Submitted:
25 December 2024
Posted:
26 December 2024
You are already at the latest version
Abstract
Keywords:
1. Introduction
2. Materials and Methods
2.1. Medium, Bacterial Strains and Maintenance
2.2. Cultivation
2.3. Dry Cell Weight Measurement
2.4. Lipid Contents
2.5. Fatty Acid Methyl Ester (FAME) Analysis
2.6. Bodipy Staining for Qualifying Lipid Inside the Cells
2.7. qPCR Analysis of Gene Transcript Levels in S. jeddahensis Strain
3. Results and Discussion
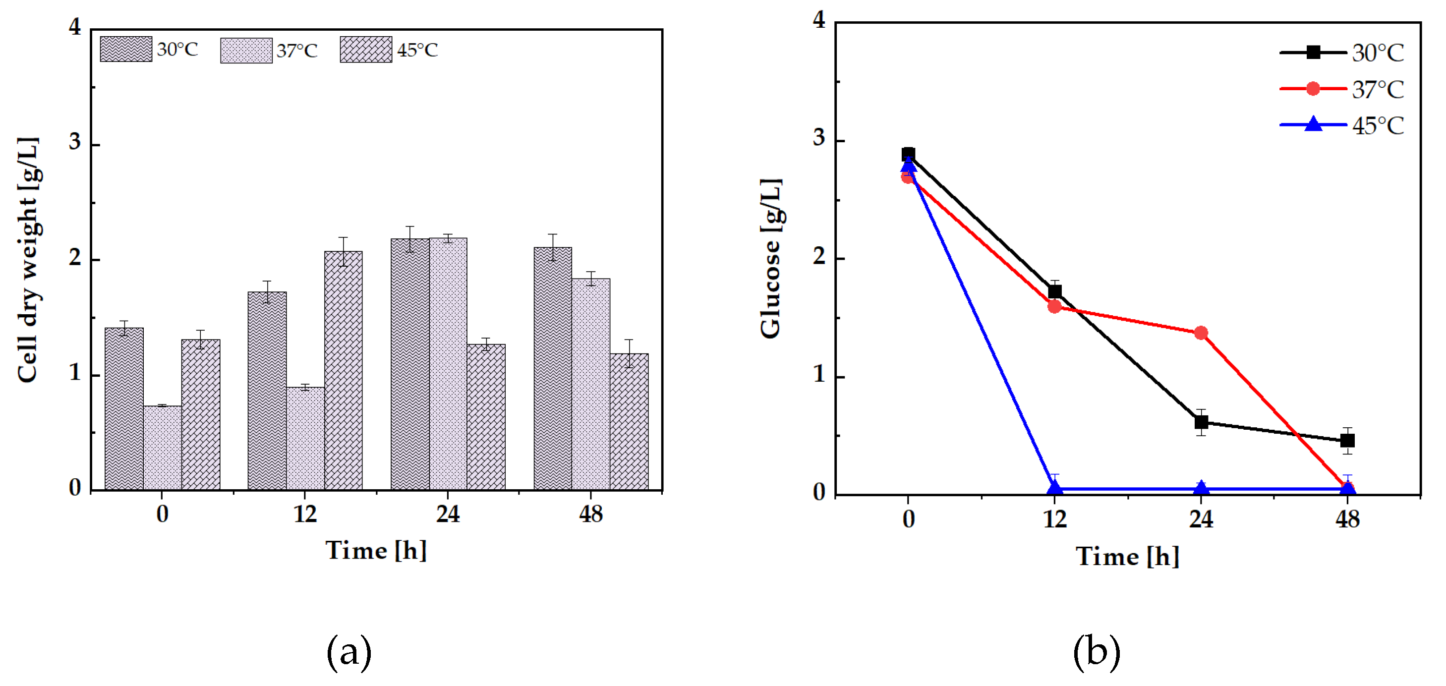
3.1. Effect of Temperature and Carbon Source on S. jeddahensis Growth
3.2. Lipid Accumulation in S. jeddahensis
3.3. Total Fatty Acid in S. jeddahensis
3.4. Gene Expression Analysis


4. Conclusions
Supplementary Materials
Author Contributions
Funding
Institutional Review Board Statement
Informed Consent Statement
Data Availability Statement
Conflicts of Interest
References
- Dávila Costa, J.S.; Leichert, L.; Alvarez, H.M.; Herrero, O.M. Label-Free and Redox Proteomic Analyses of the Triacylglycerol-Accumulating Rhodococcus Jostii RHA1. Microbiology (N Y) 2015, 161, 593–610. [Google Scholar] [CrossRef] [PubMed]
- Wältermann, M.; Luftmann, H.; Baumeister, D.; Kalscheuer, R.; Steinbüchel, A. Rhodococcus Opacus Strain PD630 as a New Source of High-Value Single-Cell Oil? Isolation and Characterization of Triacylglycerols and Other Storage Lipids. Microbiology (N Y) 2000, 146, 1143–1149. [Google Scholar] [CrossRef] [PubMed]
- Röttig, A.; Atasayar, E.; Meier-Kolthoff, J.P.; Spröer, C.; Schumann, P.; Schauer, J.; Steinbüchel, A. Streptomyces jeddahensis Sp. Nov., an Oleaginous Bacterium Isolated from Desert Soil. Int J Syst Evol Microbiol 2017, 67, 1676–1682. [Google Scholar] [CrossRef]
- Amara, S.; Seghezzi, N.; Otani, H.; Diaz-Salazar, C.; Liu, J.; Eltis, L.D. Characterization of Key Triacylglycerol Biosynthesis Processes in Rhodococci. Sci Rep 2016, 6, 24985. [Google Scholar] [CrossRef]
