Submitted:
23 October 2024
Posted:
23 October 2024
You are already at the latest version
Abstract
Keywords:
1. Introduction
2. Experimental
2.1. Fabrication of Sensors
2.2. Evaluation of Sensing Characteristics
3. Results and Discussion
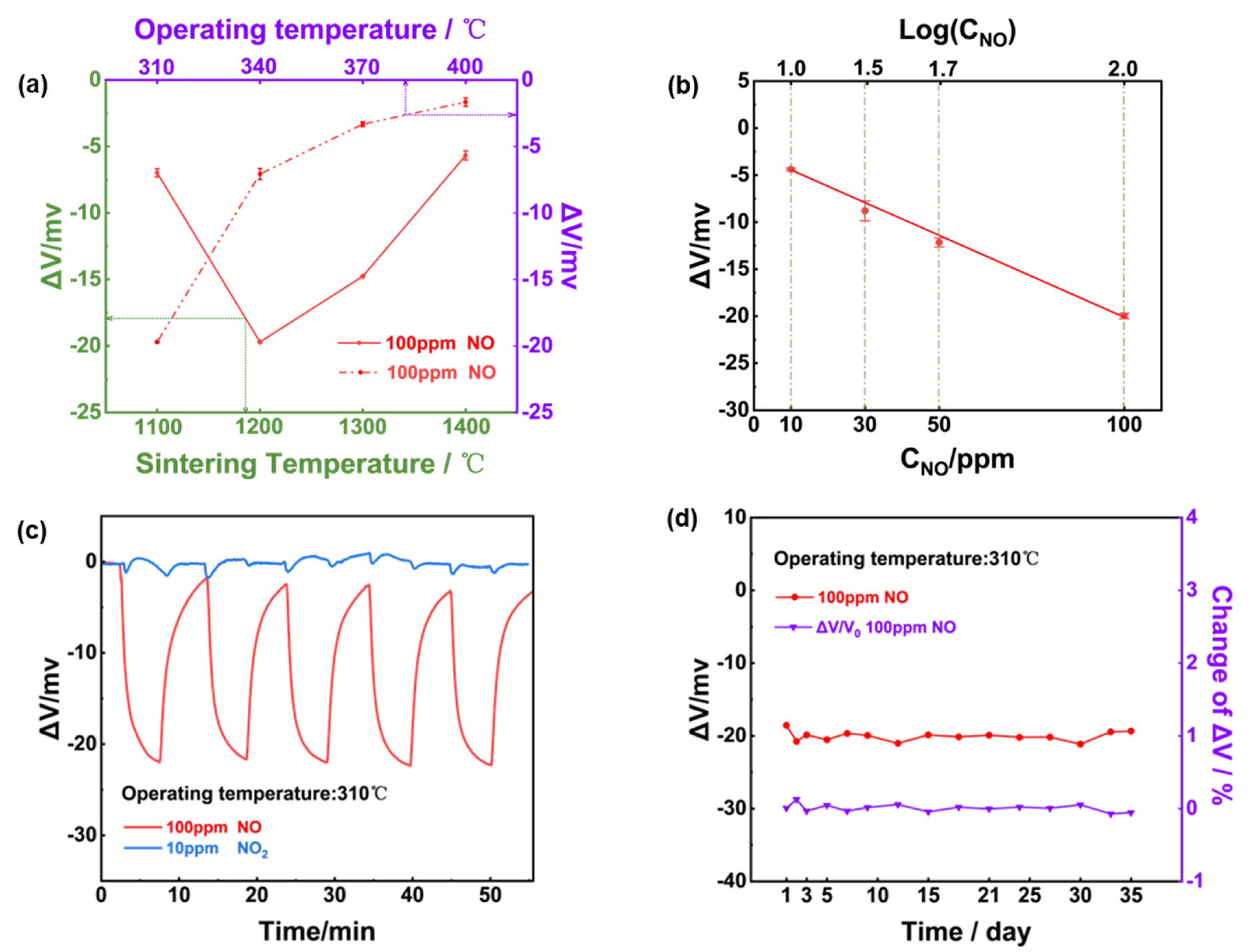
3.1. Screening of Nitric Oxide Sensing Materials and Developing High Performance NO Sensor
3.2. Screening of Nitric Dioxide Sensing Materials and Developing High Performance NO2 Sensor
3.3. Study on the Sensing Mechanism
4. Conclusions
Author Contributions
Data Availability Statement
Acknowledgement
Conflicts of Interest
References
- S. H. Abman, G. Hansmann, S.L. Archer, D.D. Ivy, I. Adatia, W.K. Chung, et al., Pediatric Pulmonary Hypertension. Circulation 2015, 132, 2037–2099. [Google Scholar]
- A. Keshavarz, H. Kadry, A. Alobaida, F. Ahsan, Newer approaches and novel drugs for inhalational therapy for pulmonary arterial hypertension. Expert Opinion on Drug Delivery 2020, 17, 439–461. [Google Scholar] [CrossRef]
- J. P. Kinsella, T.A. Parker, D.D. Ivy, S.H. Abman, Noninvasive delivery of inhaled nitric oxide therapy for late pulmonary hypertension in newborn infants with congential diaphragmatic hernia. The Journal of Pediatrics 2003, 142, 397–401. [Google Scholar] [CrossRef] [PubMed]
- F. Ichinose, J.D. Roberts, W.M. Zapol, Inhaled Nitric Oxide. Circulation 2004, 109, 3106–3111. [Google Scholar]
- I. R. Preston, K.D. Sagliani, K.E. Roberts, A.M. Shah, S.A. DeSouza, W. Howard, et al., Comparison of Acute Hemodynamic Effects of Inhaled Nitric Oxide and Inhaled Epoprostenol in Patients with Pulmonary Hypertension. Pulmonary Circulation 2013, 3, 68–73. [Google Scholar] [CrossRef]
- R. J. Barst, R. Channick, D. Ivy, B. Goldstein, Clinical Perspectives with Long-Term Pulsed Inhaled Nitric Oxide for the Treatment of Pulmonary Arterial Hypertension. Pulmonary Circulation 2012, 2, 139–147. [Google Scholar] [CrossRef]
- M.L. Bernier, L.H. M.L. Bernier, L.H. Romer, M.M. Bembea, Spectrum of Current Management of Pediatric Pulmonary Hypertensive Crisis. Critical Care Explorations.
- R. M. DiBlasi, T.R. Myers, D.R. Hess, Evidence-based clinical practice guideline: inhaled nitric oxide for neonates with acute hypoxic respiratory failure. Respir Care 2010, 55, 1717–1745. [Google Scholar]
- B. Weinberger, D.L. Laskin, D.E. Heck, J.D. Laskin, The toxicology of inhaled nitric oxide. Toxicol Sci 2001, 59, 5–16. [Google Scholar] [CrossRef]
- D. M. McMullan, J.M. Bekker, M.J. Johengen, K. Hendricks-Munoz, R. Gerrets, S.M. Black, et al., Inhaled nitric oxide-induced rebound pulmonary hypertension: role for endothelin-1. American Journal of Physiology-Heart and Circulatory Physiology 2001, 280, H777–H85. [CrossRef]
