Submitted:
16 October 2024
Posted:
17 October 2024
You are already at the latest version
Abstract
This study presents the experimental and analytical evaluations on an innovative connection class under cyclic loading. The connection was an H- or I-shaped section as a short stub column (SSC) between the end-plate and the column. The stub section was bolted to the column flange on the one side and bolted to the beam along with the welded end-plate on the other side. Stiffeners were installed on the webs and flanges of the beam and stub to ensure the necessary stiffness of the connection. The variables included thickness of stub flange/web and height of stub web. The cyclic loading was applied on a sample of the proposed connection according to AISC ANSI/AISC 341-16 loading protocol. Experimental observations displayed that the proposed connection, one can either employ hot rolling sections or create the connection as a plate girder, in which case the flange thickness and stub web, as well as the distance between two flanges and their height, was obtained according to the demand and performance of the structure. The optimum cross-section of the stub was then obtained. Also, the analytical model was calibrated using the finite element method (FEM), and its performance was confirmed. The effective parameters of the proposed connection were determined by modeling in the FEM software, and the design method was presented.
Keywords:
1. Introduction
2. Proposed Connection
2.1. Configuration
2.2. Connection Force Transfer Mechanism
3. Experimental Program
3.1. Experimental Configuration
3.2. Loading History
3.3. Experimental Results
3.4. General Test Observations