- Kim, H.M.; Chae, T.U.; Choi, S.Y.; Kim, W.J.; Lee, S.Y. Engineering of an Oleaginous Bacterium for the Production of Fatty Acids and Fuels. Nat Chem Biol 2019, 15, 721–729. [Google Scholar] [CrossRef] [PubMed]
- Yang, X.; Jin, G.; Wang, Y.; Shen, H.; Zhao, Z.K. Lipid Production on Free Fatty Acids by Oleaginous Yeasts under Non-Growth Conditions. Bioresour Technol 2015, 193, 557–562. [Google Scholar] [CrossRef] [PubMed]
- Röttig, A.; Hauschild, P.; Madkour, M.H.; Al-Ansari, A.M.; Almakishah, N.H.; Steinbüchel, A. Analysis and Optimization of Triacylglycerol Synthesis in Novel Oleaginous Rhodococcus and Streptomyces Strains Isolated from Desert Soil. J Biotechnol 2016, 225, 48–56. [Google Scholar] [CrossRef]
- Peacock, L.; Ward, J.; Ratledge, C.; Dickinson, F.M.; Ison, A. How Streptomyces Lividans Uses Oils and Sugars as Mixed Substrates. Enzyme Microb Technol 2003, 32, 157–166. [Google Scholar] [CrossRef]
- Berry, E.D.; Foegeding, P.M. Cold Temperature Adaptation and Growth of Microorganisms. J Food Prot 1997, 60, 1583–1594. [Google Scholar] [CrossRef] [PubMed]
- Beales, N. Adaptation of Microorganisms to Cold Temperatures, Weak Acid Preservatives, Low PH, and Osmotic Stress: A Review. Compr Rev Food Sci Food Saf 2004, 3, 1–20. [Google Scholar] [CrossRef]
- Sánchez, S.; Chávez, A.; Forero, A.; García-Huante, Y.; Romero, A.; Sánchez, M.; Rocha, D.; Sánchez, B.; Ávalos, M.; Guzmán-Trampe, S.; et al. Carbon Source Regulation of Antibiotic Production. J Antibiot (Tokyo) 2010, 63, 442–459. [Google Scholar] [CrossRef]
- L. Demain Arnold “Carbon Source Regulation of Idiolite Biosynthesis in Actinomycetes”. Regulation of Secondary Metabolism in Actinomycetes; CRC Press, 2020; ISBN 9781003068600.
- O-Thong, S.; Zhu, X.; Angelidaki, I.; Zhang, S.; Luo, G. Medium Chain Fatty Acids Production by Microbial Chain Elongation: Recent Advances. In; 2020; pp. 63–99.
