Submitted:
25 October 2024
Posted:
29 October 2024
You are already at the latest version
Abstract
Keywords:
1. Introduction
2. Data and Methodology
2.1. Datasets
2.2. Snow Growth Model for Rimed Snowfall
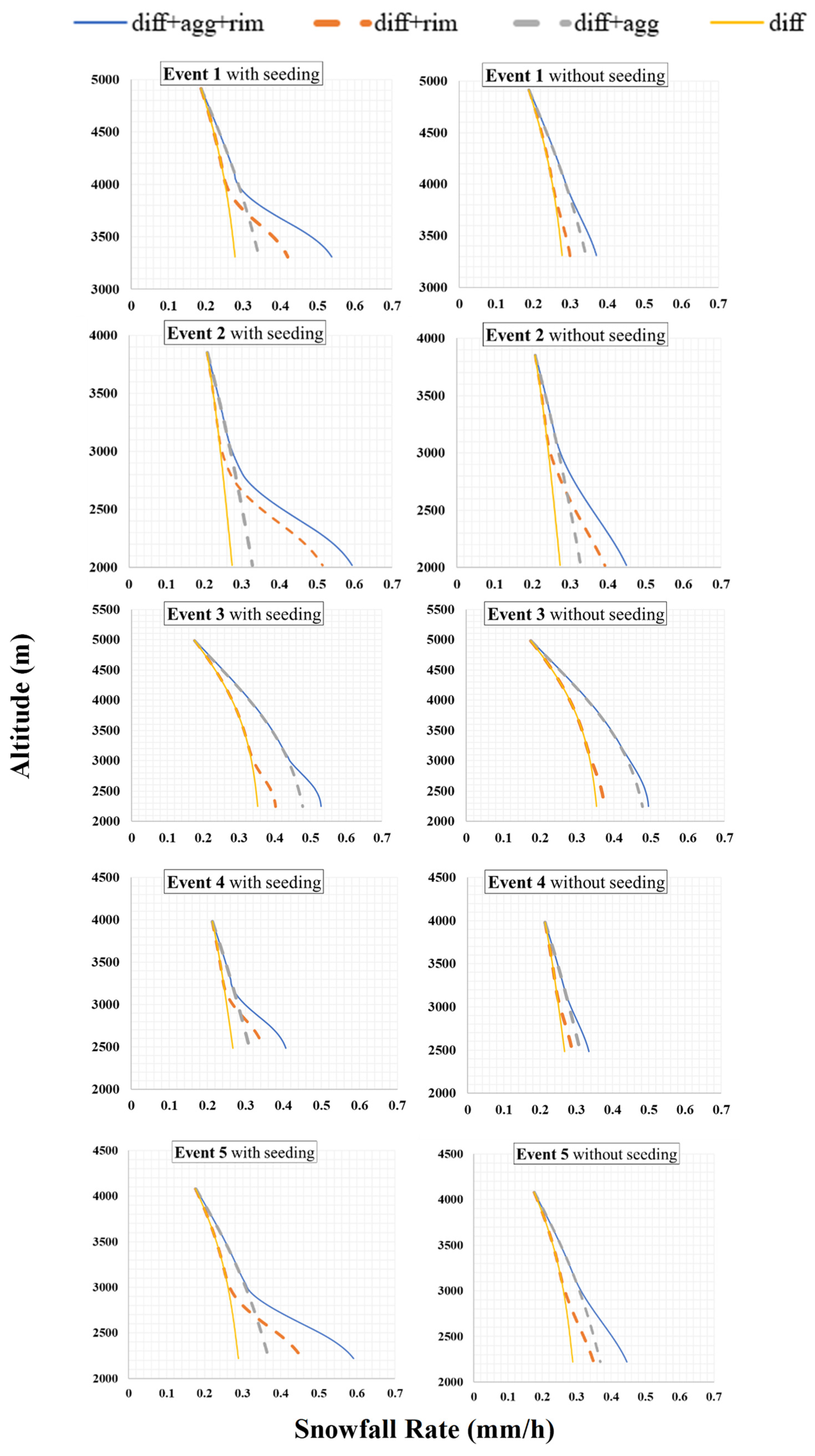
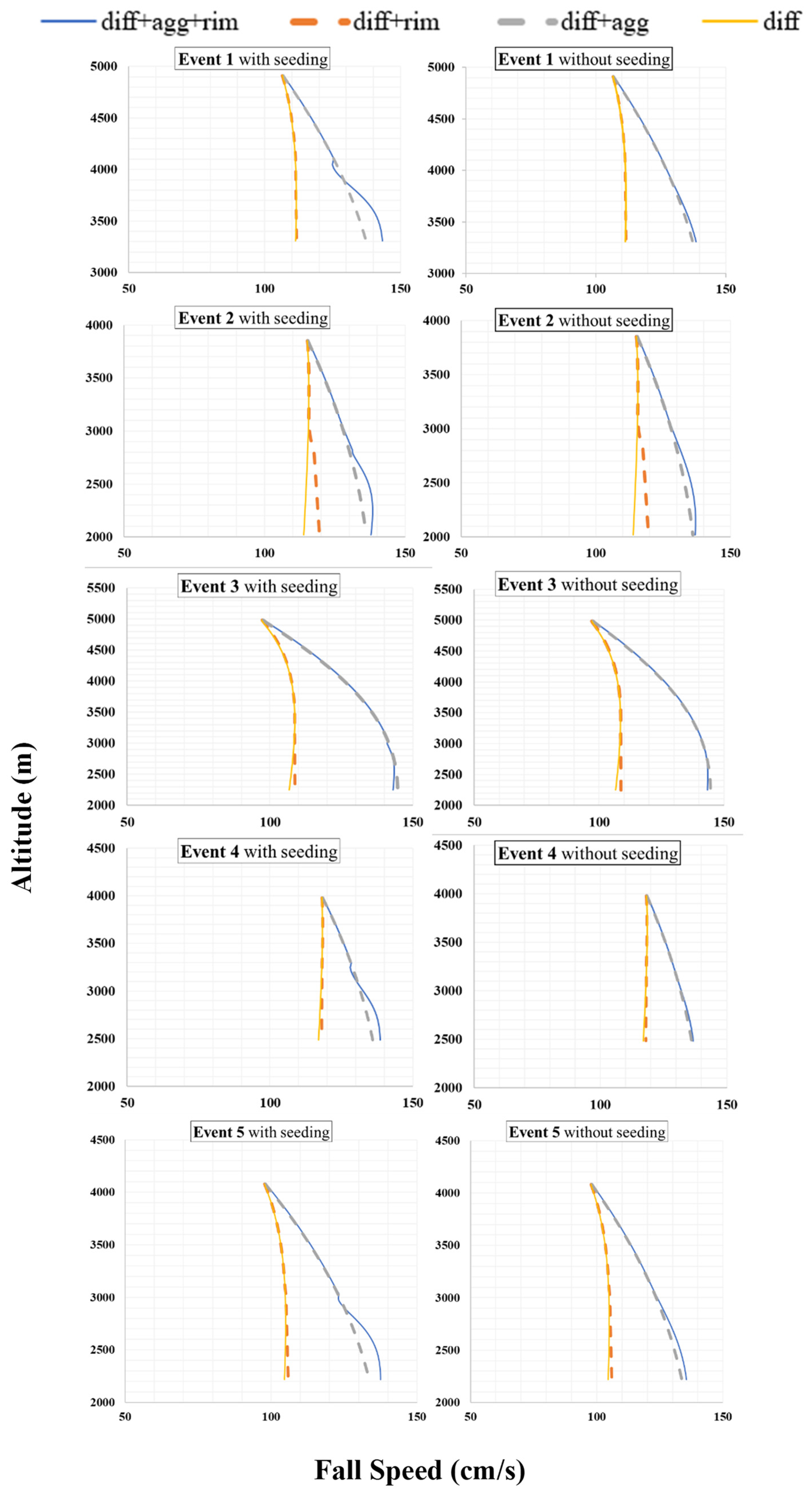
3. Results and Discussion
3.1. Atmospheric Condition
3.2. Model Results
5. Conclusions
Author Contributions
Funding
Institutional Review Board Statement
Data Availability Statement
Acknowledgments
Conflicts of Interest
References
- Essien, M. (2023). Evaluation of Cloud Seeding Techniques for Precipitation Enhancement. Global Journal of Climate Studies, 1(1), 53-64.