4. Numerical Investigation of the Proposed Model
4.1. Finite Element Modeling
4.2. Analysis and Discussion
5. Parametric Study of the Proposed Connection
5.1. General Analysis and Discussion of Proposed Connection
5.2. Flange Stub Thickness Variation Effect (tBP, CP)
5.3. Web Stub Thickness Variation Effect (tVP)
5.4. Continuity Plate Stub Thickness Variation Effect (tC-PL)
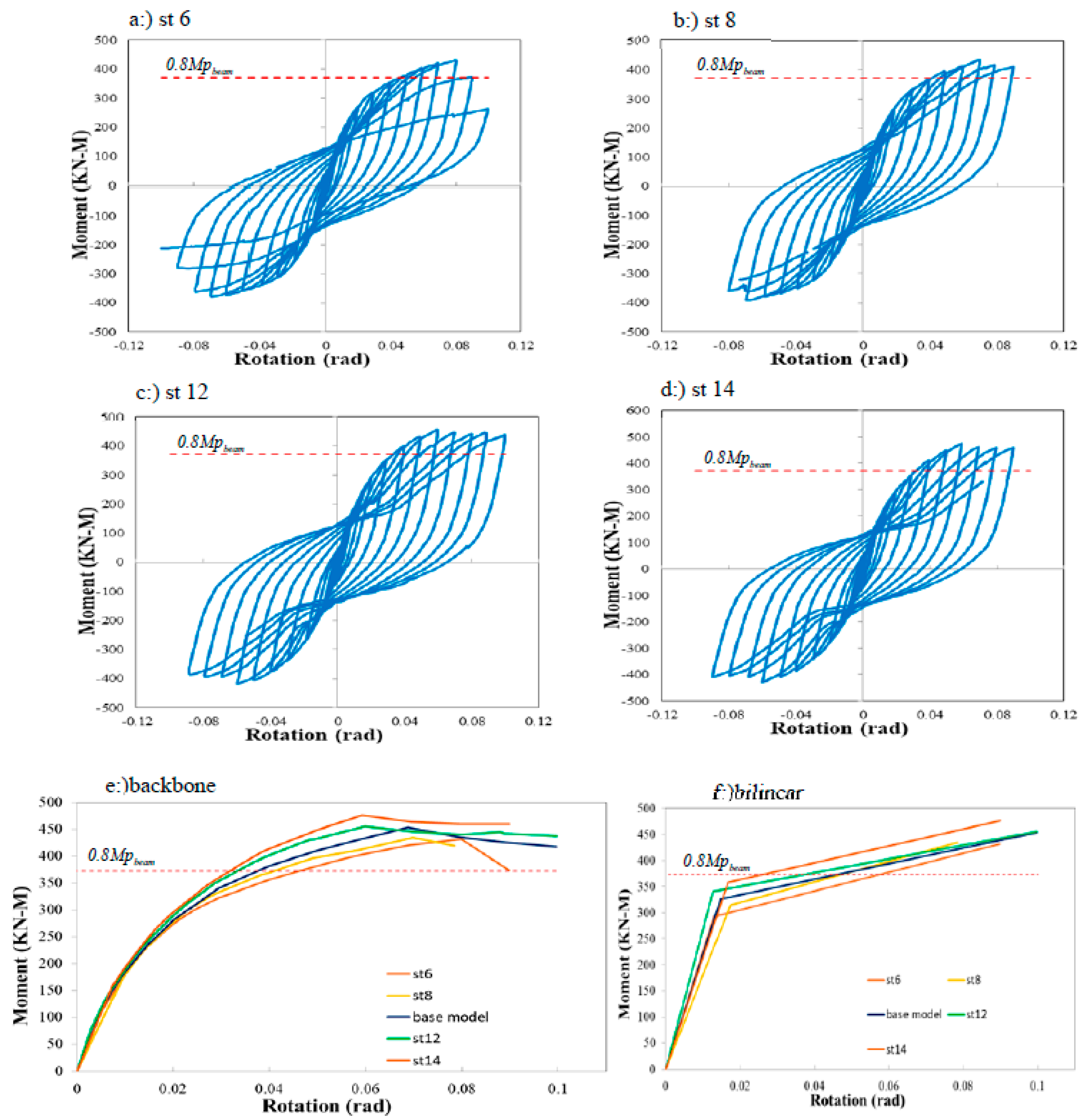
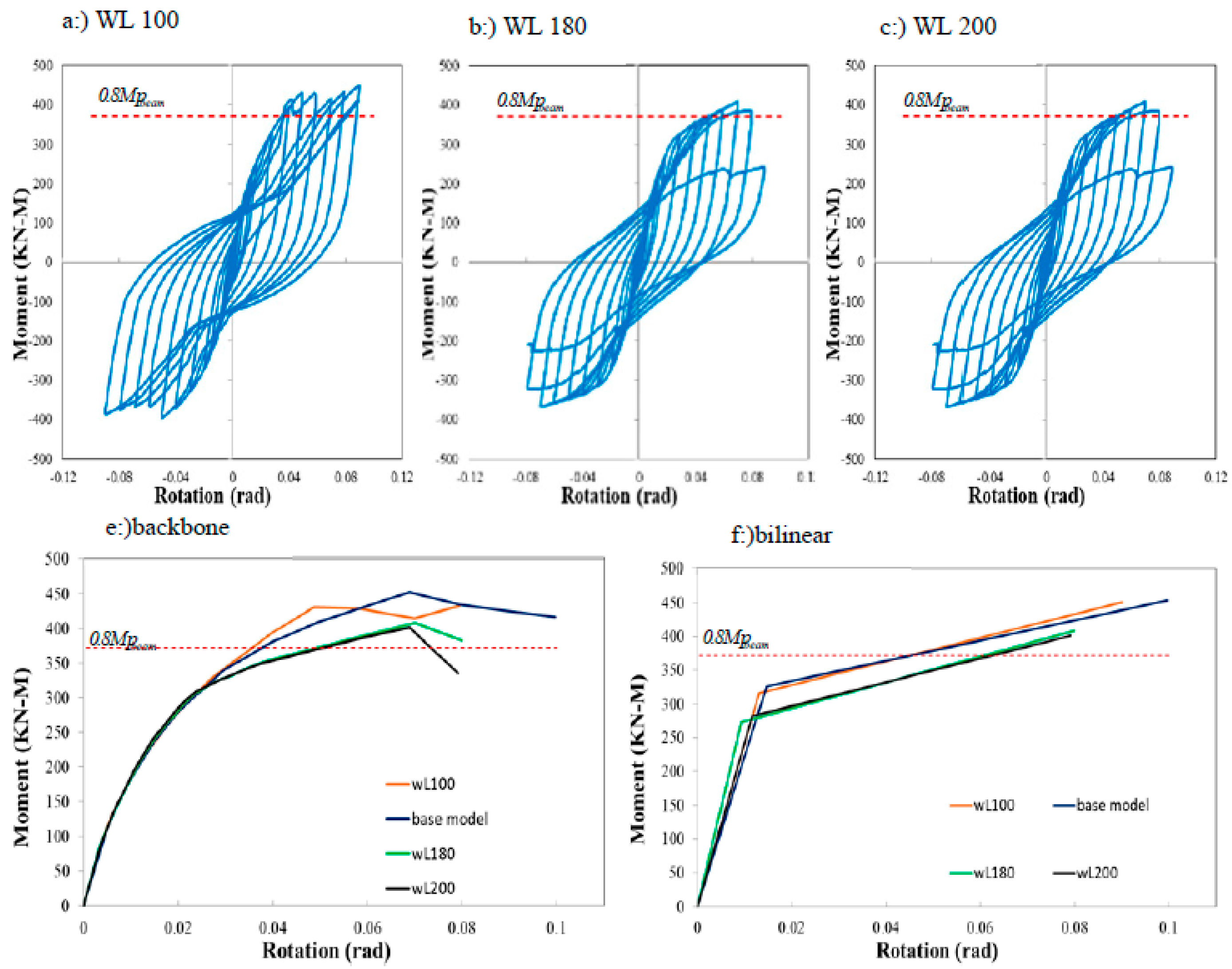
5.5. Long Web Stub Variation Effect (LVP)
5.6. Width Flange Stub Variation Effect (bBP, CP)
6. Designing Method
- The VP and C-PL plates are functions similarly to the panel zone and continuity plates. Therefore, they can be designed according to the criteria of the column panel zone. Other connection components, including end-plate, bolts, and stiffeners, were also designed according to the existing rules in the valid regulations. However, due to the complexity of the exact design relationships, a multiplicity of geometric criteria for the SSC connection was proposed in this study:
- In general, all parts should be controlled according to ANST/AISC341-16 ((AISC) 2016) for the criteria of the range of width-to-thickness ratio (b/t) for compact elements for members with high ductility.
- The thickness of the VP (web stub) is equal to a maximum value of the web thickness of the beam and 2/3 of the flange thickness of the beam.
- The thickness of the BP and CP is equal to the maximum thickness of the beam flange and 3/2 times the VP plate thickness, and at most equal to the minimum of 3/2 times the thickness of the beam flange and 3/5 times the end-plate thickness.