- Lin, J.; Shen, H.; Tan, H.; Zhao, X.; Wu, S.; Hu, C.; Zhao, Z.K. Lipid Production by Lipomyces Starkeyi Cells in Glucose Solution without Auxiliary Nutrients. J Biotechnol 2011, 152, 184–188. [Google Scholar] [CrossRef]
- Kim, G.J.; Lee, I.Y.; Yoon, S.C.; Shin, Y.C.; Park, Y.H. Enhanced Yield and a High Production of Medium-Chain-Length Poly(3-Hydroxyalkanoates) in a Two-Step Fed-Batch Cultivation of Pseudomonas Putida by Combined Use of Glucose and Octanoate. Enzyme Microb Technol 1997, 20, 500–505. [Google Scholar] [CrossRef]
- Fei, Q.; Wewetzer, S.J.; Kurosawa, K.; Rha, C.; Sinskey, A.J. High-Cell-Density Cultivation of an Engineered Rhodococcus Opacus Strain for Lipid Production via Co-Fermentation of Glucose and Xylose. Process Biochemistry 2015, 50, 500–506. [Google Scholar] [CrossRef]
- Cabecas Segura, P.; Onderwater, R.; Deutschbauer, A.; Dewasme, L.; Wattiez, R.; Leroy, B. Study of the Production of Poly(Hydroxybutyrate-Co-Hydroxyhexanoate) and Poly(Hydroxybutyrate- Co -Hydroxyvalerate- Co- Hydroxyhexanoate) in Rhodospirillum Rubrum. Appl Environ Microbiol 2022, 88. [Google Scholar] [CrossRef]
- Hu, C.; Wu, S.; Wang, Q.; Jin, G.; Shen, H.; Zhao, Z.K. Simultaneous Utilization of Glucose and Xylose for Lipid Production by Trichosporon Cutaneum. Biotechnol Biofuels 2011, 4, 25. [Google Scholar] [CrossRef] [PubMed]
- Fontaine, P.; Mosrati, R.; Corroler, D. Medium Chain Length Polyhydroxyalkanoates Biosynthesis in Pseudomonas Putida Mt-2 Is Enhanced by Co-Metabolism of Glycerol/Octanoate or Fatty Acids Mixtures. Int J Biol Macromol 2017, 98, 430–435. [Google Scholar] [CrossRef] [PubMed]
- Sass, P. (ed. ) Antibiotics: Methods and Protocols, Methods in Molecular Biology 2nd Edition; New York, 2022; Antibiotics.
- Livak, K.J.; Schmittgen, T.D. Analysis of Relative Gene Expression Data Using Real-Time Quantitative PCR and the 2−ΔΔCT Method. Methods 2001, 25, 402–408. [Google Scholar] [CrossRef] [PubMed]
- Bosdriesz, E.; Wortel, M.T.; Haanstra, J.R.; Wagner, M.J.; de la Torre Cortés, P.; Teusink, B. Low Affinity Uniporter Carrier Proteins Can Increase Net Substrate Uptake Rate by Reducing Efflux. Sci Rep 2018, 8, 5576. [Google Scholar] [CrossRef] [PubMed]
- Converti, A.; Casazza, A.A.; Ortiz, E.Y.; Perego, P.; Del Borghi, M. Effect of Temperature and Nitrogen Concentration on the Growth and Lipid Content of Nannochloropsis Oculata and Chlorella Vulgaris for Biodiesel Production. Chemical Engineering and Processing: Process Intensification 2009, 48, 1146–1151. [Google Scholar] [CrossRef]
- Schilling, O. A Protein-Dependent Riboswitch Controlling PtsGHI Operon Expression in Bacillus Subtilis: RNA Structure Rather than Sequence Provides Interaction Specificity. Nucleic Acids Res 2004, 32, 2853–2864. [Google Scholar] [CrossRef]
- Trakunjae, C.; Boondaeng, A.; Apiwatanapiwat, W.; Janchai, P.; Neoh, S.Z.; Sudesh, K.; Vaithanomsat, P. Statistical Optimization of P(3HB-Co-3HHx) Copolymers Production by Cupriavidus Necator PHB−4/PBBR_CnPro-PhaCRp and Its Properties Characterization. Sci Rep 2023, 13, 9005. [Google Scholar] [CrossRef] [PubMed]
- Lindenkamp, N.; Volodina, E.; Steinbüchel, A. Genetically Modified Strains of Ralstonia Eutropha H16 with β-Ketothiolase Gene Deletions for Production of Copolyesters with Defined 3-Hydroxyvaleric Acid Contents. Appl Environ Microbiol 2012, 78, 5375–5383. [Google Scholar] [CrossRef]
- Iram, S.H.; Cronan, J.E. The β-Oxidation Systems of Escherichia Coli and Salmonella Enterica Are Not Functionally Equivalent. J Bacteriol 2006, 188, 599–608. [Google Scholar] [CrossRef]
- Schroda, M.; deVitry, C. Molecular Chaperones, Proteases, and Unfolded Protein Responses. In The Chlamydomonas Sourcebook; Elsevier, 2023; pp. 647–689.