- Li, D. , Zhao, C., Yue, Z., Liu, C., Sun, Y., & Cohen, J. B. (2022). Response of cloud and precipitation properties to seeding at a supercooled cloud-top layer. Earth and Space Science, 9, e2021EA001791. [CrossRef]
- Manton, M. J., L. Warren, S. L. Kenyon, A. D. Peace, S. P. Bilish, and K. Kemsley, 2011: A confirmatory snowfall enhancement project in the Snowy Mountains of Australia. Part I: Project design and response variables. J. Appl. Meteor. Climatol., 50, 1432–1447. [CrossRef]
- Manton, M. J. D., Kemsley, K., Kenyon, S., Speirs, J. C., Warren, L., Denholm, J. (2017). Further analysis of a snowfall enhancement project in the Snowy Mountains of Australia. Atmospheric Research. 193, 192–203.
- Rasmussen, R. M. , Tessendorf, S. A., Xue, L., Weeks, C., Ikeda, K., Landolt, S., Breed, D., Deshler, T., & Lawrence, B. (2018). Evaluation of the Wyoming Weather Modification Pilot Project (WWMPP) Using Two Approaches: Traditional Statistics and Ensemble Modeling. Journal of Applied Meteorology and Climatology, 57(11), 2639-2660. [CrossRef]
- Ritzman, J. M. Ikeda, K., Rasmussen, R. (2015). Estimating the Fraction of Winter Orographic Precipitation Produced under Conditions Meeting the Seeding Criteria for the Wyoming Weather Modification Pilot Project. Journal of Applied Meteorology and Climatology. 54(6), 1202–1215. [CrossRef]
- Friedrich, K. , Ikeda, K., Tessendorf, S. A., French, J. R., Rauber, R. M., Geerts, B.,... & Dawson, N. (2020). Quantifying snowfall from orographic cloud seeding. Proceedings of the National Academy of Sciences, 117(10), 5190-5195.
- Xue, L. L. , Chu, X., Rasmussen, R., Breed, D., Boe, B., & Geerts, B. (2014). The dispersion of silver iodide particles from ground-based generators over complex terrain. Part II: WRF large-eddy simulations versus observations. Journal of Applied Meteorology and Climatology, 53(6),1342–1361. [CrossRef]
- Frencha, J. R. , Friedrichb, K., Tessendorfc, S. A., Rauber, R. M., Geerts, B., Rasmussen, R. M., et al. (2018). Precipitation formation from orographic cloud seeding. Proceedings of the National Academy of Sciences of the United States of America, 115(6), 1168–1173. [CrossRef]
- Zhao, C. Fan, H., Huang, J., Fu, Y., Zhang, X., et al. (2020). Aerosol characteristics and impacts on weather and climate over Tibetan Plateau. National Science Review, 7(3), 492–495. [CrossRef] [PubMed]
- U.S. Census Bureau, 2010: 2010 Census: Apportionment data. U.S. Census Bureau. https://www.census.gov/data/tables/2010/dec/apportionment-data-text.html.
- Rauber, R. M. , Geerts, B., Xue, L., French, J., Friedrich, K., Rasmussen, R. M.,... & Parkinson, S. (2019). Wintertime orographic cloud seeding—A review. Journal of Applied Meteorology and Climatology, 58(10), 2117-2140.