- The thickness of the C-PL plate is considered equal to the VP plate thickness.
- The length of the VP plate (stub depth) is at least eight times the thickness of the BP, and at most 12 times the thickness of the BP. This value should not be less than 120 mm due to executive considerations.
- The width of the BP and CP is considered to be at least equal to the width of the beam flange and at most equal to the column flange width.
- The distance of the center of the bolt holes (Sv, Sh) from the VP and C-PL surface was determined based on executive considerations, which require a minimum of 2 times and a maximum of 5/2 times the bolt diameter.
7. Comparison between SSC Connection and End-Plate
7.1. Verification of the Extended End-Plate Connection Model
7.2. Designing the SSC Connection
7.3. Evaluating Replacement of End-Plate with SSC Connection
7.4. Using the Rolling Cross-Section as Stub
8. Using the SSC as a Column-Tree Connection
9. Conclusions
- The proposed connection is a bending moment connection providing semi-rigid and rigid design possibilities. It can be used in beam-to-column connections with a load transfer mechanism different from those of conventional connections.
- The decrease in the strength of the specimen is due to the failure and buckling during cyclic loading. No global fracture was observed in the specimens.
- The experimental and FEA studies on the SSC connection under cyclic loading show that the stub zone, with its plastic function, absorbs far more energy than the hinge formation on the beam and creates a limited and controlled connection with excellent ductility, leading to an increase in the period and behavior coefficient of structure.