- Russell, A.D. Lethal Effects of Heat on Bacterial Physiology and Structure. Sci Prog 2003, 86, 115–137. [Google Scholar] [CrossRef] [PubMed]
- Alvarez, H.M.; Steinbüchel, A. Physiology, Biochemistry, and Molecular Biology of Triacylglycerol Accumulation by Rhodococcus. In; 2010; pp. 263–290.
- Yang, Y.; Jalalah, M.; Alsareii, S.A.; Harraz, F.A.; Thakur, N.; Zheng, Y.; Alalawy, A.I.; Koutb, M.; Salama, E.-S. Potential of Oleaginous Microbes for Lipid Accumulation and Renewable Energy Generation. World J Microbiol Biotechnol 2024, 40, 337. [Google Scholar] [CrossRef] [PubMed]
- Koreti, D.; Kosre, A.; Jadhav, S.K.; Chandrawanshi, N.K. A Comprehensive Review on Oleaginous Bacteria: An Alternative Source for Biodiesel Production. Bioresour Bioprocess 2022, 9, 47. [Google Scholar] [CrossRef] [PubMed]
- Patel, A.; Antonopoulou, I.; Enman, J.; Rova, U.; Christakopoulos, P.; Matsakas, L. Lipids Detection and Quantification in Oleaginous Microorganisms: An Overview of the Current State of the Art. BMC Chemical Engineering 2019, 1, 13. [Google Scholar] [CrossRef]
- Gorte, O.; Kugel, M.; Ochsenreither, K. Optimization of Carbon Source Efficiency for Lipid Production with the Oleaginous Yeast Saitozyma Podzolica DSM 27192 Applying Automated Continuous Feeding. Biotechnol Biofuels 2020, 13, 181. [Google Scholar] [CrossRef] [PubMed]
- Moon, S.; Ham, S.; Jeong, J.; Ku, H.; Kim, H.; Lee, C. Temperature Matters: Bacterial Response to Temperature Change. Journal of Microbiology 2023, 61, 343–357. [Google Scholar] [CrossRef]
- Zhu, L.; Cheng, J.; Luo, B.; Feng, S.; Lin, J.; Wang, S.; Cronan, J.E.; Wang, H. Functions of the Clostridium Acetobutylicium FabF and FabZ Proteins in Unsaturated Fatty Acid Biosynthesis. BMC Microbiol 2009, 9, 119. [Google Scholar] [CrossRef] [PubMed]
- Ogawa, T.; Tanaka, A.; Kawamoto, J.; Kurihara, T. Purification and Characterization of 1-Acyl-Sn-Glycerol-3-Phosphate Acyltransferase with a Substrate Preference for Polyunsaturated Fatty Acyl Donors from the Eicosapentaenoic Acid-Producing Bacterium Shewanella Livingstonensis Ac10. The Journal of Biochemistry 2018, 164, 33–39. [Google Scholar] [CrossRef] [PubMed]
- Shi, K.; Gao, Z.; Shi, T.-Q.; Song, P.; Ren, L.-J.; Huang, H.; Ji, X.-J. Reactive Oxygen Species-Mediated Cellular Stress Response and Lipid Accumulation in Oleaginous Microorganisms: The State of the Art and Future Perspectives. Front Microbiol 2017, 8. [Google Scholar] [CrossRef]
- Paulsen, I.T. Carbon Metabolism and Its Regulation in Streptomyces and Other High GC Gram-Positive Bacteria. Res Microbiol 1996, 147, 535–541. [Google Scholar] [CrossRef] [PubMed]
- Bucca, G.; Pothi, R.; Hesketh, A.; Möller-Levet, C.; Hodgson, D.A.; Laing, E.E.; Stewart, G.R.; Smith, C.P. Translational Control Plays an Important Role in the Adaptive Heat-Shock Response of Streptomyces Coelicolor. Nucleic Acids Res 2018, 46, 5692–5703. [Google Scholar] [CrossRef]
- Narberhaus, F.; Waldminghaus, T.; Chowdhury, S. RNA Thermometers. FEMS Microbiol Rev 2006, 30, 3–16. [Google Scholar] [CrossRef]