- Rasmussen, R. , Liu, C., Ikeda, K., Gochis, D., Yates, D., Chen, F., Tewari, M., Barlage, M., Dudhia, J., Yu, W., Miller, K., Arsenault, K., Grubišić, V., Thompson, G., & Gutmann, E. (2011). High-Resolution Coupled Climate Runoff Simulations of Seasonal Snowfall over Colorado: A Process Study of Current and Warmer Climate. Journal of Climate, 24(12), 3015-3048. [CrossRef]
- Segal, Y. , Khain, A., Pinsky, M., & Rosenfeld, D. (2004). Effects of hygroscopic seeding on raindrop formation as seen from simulations using a 2000-bin spectral cloud parcel model. Atmospheric Research, 71(1-2), 3-34.
- Flossmann, A. I. , Abshaev, A., Bruintjes, R., Murakami, M., Prabhakaran, T., Yao, Z. (2019). Review of advances in precipitation enhancement research. Bulletin of the American Meteorological Society. 100(8), 1465–1480.
- Laaksonen, A. , & Malila, J. (2021). Nucleation of Water: From Fundamental Science to Atmospheric and Additional Applications. Elsevier.
- Woodley, W. L. , Rosenfeld, D., & Silverman, B. A. (2003). Results of on-top glaciogenic cloud seeding in Thailand. Part I: The demonstration experiment. Journal of Applied Meteorology and Climatology, 42(7), 920-938.
- Maryadi, A. , Nishiyama, K. (2015). Some aspects of a numerical glaciogenic artificial cloud seeding experiment using liquid carbon dioxide over Kupang, Indonesia. journal of agricultural meteorology. 71(1), 1–14.
- Tessendorf, S. A. , French, J. R., Friedrich, K., Geerts, B., Rauber, R. M., Rasmussen, R. M.,... & Bruintjes, R. (2019). A transformational approach to winter orographic weather modification research: The SNOWIE Project. Bulletin of the American Meteorological Society, 100(1), 71-92.
- French, J. R. , Friedrich, K., Tessendorf, S. A., Rauber, R. M., Geerts, B., Rasmussen, R. M.,... & Blestrud, D. R. (2018). Precipitation formation from orographic cloud seeding. Proceedings of the National Academy of Sciences, 115(6), 1168-1173.
- Geerts, B. Yang, Y., Rasmussen, R., Breed, D. (2010). An airborne profiling radar study of the impact of glaciogenic cloud seeding on snowfall from winter orographic clouds. Journal of the Atmospheric Sciences. 67(10), 3286–3302.
- Breed, D. , Rasmussen, R., Weeks, C., Boe, B., & Deshler, T. (2014). Evaluating winter orographic cloud seeding: design of the Wyoming Weather Modification Pilot Project (WWMPP). Journal of Applied Meteorology and Climatology, 53(2), 282-299.
- Abshaev, M. T. , Abshaev, A. M., Sulakvelidze, G. K., Burtsev, I. I., Malkarova, A. M., & Nesmeyanov, P. A. (2006). Development of rocket and artillery technology for hail suppression. Achievements in weather modification, 109-127.
- Bruintjes, R. T. , Clark, T. L., & Hall, W. D. (1995). The dispersion of tracer plumes in mountainous regions in central Arizona: Comparisons between observations and modeling results. Journal of Applied Meteorology and Climatology, 34(4), 971-988.
- Xue, L. L. , Hashimoto, A., Murakami, M., Rasmussen, R., Tessendorf, S. A., Breed, D., et al. (2013). Implementation of a silver iodide cloud-seeding parameterization in WRF. Part I: Model description and idealized 2D sensitivity tests. Journal of Applied Meteorology and Climatology, 52(6), 1433–1457. [CrossRef]
- Dessens, J. , Sánchez, J. L., Berthet, C., Hermida, L., & Merino, A. (2016). Hail prevention by ground-based silver iodide generators: Results of historical and modern field projects. Atmospheric Research, 170, 98-111.