- Compared to conventional moment connections, the final strength and stiffness of this connection are slightly reduced, but the plastic rotation capacity can be increased several times.
- Due to the mechanism of force transfer from the end-plate to the stub and the use of rolled sections as a stub, failure due to welding sensitivity and stress concentration due to sudden changes in geometry can be minimized, and the energy dissipation capacity is improved.
- Timely yielding in the stub leads to intended fusing behavior, causing no damage to the beam and column. Plastic strain and strain are significantly reduced in the panel zone, making energy loss more reliable and thereby making repairing the building by replacing the stub relatively simple, and thus post-earthquake repair costs are relatively low.
- In the case of the rigid design of the SSC connection, the results show that the plastic hinge is formed at a better location than the end-plate connection since it is sufficiently far from the column, maintaining the column's stability.
Acknowledgments
References
- 440, FEMA A. "Improvement of nonlinear static seismic analysis procedures", FEMA-440, Redwood City 2005, 7, 11.
- (AISC), American Institute of Steel Construction. "Seismic Provisions for Structural Steel Buildings", AISC ANSI/AISC 2016, 341–316.
- Ayough, P. , Yu-Hang Wang and Ibrahim Z. "Analytical study of concrete-filled steel tubular stub columns with double inner steel tubes ", Steel and Composite Structures 2023, 47, 645–661. [Google Scholar]
- Chandrasekaran, A. , Nambiappan U. "Experimental investigations on resilient beam-column end-plate connection with structural fuse ", Steel and Composite Structures 2023, 47, 315–337. [Google Scholar]
- Chen YY, He XZ, Ke K. , Chen YS,. "Characteristics and technical issues on structural systems with replaceable damage-concentrated elements", Building Structures 2016, 37.
- Cheng-Chih, Ch. , Chun-Chou L., Chieh-Hsiang L.,. "Ductile moment connections used in steel column-tree moment-resisting frames", Constructional Steel Research 2006, 62.8, 793-801.
- Clark, P. , Frank K., Krawinkler H., Shaw R.,. (2018). "Protocol for Fabrication, Inspection, Testing, and Documentation of Beam-Column Connection Tests and Other Experimental Specimens", Report No. SAC/BD97/02, SAC Joint Venture, Sacramento, CA.
- Committee, ASCE/SEI Seismic Rehabilitation Standards. "Seismic rehabilitation of existing buildings", ASCE/SEI 2007, 2007, 41–06.
- Faridmehr, I. , Tahir MM, Osman MH, Azimi M. "Cyclic Behaviour of Fully-Rigid and Semi-Rigid Steel Beam-to-Column Connections", International Journal of Steel Structures 2019, 1. [Google Scholar]
- Lu, X. , Chen C. "Research progress in structural systems with replaceable members", Earthquake Engineering and Engineering Vibration 2014, 34, 27–36. [Google Scholar]
- Manigandan, R. , Kumar M. "Tests and numerical behavior of circular concrete-filled double skin steel tubular stub columns under eccentric loads ", Structural Engineering and Mechanics 2023, 88, 287–299. [Google Scholar]
- McCormick, J. , Aburano H., Ikenaga M., Nakashima M.,. "Permissible residual deformation levels for building structures considering both safety and human elements", Proceedings of the 14th world conference on earthquake engineering 2008, 12-17.
- Miller, D.K. "Lessons learned from the Northridge earthquake", Engineering structures 1998, 20, 249–260.
- Moghaddam HA, Estekanchi HE. "Seismic behaviour of offcentre bracing systems", Constructional Steel Research 1999, 51, 177–196.
- MoradiGaroosi, AR. , Tahamouliroudsari M., HosseiniHashemi B. "Experimental evaluation of rigid connection with reduced section and replaceable fuse", Structures 2018, 390–404.
- Morrison, M. , Quayyum S. , Hassan T.,. "Performance enhancement of eight bolt extended end-plate moment connections under simulated seismic loading", Engineering structures 2017, 151, 444–458. [Google Scholar]
- Saffarian I, Atefatdoost GR, Hosseini SA. , Shahryari L.,. "Experimental and numerical research on the behavior of steel-fiber -reinforced-concrete columns with GFRP rebars under axial loading", Structural Engineering and Mechanics 2023, 86, 399–415.
