiong, P.; Zhu, J. Strain engineering of two-dimensional materials for energy storage and conversion applications. Chem. Synth 2023, 3, 47. [Google Scholar] [CrossRef]
  35. Thitapura, T.; Liewrian, W.; Jutarosaga, T.; Boonchui, S. Effect of Curvature-Induced Superlattice Structures on Energy Band Structures of Helically Coiled Carbon Nanotubes. Plasmonics 2017, 12, 1439–1447. [Google Scholar] [CrossRef]
  36. Atanasov, V.; Dandoloff, R. Effect of Curvature-induced quantum behaviour on a helical nanotube. Phys. Lett. A 2008, 372, 6141–6144. [Google Scholar] [CrossRef]
  37. Birrell, N. D.; Davies, P. C. W. Quantum Fields in Curved Space, 1st ed.; Cambridge University Press: Cambridge, United Kingdom, 1982; pp. 10–88. [Google Scholar]
  38. Atanasov, V.; Saxena, A. Electronic properties of corrugated graphene: the Heisenberg principle and wormhole geometry in the solid state. J. Condens. Matter Phys 2011, 23, 175301. [Google Scholar] [CrossRef]
  39. Park, C.H.; Yang, L.; Son, Y.W.; Cohen, M.L.; Louie, S.G. New Generation of Massless Dirac Fermions in Graphene under External Periodic Potentials. Phys. Rev. Lett 2008, 101, 126804. [Google Scholar] [CrossRef]
  40. Park, C.H.; Zheng Tan, L.; Louie, S.G. Theory of the electronic and transport properties of graphene under a periodic electric or magnetic field. Physica E Low Dimens. Syst. Nanostruct 2011, 43, 651–656. [Google Scholar] [CrossRef]
  41. Lenz, L.; Bercioux, D.G. Dirac-Weyl electrons in a periodic spin-orbit potential. Europhys Lett 2011, 96, 27006. [Google Scholar] [CrossRef]
  42. Charoenpakdee, J.; Suntijitrungruang, O.; Boonchui, S. Chirality effects on an electron transport in single-walled carbon nanotube. Sci Rep 2020, 10, 18949. [Google Scholar] [CrossRef] [PubMed]
  43. Izumida, W.; and Vikström, A.; Saito, R. Asymmetric velocities of Dirac particles and Vernier spectrum in metallic single-wall carbon nanotubes. Phys. Rev. B 2012, 85, 165430. [Google Scholar] [CrossRef]
  44. Izumida, W.; and Okuyama, R.; Yamakage, A.; Saito, R. Angular momentum and topology in semiconducting single-wall carbon nanotubes. Phys. Rev. B 2016, 93, 195442. [Google Scholar] [CrossRef]
  45. Barbero G, J. F .; Ferreiro, A.; Navarro-Salas, J.; Villaseñor, Eduardo ,J.S.Adiabatic expansions for Dirac fields, renormalization, and anomalies. Phys. Rev. D 2018, 98, 025016. [Google Scholar] [CrossRef]
  46. Faisal, F. H. M. Adiabatic solutions of a Dirac equation of a new class of quasi-particles and high harmonic generation from them in an intense electromagnetic field. J. Phys. B: At. Mol. Opt. Phys 2019, 44, 111001. [Google Scholar] [CrossRef]
  47. Roychowdhury, A.; Deffner, S. Time-Rescaling of Dirac Dynamics: Shortcuts to Adiabaticity in Ion Traps and Weyl Semimetals. Entropy 2021, 23, 81. [Google Scholar] [CrossRef]
Figure 1. The geometry of the helical tube is parameterized by two families of space curves that are S being the arc length and ϕ being the azimuth angle. r 0 is the radius of the carbon nanotube spring and ω 0 is the helical width of the pitch.
Figure 1. The geometry of the helical tube is parameterized by two families of space curves that are S being the arc length and ϕ being the azimuth angle. r 0 is the radius of the carbon nanotube spring and ω 0 is the helical width of the pitch.
Preprints 146124 g001
Figure 2. The indices μ and ν determine whether quantization lines intersect Dirac points in helical nanotubes, influencing the energy-momentum dispersion. a) Dispersion for ν = 0 at μ = 0 , 1 , 1 . b) Dispersion for ν = 1 at μ = 0 , 1 , 1 . c) Dispersion for ν = 1 at μ = 0 , 1 , 1 .
Figure 2. The indices μ and ν determine whether quantization lines intersect Dirac points in helical nanotubes, influencing the energy-momentum dispersion. a) Dispersion for ν = 0 at μ = 0 , 1 , 1 . b) Dispersion for ν = 1 at μ = 0 , 1 , 1 . c) Dispersion for ν = 1 at μ = 0 , 1 , 1 .
Preprints 146124 g002
Figure 3. a) The geometry of the helical tube structure in which the width of the helical pitch ω 0 is changed due to the external force or strain ω ( t ) = ω 0 + Δ ω sin ( Ω t ) . The insets illustrate the time-dependent variation of the applied strain within the system b) The equivalent electrical circuit of a strained CNT spring consists of an internal resistance (R) connected in series with a time-dependent current source ( I S ( t ) ), and this combination is connected in parallel with a capacitance (C).
Figure 3. a) The geometry of the helical tube structure in which the width of the helical pitch ω 0 is changed due to the external force or strain ω ( t ) = ω 0 + Δ ω sin ( Ω t ) . The insets illustrate the time-dependent variation of the applied strain within the system b) The equivalent electrical circuit of a strained CNT spring consists of an internal resistance (R) connected in series with a time-dependent current source ( I S ( t ) ), and this combination is connected in parallel with a capacitance (C).
Preprints 146124 g003
Figure 4. a) Depicts the time-dependent current source. The inset shows the Fourier coefficients corresponding to the time-dependent current source derived under applied strain.b) Displays Δ κ ( t ) , the time-dependent change in the curvature parameter caused by strain. The inset includes the Fourier coefficients of Δ κ ( t ) .c) Represents the equivalent circuit model of the system when detecting the short-circuit current (SCC).
Figure 4. a) Depicts the time-dependent current source. The inset shows the Fourier coefficients corresponding to the time-dependent current source derived under applied strain.b) Displays Δ κ ( t ) , the time-dependent change in the curvature parameter caused by strain. The inset includes the Fourier coefficients of Δ κ ( t ) .c) Represents the equivalent circuit model of the system when detecting the short-circuit current (SCC).
Preprints 146124 g004
Disclaimer/Publisher’s Note: The statements, opinions and data contained in all publications are solely those of the individual author(s) and contributor(s) and not of MDPI and/or the editor(s). MDPI and/or the editor(s) disclaim responsibility for any injury to people or property resulting from any ideas, methods, instructions or products referred to in the content.
Copyright: This open access article is published under a Creative Commons CC BY 4.0 license, which permit the free download, distribution, and reuse, provided that the author and preprint are cited in any reuse.
Prerpints.org logo

Preprints.org is a free preprint server supported by MDPI in Basel, Switzerland.

Subscribe

Disclaimer

Terms of Use

Privacy Policy

Privacy Settings

© 2026 MDPI (Basel, Switzerland) unless otherwise stated