- Haupt, S. E., R. M. Rauber, B. Carmichael, J. C. Knievel, and J. L. Cogan, 2018: 100 years of progress in applied meteorology. Part I: Basic applications. A Century of Progress in Atmospheric and Related Sciences: Celebrating the American Meteorological Society Centennial, Meteor. Monogr., No. 59, Amer. Meteor. Soc. [CrossRef]
- Gabriel, K. R. , 1999: Ratio statistics for randomized experiments in precipitation stimulation. J. Appl. Meteor., 38, 290–301. [CrossRef]
- Flossmann, A. I. , Manton, M., Abshaev, A., Bruintjes, R., Murakami, M., Prabhakaran, T., & Yao, Z. (2018). Peer review report on global precipitation enhancement activities (Research Report). World Meteorological Organization. Retrieved from https://hal.uca. 0191. [Google Scholar]
- Wang, J. , Yue, Z., Rosenfeld, D., Zhang, L., Zhu, Y., Dai, J.,... & Li, J. (2021). The Evolution of an AgI Cloud-Seeding Track in Central China as Seen by a Combination of Radar, Satellite, and Disdrometer Observations. Journal of Geophysical Research: Atmospheres, 126(11), e2020JD033914.
- Xue, L. , Edwards, R., Huggins, A., Lou, X., Rasmussen, R., Tessendorf, S.,... & Parkinson, S. (2017). WRF Large-eddy Simulations of chemical tracer deposition and seeding effect over complex terrain from ground-and aircraft-based AgI generators. Atmospheric Research, 190, 89-103.
- Xue, L. , Chu, X., Rasmussen, R., Breed, D., & Geerts, B. (2016). A Case Study of Radar Observations and WRF LES Simulations of the Impact of Ground-Based Glaciogenic Seeding on Orographic Clouds and Precipitation. Part II: AgI Dispersion and Seeding Signals Simulated by WRF. Journal of Applied Meteorology and Climatology, 55(2), 445-464. [CrossRef]
- Chu, X. , Geerts, B., Xue, L., & Pokharel, B. (2017). A Case Study of Cloud Radar Observations and Large-Eddy Simulations of a Shallow Stratiform Orographic Cloud, and the Impact of Glaciogenic Seeding. Journal of Applied Meteorology and Climatology, 56(5), 1285-1304. [CrossRef]
- Jing, X. Wang, Y., Liu, C. (2017). Evaluating Seasonal Orographic Precipitation in the Interior Western United States Using Gauge Data, Gridded Precipitation Estimates, and a Regional Climate Simulation. Journal of Hydrometeorology. 18(9), 2541–2558. [CrossRef]
- Liu, C. , Ikeda, K., Rasmussen, R., Barlage, M., Newman, A. J., Prein, A. F.,... & Yates, D. (2017). Continental-scale convection-permitting modeling of the current and future climate of North America. Climate Dynamics, 49, 71-95.
- Passarelli, R. E., Jr. (1978): Approximate analytical model of the vapor deposition and aggregation growth of snowflakes, J. Atmos. Sci., 35, 118-124.
- Mitchell, D. L. , Huggins, A., & Grubisic, V. (2006). A new snow growth model with application to radar precipitation estimates. Atmospheric research, 82(1-2), 2-18.
- Erfani, E. (2016). A Mechanistic Understanding of North American Monsoon and Microphysical Properties of Ice Particles. University of Nevada, Reno.
- Rienecker, M. M. , Suarez, M. J., Gelaro, R., Todling, R., Bacmeister, J., Liu, E.,... & Woollen, J. (2011). MERRA: NASA’s modern-era retrospective analysis for research and applications. Journal of climate, 24(14), 3624-3648.
- Greenwald, T. J. , Pierce, R. B., Schaack, T., Otkin, J., Rogal, M., Bah, K.,... & Huang, H. L. (2016). Real-time simulation of the GOES-R ABI for user readiness and product evaluation. Bulletin of the American Meteorological Society, 97(2), 245-261.
- Gelaro, R. , McCarty, W., Suárez, M. J., Todling, R., Molod, A., Takacs, L.,... & Zhao, B. (2017). The modern-era retrospective analysis for research and applications, version 2 (MERRA-2). Journal of climate, 30(14), 5419-5454.
- Doelling, D. R. , Sun, M., Nordeen, M. L., Haney, C. O., Keyes, D. F., & Mlynczak, P. E. (2016). Advances in geostationary-derived longwave fluxes for the CERES synoptic (SYN1deg) product. Journal of Atmospheric and Oceanic Technology, 33(3), 503-521.
