Submitted:
14 January 2025
Posted:
14 January 2025
You are already at the latest version
Abstract
Keywords:
1. Introduction
2. Material and Methods
- S-1: After the growth of InAs/GaAs, As4 capping was performed in situ in the MBE to protect the semiconductor surface from oxidation, followed by air exposure and then re-insertion into the MBE chamber. The As4 is then decapped at around 350 °C, followed by 50 nm Al growth in the MBE with the protocol described above with pressure around 10−12 mbar.
- S-2: The InAs/GaAs sample was As-capped and exposed to air as in S-1 and then inserted in a sputtering chamber followed by As4 decapping and 50 nm Al growth at room temperature with a background pressure around 10−7 mbar.
- S-3: The InAs/GaAs (without the capping layer) was oxidized by air exposure and then inserted in the sputtering chamber where 50 nm Al was grown as in S-2.
3. Results and Discussions
3.1. Optimization of InAs QW Structures
3.2. Characterization of Al Thin Films and Devices
3.2.1. Structural Characterizations
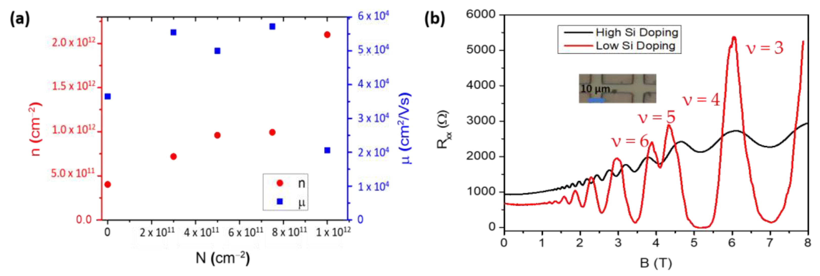
3.2.2. Electrical Characterizations
4. Conclusions
Author Contributions
Funding
Institutional Review Board Statement
Informed Consent Statement
Data Availability Statement
Conflicts of Interest
References
- Aasen, D.; Hell, M.; Mishmash, R.V.; Higginbotham, A.; Danon, J.; Leijnse, M.; Jespersen, T.S.; Folk, J.A.; Marcus, C.M.; Flensberg, K.; et al. Milestones toward Majorana-Based Quantum Computing. Phys. Rev. X 2016, 6, 031016. [CrossRef]
- De Lange, G.; van Heck, B.; Bruno, A.; van Woerkom, D.J.; Geresdi, A.; Plissard, S.R.; Bakkers, E.P.A.M.; Akhmerov, A.R.; DiCarlo, L. Realization of Microwave Quantum Circuits Using Hybrid Superconducting-Semiconducting Nanowire Josephson Elements. Phys. Rev. Lett. 2015, 115, 127002. [CrossRef]
- Larsen, T.W.; Petersson, K.D.; Kuemmeth, F.; Jespersen, T.S.; Krogstrup, P.; Nygård, J.; Marcus, C.M. Semiconductor-Nanowire-Based Superconducting Qubit. Phys. Rev. Lett. 2015, 115, 127001. [CrossRef]
- Leijnse, M.; Flensberg, K. Quantum Information Transfer between Topological and Spin Qubit Systems. Phys. Rev. Lett. 2011, 107, 210502. [CrossRef]
- Kjaergaard, M.; Suominen, H.J.; Nowak, M.P.; Akhmerov, A.R.; Shabani, J.; Palmstrøm, C.J.; Nichele, F.; Marcus, C.M. Transparent Semiconductor-Superconductor Interface and Induced Gap in an Epitaxial Heterostructure Josephson Junction. Phys. Rev. Appl. 2017, 7, 034029. [CrossRef]
- Beenakker, C.W.J. Universal Limit of Critical-Current Fluctuations in Mesoscopic Josephson Junctions. Phys. Rev. Lett. 1991, 67, 3836–3839. [CrossRef]
- Beenakker, C.W.J. Quantum transport in semiconductor-superconductor microjunctions. Phys. Rev. B 1992, 46, 12841–12844. [CrossRef]
- Hays, M.; Fatemi, V.; Serniak, K.; Bouman, D.; Diamond, S.; de Lange, G.; Krogstrup, P.; Nygård, J.; Geresdi, A.; Devoret, M.H. Continuous Monitoring of a Trapped Superconducting Spin. Nat. Phys. 2020, 16, 1103–1107. [CrossRef]