- Kalscheuer, R.; Steinbüchel, A. A Novel Bifunctional Wax Ester Synthase/Acyl-CoA:Diacylglycerol Acyltransferase Mediates Wax Ester and Triacylglycerol Biosynthesis InAcinetobacter Calcoaceticus ADP1. Journal of Biological Chemistry 2003, 278, 8075–8082. [Google Scholar] [CrossRef] [PubMed]
- Wältermann, M.; Stöveken, T.; Steinbüchel, A. Key Enzymes for Biosynthesis of Neutral Lipid Storage Compounds in Prokaryotes: Properties, Function and Occurrence of Wax Ester Synthases/Acyl-CoA:Diacylglycerol Acyltransferases. Biochimie 2007, 89, 230–242. [Google Scholar] [CrossRef] [PubMed]
- Santos, C.A.; Morais, M.A.B.; Terrett, O.M.; Lyczakowski, J.J.; Zanphorlin, L.M.; Ferreira-Filho, J.A.; Tonoli, C.C.C.; Murakami, M.T.; Dupree, P.; Souza, A.P. An Engineered GH1 β-Glucosidase Displays Enhanced Glucose Tolerance and Increased Sugar Release from Lignocellulosic Materials. Sci Rep 2019, 9, 4903. [Google Scholar] [CrossRef]
- Zhang, X.; Chen, X.; Li, S.; Bello, A.; Liu, J.; Gao, L.; Fan, Z.; Wang, S.; Liu, L.; Ma, B.; et al. Mechanism of Differential Expression of β-Glucosidase Genes in Functional Microbial Communities in Response to Carbon Catabolite Repression. Biotechnology for Biofuels and Bioproducts 2022, 15, 3. [Google Scholar] [CrossRef]





| Gene | Forward primer (5’→3’) | Reverse primer (5’→3’) |
|---|---|---|
| STSP_00760 (plsC_1) | CCGTGAACCACTCCCACAA | ACCTTCAGCTGGCCGATTC |
| STSP_00850 | GCCAGTGCGTACCGAGATAG | CTCGCCTATATGGCCTCGAC |
| STSP_01000 (inhA_1) | CAGGTTGCAGCGGATGTTCT | CGCAGTACGACTGGATGGG |
| STSP_01010 (fabG1_1) | CTCCAGTGATGTACGAGGCG | TCGACACCGACATGACCAAG |
| STSP_03080 (DGAT) | GATCGACGGGGTCCATCAC | TTCGCCGTGCTGTTCAAGTT |
| STSP_12530 | TAGCCCCACTCGAAGTTGTC | CGGACCGTATCGCGTATCTG |
| STSP_17580 (bkdA_1) | GTTGACACCACGGAACATGC | GACGACTACGTCTTCCCGAC |
| STSP_19060 (gpsA) | GATGGTCTCCTCCAGGGTCA | CATGACCTTCTCCGGACTCG |
| STSP_28680 (accD5_1) | CATCAAGCAGCTCCTGTCGT | CTCGATGACCTCGTGCATGT |
| STSP_45110 (tesB_2) | GTACTTCGGCAGTGACTCGG | GCAGCCGATCTTCCATCTGT |
| STSP_45150 (accA1_2) | CGGAGAGCTATCTGTCGGTG | CTCGGCGAGGAATCCGTATC |
| STSP_50580 (FabZ) | CCGACCTCTTTGGCGAACTT | GCCCAGACCTTCAACGTGAC |
| STSP_61390 (ilvE) | TGACGATCAAGTGGACGGAG | CGAAGATCTCCTGGGCGTAG |
| STSP_67970 (fabD) | GCGTACGTCTCGAACAAGGA | TCTGGAACGTCTCCATGCAC |
| STSP_67980 (fabH_2) | AGCTGATCAAGCAGACCGTG | GGAACTTGATGTCGCCGTTG |
| STSP_68010 (fabF) | CGATCGAGATGATCCGCACC | TGTTCTTGGACATCGCCATCA |
| STSP_72400 (lcfB-5) | CACGAGACGGTCTACATCGG | ATCGTCACAGCTCAACTCGG |
| STSP_74190 | TACCTGGTCCGTCAGGTTGA | AAGTGGACGATCCAGTTCGG |
| rpoB1 | GTAGTTGTGACCCTCCCACG | GACTACATCACCACCGCCAA |
Disclaimer/Publisher’s Note: The statements, opinions and data contained in all publications are solely those of the individual author(s) and contributor(s) and not of MDPI and/or the editor(s). MDPI and/or the editor(s) disclaim responsibility for any injury to people or property resulting from any ideas, methods, instructions or products referred to in the content. |
© 2024 by the authors. Licensee MDPI, Basel, Switzerland. This article is an open access article distributed under the terms and conditions of the Creative Commons Attribution (CC BY) license (http://creativecommons.org/licenses/by/4.0/).