- ———. "Experimental research on the behavior of circular SFRC columns reinforced longitudinally by GFRP rebars", Computers and Concrete 2023, 31, 513–525.
- Tanaka, N. "Evaluation of maximum strength and optimum haunch length of steel beam-end with horizontal haunch", Engineering structures 2003, 25.2, 229-239.
- Wang, M. , Shi Y. , Wang Y., Shi G.,. "Numerical study on seismic behaviors of steel frame end-plate connections", Constructional Steel Research 2013, 90, 140–152. [Google Scholar]
- Wilkinson, S. , Hurdman G. , Crowther A.,."A moment resisting connection for earthquake resistant structures", Constructional Steel Research 2006, 62, 295–302. [Google Scholar]
- Xilin Lu, Yun Ch. , Yuanjun M.,. "New concept of structural seismic design: earthquake resilient structures", Natural Science 2011, 39, 941–948.















| Plate thickness (mm) | Steel Type | Yield stress (MPa) | Ultimate stress (MPa) | Failure Strain (mm) |
|---|---|---|---|---|
| 6 | St.37 | 286.6 | 378.5 | 27.4 |
| 8 | St.37 | 276.5 | 351.9 | 26.8 |
| 10 | St.37 | 247.5 | 375.3 | 27.9 |
| 15 | St.37 | 265.3 | 378.1 | 26.2 |
| 20 | St.37 | 269.8 | 437.7 | 25.5 |
| 30 | St.52 | 270.4 | 535.3 | 12.9 |
| Bolt | A490 | 994 | 1202 | 15.3 |
| parameter | θy | θp | θmax | My | Mp | Mmax |
|---|---|---|---|---|---|---|
| (rad) | (rad) | (rad) | (kN-m) | (kN-m) | (kN-m) | |
| Experimental | 0.014 | 0.03 | 0.05 | 272.47 | 111.69 | 412.08 |
| FEA | 0.012 | 0.026 | 0.05 | 272.52 | 112.37 | 410.05 |
| base model | Flange variation (tBP, CP) |
Web variation (tVP) |
Continuity plate variation (tC-PL) | Long web variation (LVP) |
Width flange variation (bBP,CP) |
||||||||||||||||||
|---|---|---|---|---|---|---|---|---|---|---|---|---|---|---|---|---|---|---|---|---|---|---|---|
| Model name | f8 | f10 | f12 | f18 | f20 | f22 | w6 | w8 | w12 | w14 | st6 | st8 | st12 | st14 | wL100 | wL180 | wL200 | b187 | b260 | b300 | b300-187 | ||
| tBP,CP | 15 | 8 | 10 | 12 | 18 | 20 | 22 | 15 | 15 | 15 | 15 | 15 | 15 | 15 | 15 | 15 | 15 | 15 | 15 | 15 | 15 | 15 | |
| tVP | 10 | 10 | 10 | 10 | 10 | 10 | 10 | 6 | 8 | 12 | 14 | 10 | 10 | 10 | 10 | 10 | 10 | 10 | 10 | 10 | 10 | 10 | |
| tC-PL | 10 | 10 | 10 | 10 | 10 | 10 | 10 | 10 | 10 | 10 | 10 | 6 | 8 | 12 | 14 | 10 | 10 | 10 | 10 | 10 | 10 | 10 | |
| LVP | 150 | 150 | 150 | 150 | 150 | 150 | 150 | 150 | 150 | 150 | 150 | 150 | 150 | 150 | 150 | 100 | 180 | 200 | 150 | 150 | 150 | 150 | |
| bBP | 220 | 220 | 220 | 220 | 220 | 220 | 220 | 220 | 220 | 220 | 220 | 220 | 220 | 220 | 220 | 220 | 220 | 220 | 187 | 260 | 300 | 187 | |