- Deng, M.T.; Vaitiekėnas, S.; Hansen, E.B.; Danon, J.; Leijnse, M.; Flensberg, K.; Nygård, J.; Krogstrup, P.; Marcus, C.M.; Majorana bound state in a coupled quantum-dot hybrid-nanowire system. Science 2016, 354, 1557–1562. [CrossRef]
- Lee, J.S.; Shojaei, B.; Pendharkar, M.; McFadden, A.P.; Kim, Y.; Suominen, H.J.; Kjaergaard, M.; Nichele, F.; Zhang, H.; Marcus, C.M.; et al. Transport Studies of Epi-Al/InAs Two-Dimensional Electron Gas Systems for Required Building-Blocks in Topological Superconductor Networks. Nano Lett. 2019, 19, 3083–3090. [CrossRef]
- A Yu Kitaev, Unpaired Majorana fermions in quantum wires. Physics-Uspekhi 2001, 44, 131–136. [CrossRef]
- Reeg, C.; Dmytruk, O.; Chevallier, D.; Loss, D.; Klinovaja, J. Zero-Energy Andreev Bound States from Quantum Dots in Proximitized Rashba Nanowires. Phys. Rev. B 2018, 98, 245407. [CrossRef]
- Prada, E.; San-Jose, P.; de Moor, M.W.A.; Geresdi, A.; Lee, E.J.H.; Klinovaja, J.; Loss, D.; Nygård, J.; Aguado, R.; Kouwenhoven, L.P. From Andreev to Majorana Bound States in Hybrid Superconductor–Semiconductor Nanowires. Nat. Rev. Phys. 2020, 2, 575–594. [CrossRef]
- Rančić, M.J. Exactly Solving the Kitaev Chain and Generating Majorana-Zero-Modes out of Noisy Qubits. Sci. Rep. 2022, 12, 19882. [CrossRef]
- Hassler, F.; Akhmerov, A.R.; Beenakker, C.W.J. The Top-Transmon: A Hybrid Superconducting Qubit for Parity-Protected Quantum Computation. New J. Phys. 2011, 13, 095004. [CrossRef]
- Sau, J.D.; Tewari, S.; das Sarma, S. Experimental and Materials Considerations for the Topological Superconducting State in Electron- and Hole-Doped Semiconductors: Searching for Non-Abelian Majorana Modes in 1D Nanowires and 2D Heterostructures. Phys. Rev. B Condens. Matter Mater. Phys. 2012, 85, 064512. [CrossRef]
- Cole, W.S.; das Sarma, S.; Stanescu, T.D. Effects of Large Induced Superconducting Gap on Semiconductor Majorana Nanowires. Phys. Rev. B Condens. Matter Mater. Phys. 2015, 92, 174511. [CrossRef]
- Fornieri, A.; Whiticar, A.M.; Setiawan, F.; Portolés, E.; Drachmann, A.C.C.; Keselman, A.; Gronin, S.; Thomas, C.; Wang, T.; Kallaher, R.; et al. Evidence of Topological Superconductivity in Planar Josephson Junctions. Nature 2019, 569, 89–92. [CrossRef]
- Zhang, T.; Lindemann, T.; Gardner, G.C.; Gronin, S.; Wu, T.; Manfra, M.J. Mobility exceeding 100,000 cm2/Vs in modulation-doped shallow InAs quantum wells coupled to epitaxial aluminum. Phys. Rev. Mater. 2023, 7, 056201. [CrossRef]
- Nichele, F.; Drachmann, A.C.C.; Whiticar, A.M.; O’Farrell, E.C.T.; Suominen, H.J.; Fornieri, A.; Wang, T.; Gardner, G.C.; Thomas, C.; Hatke, A.T.; et al. Scaling of Majorana Zero-Bias Conductance Peaks. Phys. Rev. Lett. 2017, 119, 136803. [CrossRef]
- Tschirky, T.; Mueller, S.; Lehner, C.A.; Fält, S.; Ihn, T.; Ensslin, K.; Wegscheider, W. Scattering Mechanisms of Highest-Mobility InAs/AlxGa1-XSb Quantum Wells. Phys. Rev. B 2017, 95, 115304. [CrossRef]