- Y. Liu, Y. Zhu, C. Jiang, Z. Su, Y. Yan, B. Feng, et al., An electrochemical nitric oxide generator for in-home inhalation therapy in pulmonary artery hypertension. BMC Medicine 2022, 20, 481. [Google Scholar]
- Q. Li, W. Q. Li, W. Zeng, Y. Li, Metal oxide gas sensors for detecting NO2 in industrial exhaust gas: Recent developments. Sensors and Actuators B: Chemical 2022, 359. [Google Scholar]
- N. Miura, T. Sato, S.A. Anggraini, H. Ikeda, S. Zhuiykov, A review of mixed-potential type zirconia-based gas sensors. Ionics 2014, 20, 901–925. [Google Scholar] [CrossRef]
- J. Zou, X. Liu, H. Jin, Z. Zhan, J. Jian, NO2 sensing properties of electrode-supported sensor by tape casting and co-firing method. Ionics 2015, 21, 2655–2662. [Google Scholar] [CrossRef]
- J. Fergus, Materials for high temperature electrochemical NOx gas sensors. Sensors and Actuators B: Chemical 2007, 121, 652–663. [Google Scholar] [CrossRef]
- C. O. Park, N. Miura, Absolute potential analysis of the mixed potential occurring at the oxide/YSZ electrode at high temperature in NO -containing air. Sensors and Actuators B: Chemical 2006, 113, 316–319. [Google Scholar] [CrossRef]
- K. P. Ramaiyan, R. Mukundan, Editors’ Choice—Review—Recent Advances in Mixed Potential Sensors. Journal of The Electrochemical Society 2020, 167, 037547. [Google Scholar] [CrossRef]
- Romanytsia, J.-P. Viricelle, P. Vernoux, C. Pijolat, Application of advanced morphology Au–X (X=YSZ, ZrO2) composites as sensing electrode for solid state mixed-potential exhaust NOx sensor. Sensors and Actuators B: Chemical 2015, 207, 391–397. [Google Scholar] [CrossRef]
- F. Liu, J. Wang, L. Jiang, R. You, Q. Wang, C. Wang, et al., Compact and planar type rapid response ppb-level SO2 sensor based on stabilized zirconia and SrMoO4 sensing electrode. Sensors and Actuators B: Chemical 2020, 307, 127655. [Google Scholar] [CrossRef]
- Y. Xu, Z. Liu, J. Lin, J. Zhao, N.D. Hoa, N.V. Hieu, et al., Integrated Smart Gas Tracking Device with Artificially Tailored Selectivity for Real-Time Monitoring Food Freshness. Sensors 2023, 23. [Google Scholar]
- S. Lv, Y. Zhang, L. Jiang, L. Zhao, J. Wang, F. Liu, et al., Mixed potential type YSZ-based NO2 sensors with efficient three-dimensional three-phase boundary processed by electrospinning. Sensors and Actuators B: Chemical 2022, 354, 131219. [Google Scholar] [CrossRef]
- C. Zhang, C. Jiang, X. Zheng, X. Hong, Medium-Low-Temperature NO2 Sensor Based on YSZ Solid Electrolyte and Mesoporous WO3 Sensing Electrode for Detection of Vehicle Emissions. Nano 2021, 16. [Google Scholar]
- J. Xu, C. Wang, B. Yang, H. Yu, F. Xia, J. Xiao, Superior sensitive NiFe2O4 electrode for mixed-potential NO2 sensor. Ceramics International 2019, 45, 2962–2967. [Google Scholar] [CrossRef]