| bCP | 220 | 220 | 220 | 220 | 220 | 220 | 220 | 220 | 220 | 220 | 220 | 220 | 220 | 220 | 220 | 220 | 220 | 220 | 187 | 260 | 300 | 300 | |
| base model | Flange variation (tBP, CP) |
Web variation (tVP) |
Continuity plate variation (tC-PL) | Long web variation (LVP) |
Width flange variation (bBP,CP) |
|||||||||||||||||
|---|---|---|---|---|---|---|---|---|---|---|---|---|---|---|---|---|---|---|---|---|---|---|
| Model name | f8 | f10 | f12 | f18 | f20 | f22 | w6 | w8 | w12 | w14 | st6 | st8 | st12 | st14 | wL100 | wL180 | wL200 | b187 | b260 | b300 | b300-187 | |
| θy (%) | 1.5 | 0.8 | 1.1 | 1.3 | 1.3 | 1.4 | 1.3 | 1.1 | 1.4 | 1.3 | 1.1 | 1.3 | 1.7 | 1.3 | 1.7 | 1.3 | 0.9 | 1.2 | 1.5 | 1.4 | 1.3 | 1.4 |
| θmax((%) | 7 | 6 | 7 | 8 | 6 | 7 | 6 | 4.9 | 8 | 8 | 8 | 8 | 7 | 6 | 6 | 4.9 | 7 | 6.9 | 7.0 | 6.9 | 6.9 | 7 |
| θu ((%) | 10 | 7 | 8 | 9 | 8 | 8 | 7 | 9 | 10 | 9 | 9 | 9 | 8 | 10 | 9 | 9 | 8 | 8 | 10 | 8 | 8 | 10 |
| My (KN-M) | 326 | 140 | 205 | 260 | 351 | 375 | 380 | 277 | 317 | 317 | 297 | 292 | 314 | 341 | 358 | 316 | 273 | 282 | 321 | 312 | 325 | 344 |
| Mmax (KN-M) | 453 | 344 | 410 | 442 | 470 | 487 | 514 | 382 | 409 | 501 | 529 | 431 | 434 | 455 | 476 | 450 | 408 | 401 | 445 | 476 | 491 | 484 |
| M 0.04rad (KN-M) | 382 | 256 | 303 | 286 | 425 | 446 | 461 | 350 | 361 | 400 | 420 | 355 | 368 | 402 | 413 | 395 | 356 | 353 | 371 | 400 | 415 | 400 |
| M0.04rad/0.8MPbeam | 1.03 | 0.69 | 0.81 | 0.90 | 1.14 | 1.20 | 1.24 | 0.94 | 0.97 | 1.08 | 1.13 | 0.95 | 0.99 | 1.08 | 1.11 | 1.06 | 0.96 | 0.95 | 1.00 | 1.08 | 1.12 | 1.08 |
| μmax | 4.8 | 7.6 | 6.3 | 5.9 | 4.5 | 4.9 | 4.5 | 4.3 | 5.6 | 6 | 7.3 | 6.2 | 4 | 4.7 | 3.6 | 3.7 | 7.6 | 5.9 | 4.7 | 5.1 | 5.5 | 5 |
| μu | 6.8 | 8.9 | 7.2 | 6.7 | 6 | 5.6 | 5.2 | 7.9 | 7 | 6.8 | 8.3 | 6.9 | 4.6 | 7.8 | 5.4 | 6.8 | 8.6 | 6.8 | 6.8 | 5.8 | 6.7 | 7.1 |
Disclaimer/Publisher’s Note: The statements, opinions and data contained in all publications are solely those of the individual author(s) and contributor(s) and not of MDPI and/or the editor(s). MDPI and/or the editor(s) disclaim responsibility for any injury to people or property resulting from any ideas, methods, instructions or products referred to in the content. |
© 2024 by the authors. Licensee MDPI, Basel, Switzerland. This article is an open access article distributed under the terms and conditions of the Creative Commons Attribution (CC BY) license (http://creativecommons.org/licenses/by/4.0/).