- Hatke, A.T.; Wang, T.; Thomas, C.; Gardner, G.; Manfra, M.J. Mobility in excess of 106 cm2/Vs in InAs quantum wells grown on lattice mismatched InP substrates. Appl. Phys. Lett. 2017, 111, 142106. [CrossRef]
- Benali, A.; Rajak, P.; Ciancio, R.; Plaisier, J.R.; Heun, S.; Biasiol, G. Metamorphic InAs/InGaAs QWs with electron mobilities exceeding 7×105 cm2/Vs. J. Cryst. Growth 2022, 593, 126768. [CrossRef]
- Lee, J.S.; Shojaei, B.; Pendharkar, M.; Feldman, M.; Mukherjee, K.; Palmstrøm, C.J. Contribution of top barrier materials to high mobility in near-surface InAs quantum wells grown on GaSb(001). Phys. Rev. Mater. 2019, 3, 014603. [CrossRef]
- Wickramasinghe, K.S.; Mayer, W.; Yuan, J.; Nguyen, T.; Jiao, L.; Manucharyan, V.; Shabani, J. Transport Properties of near Surface InAs Two-Dimensional Heterostructures. Appl. Phys. Lett. 2018, 113, 262104. [CrossRef]
- Suominen, H.J.; Kjaergaard, M.; Hamilton, A.R.; Shabani, J.; Palmstrøm, C.J.; Marcus, C.M.; Nichele, F. Zero-Energy Modes from Coalescing Andreev States in a Two-Dimensional Semiconductor-Superconductor Hybrid Platform. Phys. Rev. Lett. 2017, 119, 176805. [CrossRef]
- Gardner, G.C.; Fallahi, S.; Watson, J.D.; Manfra, M.J. Modified MBE hardware and techniques and role of gallium purity for attainment of two dimensional electron gas mobility >35 × 106 cm2/V s in AlGaAs/GaAs quantum wells grown by MBE. J. Cryst. Growth 2016, 441, 71–77. [CrossRef]
- Krogstrup, P.; Ziino, N.L.B.; Chang, W.; Albrecht, S.M.; Madsen, M.H.; Johnson, E.; Nygård, J.; Marcus, C.M.; Jespersen, T.S. Epitaxy of Semiconductor-Superconductor Nanowires. Nat. Mater. 2015, 14, 400–406. [CrossRef]
- Shabani, J.; Kjaergaard, M.; Suominen, H.J.; Kim, Y.; Nichele, F.; Pakrouski, K.; Stankevic, T.; Lutchyn, R.M.; Krogstrup, P.; Feidenhans’L, R.; et al. Two-Dimensional Epitaxial Superconductor-Semiconductor Heterostructures: A Platform for Topological Superconducting Networks. Phys. Rev. B 2016, 93, 155402. [CrossRef]
- Pappas, D.P.; Arnold, C.S. Application of W–Re Thermocouples for in Situ Ultrahigh Vacuum Use over a Wide Temperature Range. Rev. Sci. Instrum. 2005, 76, 016104. [CrossRef]
- Tiilikainen, J.; Tilli, J.M.; Bosund, V.; Mattila, M.; Hakkarainen, T.; Sormunen, J.; Lipsanen, H. Accuracy in X-Ray Reflectivity Analysis. J. Phys. D Appl. Phys. 2007, 40, 7497–7501. [CrossRef]
- Nečas, D.; Klapetek, P. Gwyddion: An Open-Source Software for SPM Data Analysis. Cent. Eur. J. Phys. 2012, 10, 181–188. [CrossRef]
- Rebuffi, L.; Plaisier, J.R.; Abdellatief, M.; Lausi, A.; Scardi, A.P. Mcx: A Synchrotron Radiation Beamline for X-Ray Diffraction Line Profile Analysis. Z. Anorg. Allg. Chem. 2014, 640, 3100–3106. [CrossRef]
- Troian, A.; Knutsson, J.V.; McKibbin, S.R.; Yngman, S.; Babadi, A.S.; Wernersson, L.E.; Mikkelsen, A.; Timm, R. InAs-oxide interface composition and stability upon thermal oxidation and high-k atomic layer deposition. AIP Adv. 2018, 8, 125227. [CrossRef]