- Wielicki, B. A. , Barkstrom, B. R., Harrison, E. F., Lee III, R. B., Smith, G. L., & Cooper, J. E. (1996). Clouds and the Earth's Radiant Energy System (CERES): An earth observing system experiment. Bulletin of the American Meteorological Society, 77(5), 853-868.
- Loeb, N. G. , Su, W., Doelling, D. R., Wong, T., Minnis, P., Thomas, S., & Miller, W. F. (2016). Earth’s top-of-atmosphere radiation budget. Reference Module in Earth Systems and Environmental Sciences. ScienceDirect. [CrossRef]
- Payra, S. , Sharma, A., & Verma, S. (2023). Application of remote sensing to study forest fires. In Atmospheric Remote Sensing (pp. 239-260). Elsevier.
- Justice, C. O. , Townshend, J. R. G., Vermote, E. F., Masuoka, E., Wolfe, R. E., Saleous, N.,... & Morisette, J. T. (2002). An overview of MODIS Land data processing and product status. Remote sensing of Environment, 83(1-2), 3-15.
- Erfani, E. Mitchell, D. L. (2017). Growth of ice particle mass and projected area during riming. Atmospheric Chemistry and Physics. 17(2), 1241–1257. [CrossRef]
- Liu, X. , Penner, J.; E., Ghan, S. J., Wang, M. (2007). Inclusion of ice microphysics in the NCAR Community Atmospheric Model version 3 (CAM3). Journal of Climate. 20(18), 4526–4547.
- Marcolli, C. , Nagare, B., Welti, A., & Lohmann, U. (2016). Ice nucleation efficiency of AgI: review and new insights. Atmospheric Chemistry and Physics, 16(14), 8915-8937.
- Achtert, P. , O'Connor, E. J., Brooks, I. M., Sotiropoulou, G., Shupe, M. D., Pospichal, B.,... & Tjernström, M. (2020). Properties of Arctic liquid and mixed-phase clouds from shipborne Cloudnet observations during ACSE 2014. Atmospheric Chemistry and Physics, 20(23), 14983-15002.
- Järvinen, E. , Nehlert, F., Xu, G., Waitz, F., Mioche, G., Dupuy, R., … & Schnaiter, M. (2023). Vertical distribution of ice optical and microphysical properties in Arctic low-level mixed-phase clouds during ACLOUD. Atmospheric Chemistry and Physics Discussions, 2023, 1-30.
- Western Regional Climate Center. Available online: https://wrcc.dri.edu/.








| Event | Date | Cloud Top Height (km) |
Cloud Base Height (km) |
Cloud Top Temperature (°C) |
Cloud Base Temperature (°C) |
LWC (g/m³) | IWC (g/m³) |
|---|---|---|---|---|---|---|---|
| 1 | March 6, 2021 | 4.929 | 3.309 | -19 | -9 | 0.158 | 0.049 |
| 2 | December 16, 2021 | 3.87 | 2.019 | -13 | -3 | 0.249 | 0.05 |
| 3 | March 5, 2022 | 5.013 | 2.249 | -23 | -8 | 0.102 | 0.05 |
| 4 | April 16, 2022 | 3.996 | 2.486 | -11 | -4 | 0.16 | 0.05 |
| 5 | March 9, 2021 | 4.1 | 2.22 | -21 | -6 | 0.2 | 0.05 |
Disclaimer/Publisher’s Note: The statements, opinions and data contained in all publications are solely those of the individual author(s) and contributor(s) and not of MDPI and/or the editor(s). MDPI and/or the editor(s) disclaim responsibility for any injury to people or property resulting from any ideas, methods, instructions or products referred to in the content. |
© 2024 by the authors. Licensee MDPI, Basel, Switzerland. This article is an open access article distributed under the terms and conditions of the Creative Commons Attribution (CC BY) license (http://creativecommons.org/licenses/by/4.0/).