- J. Wang, C. Wang, A. Liu, R. You, F. Liu, S. Li, et al., High-response mixed-potential type planar YSZ-based NO2 sensor coupled with CoTiO3 sensing electrode. Sensors and Actuators B: Chemical 2019, 287, 185–190. [Google Scholar] [CrossRef]
- Y. Chen, Effects of Electrode Microstructures on the Sensitivity and Response Time of Mixed-Potential NO2 Sensor Based on La0.6Sr0.4CoO3 Sensing Electrode. IEEE Sensors Journal 2021, 21, 8621–8626. [Google Scholar] [CrossRef]
- H. Jin, Y. Huang, J. Jian, Plate-like Cr2O3 for highly selective sensing of nitric oxide. Sensors and Actuators B: Chemical 2015, 206, 107–110. [Google Scholar] [CrossRef]
- H. Jin, Y. Huang, J. Jian, Sensing mechanism of the zirconia-based highly selective NO sensor by using a plate-like Cr2O3 sensing electrode. Sensors and Actuators B: Chemical 2015, 219, 112–118. [Google Scholar] [CrossRef]
- Y. -L. Liu, H. Wang, Y. Yang, Z.-M. Liu, H.-F. Yang, G.-L. Shen, et al., Hydrogen sulfide sensing properties of NiFe2O4 nanopowder doped with noble metals. Sensors and Actuators B: Chemical 2004, 102, 148–154. [Google Scholar] [CrossRef]
- S. Zhuiykov, M. Muta, T. Ono, M. Hasei, N. Yamazoe, N. Miura, Stabilized Zirconia-Based NO x Sensor Using ZnFe2 O 4 Sensing Electrode. Electrochemical and Solid-State Letters 2001, 4, H19. [Google Scholar] [CrossRef]
- H. Liu, J. Wang, H. Yu, H. Xiong, Y. Chen, C. Wang, et al., Promoted Carbon Monoxide Sensing Performance of a Bi2Mn4O10-Based Mixed-Potential Sensor by Regulating Oxygen Vacancies. ACS Sensors 2022, 7, 2978–2986. [Google Scholar] [CrossRef]
- C. Zheng, Y. Shi, B. Tang, J. Zhang, Black Phosphorus–Tungsten Oxide Sandwich-like Nanostructures for Highly Selective NO2 Detection. Sensors 2024. [Google Scholar]
- (!!! INVALID CITATION !!! [33, 34]).
- K. M. Goeders, J.S. Colton, L.A. Bottomley, Microcantilevers: Sensing Chemical Interactions via Mechanical Motion. Chemical Reviews 2008, 108, 522–542. [Google Scholar] [CrossRef] [PubMed]
- T. Xu, P. Xu, D. Zheng, H. Yu, X. Li, Metal–Organic Frameworks for Resonant-Gravimetric Detection of Trace-Level Xylene Molecules. Analytical Chemistry 2016, 88, 12234–12240. [Google Scholar] [CrossRef] [PubMed]











Disclaimer/Publisher’s Note: The statements, opinions and data contained in all publications are solely those of the individual author(s) and contributor(s) and not of MDPI and/or the editor(s). MDPI and/or the editor(s) disclaim responsibility for any injury to people or property resulting from any ideas, methods, instructions or products referred to in the content. |
© 2024 by the authors. Licensee MDPI, Basel, Switzerland. This article is an open access article distributed under the terms and conditions of the Creative Commons Attribution (CC BY) license (http://creativecommons.org/licenses/by/4.0/).