- Nagaiah, P.; Tokranov, V.; Yakimov, M.; Koveshnikov, S.; Oktyabrsky, S.; Veksler, D.; Tsai, W.; Bersuker, G. Mobility and Remote Scattering in Buried InGaAs Quantum Well Channels with High-k Gate Oxide. J. Vac. Sci. Technol. B Nanotechnol. Microelectron. Mater. Process. Meas. Phenom. 2010, 28, C3H5–C3H9. [CrossRef]
- Tan, I.H.; Snider, G.L.; Chang, L.D.; Hu, E.L. A Self-Consistent Solution of Schrödinger-Poisson Equations Using a Nonuniform Mesh. J. Appl. Phys. 1990, 68, 4071–4076. [CrossRef]
- Capotondi, F.; Biasiol, G.; Vobornik, I.; Sorba, L.; Giazotto, F.; Cavallini, A.; Fraboni, B. Two-dimensional electron gas formation in undoped In0.75Ga0.25As/In0.75Al0.25As quantum wells. J. Vac. Sci. Technol. B 2004, 702–706. [CrossRef]
- Lee, S.T.; Lee, I.G.; Jang, H.; Kong, M.; Song, C.; Kim, C.Z.; Jung, S.H.; Choi, Y.; Kim, S.; Eom, S.K.; et al. High Performance InGaAs Channel MOSFETs on Highly Resistive InAlAs Buffer Layers. Solid State Electron. 2021, 176, 107940. [CrossRef]
- Umansky, V.; de-Picciotto, R.; Heiblum, M. Extremely High-Mobility Two Dimensional Electron Gas: Evaluation of Scattering Mechanisms. Appl. Phys. Lett. 1997, 71, 683–685. [CrossRef]
- Sütő, M.; Prok, T.; Makk, P.; Kirti, M.; Biasiol, G.; Tóvári, E.; Csonka, S. Near-Surface InAs 2DEG on a GaAs Substrate: Characterization and Superconducting Proximity Effect. Phys. Rev. B 2022, 106, 235404. [CrossRef]
- Ercolani, D.; Biasiol, G.; Cancellieri, E.; Rosini, M.; Jacoboni, C.; Carillo, F.; Heun, S.; Sorba, L.; Nolting, F. Transport anisotropy in In0.75 Ga0.25 As two-dimensional electron gases induced by indium concentration modulation. Phys. Rev. B 2008, 77, 235307. [CrossRef]
- Chang, K.H.; Gilbala, R.; Srolovitz, D.J.; Bhattacharya, P.K.; Mansfield, J.F. Crosshatched Surface Morphology in Strained III-V Semiconductor Films. J. Appl. Phys. 1990, 67, 4093–4098. [CrossRef]
- Liu, H.W.; Lin, F.C.; Lin, S.W.; Wu, J.Y.; Chou, B.T.; Lai, K.J.; Lin, S.D.; Huang, J.S. Single-Crystalline Aluminum Nanostructures on a Semiconducting GaAs Substrate for Ultraviolet to Near-Infrared Plasmonics. ACS Nano 2015, 9, 3875–3886. [CrossRef]
- Tsai, Y.H.; Wu, Y.H.; Ting, Y.Y.; Wu, C.C.; Wu, J.S.; Lin, S. Di. Nano- to Atomic-Scale Epitaxial Aluminum Films on Si Substrate Grown by Molecular Beam Epitaxy. AIP Adv. 2019, 9, 105001. [CrossRef]
- Lin, S.W.; Wu, J.Y.; Lin, S.D.; Lo, M.C.; Lin, M.H.; Liang, C. Te. Characterization of Single-Crystalline Aluminum Thin Film on (100) GaAs Substrate. Jpn. J. Appl. Phys. 2013, 52, 045801. [CrossRef]
- Tournet, J. Growth and Characterization of Epitaxial Al Layers on GaAs and Si Substrates for Superconducting CPW Resonators in Scalable Quantum Computing Systems; 2015. University of Waterloo, Waterloo, Canada. Available online: https://hdl.handle.net/10012/9550 (accessed on 12 January 2025).
- Tournet, J.; Gosselink, D.; Miao, G.X.; Jaikissoon, M.; Langenberg, D.; McConkey, T.G.; Mariantoni, M.; Wasilewski, Z.R. Growth and Characterization of Epitaxial Aluminum Layers on Gallium-Arsenide Substrates for Superconducting Quantum Bits. Supercond. Sci. Technol. 2016, 29, 064004. [CrossRef]
- Lovygin, M.V.; Borgardt, N.I.; Kazakov, I.P.; Seibt, M. Electron Microscopy of an Aluminum Layer Grown on the Vicinal Surface of a Gallium Arsenide Substrate. Semiconductors 2015, 49, 337–344. [CrossRef]
- Wang, T.; Thomas, C.; Diaz, R.E.; Gronin, S.; Passarello, D.; Gardner, G.C.; Capano, M.A.; Manfra, M.J. The Dependence of Aluminum Lattice Orientation on Semiconductor Lattice Parameter in Planar InAs/Al Hybrid Heterostructures. J. Cryst. Growth 2020, 535, 125570. [CrossRef]
- Fan, Y.T.; Lo, M.C.; Wu, C.C.; Chen, P.Y.; Wu, J.S.; Liang, C.T.; Lin, S.D. Atomic-Scale Epitaxial Aluminum Film on GaAs Substrate. AIP Adv. 2017, 7, 075213. [CrossRef]
- Lin, S.W.; Wu, Y.H.; Chang, L.; Liang, C.T.; Lin, S. Di. Pure Electron-Electron Dephasing in Percolative Aluminum Ultrathin Film Grown by Molecular Beam Epitaxy. Nanoscale Res. Lett. 2015, 10, 71. [CrossRef]
- Gubin, A.I.; Il’in, K.S.; Vitusevich, S.A.; Siegel, M.; Klein, N. Dependence of Magnetic Penetration Depth on the Thickness of Superconducting Nb Thin Films. Phys. Rev. B Condens. Matter Mater. Phys. 2005, 72, 064503. [CrossRef]
- Pearl, J. Current Distribution in Superconducting Films Carrying Quantized Fluxoids. Appl. Phys. Lett. 1964, 5, 65–66. [CrossRef]









| Al layer thickness | ρ 4 K (Ω.m) | ρ 300 K (Ω.m) | RRR |
|---|---|---|---|
| 10 nm on InAs/GaAs | 6.95 × 10−9 | 2.22 × 10−8 | 3.19 |
| 50 nm on InAs/GaAs | 2.38 × 10−9 | 3.05 × 10−8 | 12.8 |
| 50 nm on GaAs | 3.14 × 10−9 | 2.21 × 10−8 | 7.03 |
| S-1 (50 nm) | 1.28 × 10−9 | 3.11 × 10−8 | 24.26 |
| S-2 (50 nm, Sputtering) | 3.76 × 10−8 | 1.24 × 10−7 | 3.29 |
| S-3 (50 nm, Sputtering) | 5.44 × 10−8 | 1.33 × 10−7 | 2.44 |
| 10 nm on GaAs (MBE) [50] | ~4 × 10−9 | ~1 × 10−8 | 2.5 |
| 60 nm on GaAs (MBE) [45] | 1.46 × 10−9 | 2.97 × 10−8 | 20.3 |
Disclaimer/Publisher’s Note: The statements, opinions and data contained in all publications are solely those of the individual author(s) and contributor(s) and not of MDPI and/or the editor(s). MDPI and/or the editor(s) disclaim responsibility for any injury to people or property resulting from any ideas, methods, instructions or products referred to in the content. |
© 2025 by the authors. Licensee MDPI, Basel, Switzerland. This article is an open access article distributed under the terms and conditions of the Creative Commons Attribution (CC BY) license (http://creativecommons.org/licenses/by/4.0/).
