Submitted:
19 August 2024
Posted:
21 August 2024
You are already at the latest version
Abstract
Keywords:
1. Introduction
2. Materials and Methods
2.1. Data Collection
2.1.1. Experimental Location
2.1.2. Experimental Equipment
2.1.3. Experimental Methods
2.1.4. Data Preprocessing
2.2. Data Augmentations
2.2.1. Rotation
2.2.2. R-Value (Redness) Enhancement

2.2.3. Hue Enhancement

2.2.4. Brightness Enhancement

2.2.5. Edge Enhancement
2.2.6. Gaussian Noise

2.2.7. Laplacian Noise

2.2.8. Poisson Noise

2.2.9. Salt-and-Pepper Noise
3. Results and Analysis
3.1. Data Description
3.1.1. Data Environment



3.1.2. Annotations and Labels
3.1.3. Data Folders
3.1.4. Value of the Data
3.2. Chicken Head Detection
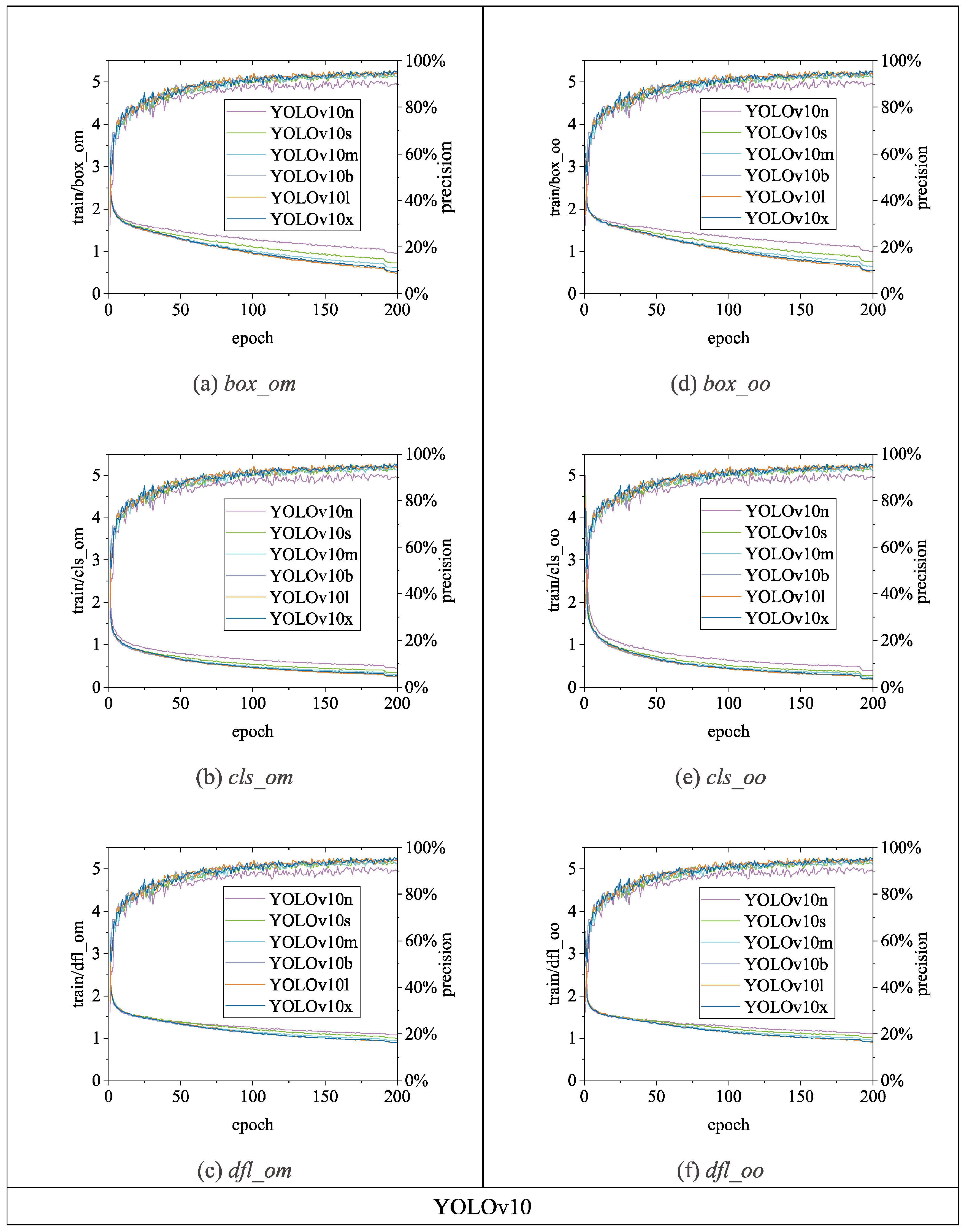
3.2.1. Comparison of Detection Performance of Different Algorithms
3.2.2. Visual Analysis of Chicken Head Detection
3.2.3. Visual Analysis of Chicken Head Temperature Identification

4. Conclusions
Author Contributions
Funding
Institutional Review Board Statement
Informed Consent Statement
Data Availability Statement
Acknowledgments
Conflicts of Interest
References
- Khanal, R.; Choi, Y.; Lee, J. , Transforming Poultry Farming: A Pyramid Vision Transformer Approach for Accurate Chicken Counting in Smart Farm Environments. Sens. 2024, 24, 2977. [Google Scholar] [CrossRef] [PubMed]
- Geffen, O.; Yitzhaky, Y.; Barchilon, N.; Druyan, S.; Halachmi, I. , A machine vision system to detect and count laying hens in battery cages. Anim. 2020, 14, 2628–2634. [Google Scholar] [CrossRef] [PubMed]
- Bakar, M.; Ker, P. J.; Tang, S. G. H.; Baharuddin, M. Z.; Lee, H. J.; Omar, A. R. , Translating conventional wisdom on chicken comb color into automated monitoring of disease-infected chicken using chromaticity-based machine learning models. Front. Vet. Sci. 2023, 10. [Google Scholar] [CrossRef] [PubMed]
- Yu, Z. W.; Wan, L. Q.; Yousaf, K.; Lin, H.; Zhang, J.; Jiao, H. C.; Yan, G. Q.; Song, Z. H.; Tian, F. Y. , An enhancement algorithm for head characteristics of caged chickens detection based on cyclic consistent migration neural network. Poult. Sci. 2024, (6), 103663. [Google Scholar] [CrossRef] [PubMed]
- Wu, Z. L.; Zhang, T. M.; Fang, C.; Yang, J. K.; Ma, C.; Zheng, H. K.; Zhao, H. Z. , Super-resolution fusion optimization for poultry detection: a multi-object chicken detection method. J. Anim. Sci. 2023, 101, 1–15. [Google Scholar] [CrossRef]
- Campbell, M.; Miller, P.; Díaz-Chito, K.; Hong, X.; McLaughlin, N.; Parvinzamir, F.; Del Rincón, J. M.; O'Connell, N. , A computer vision approach to monitor activity in commercial broiler chickens using trajectory-based clustering analysis. Comput. Electron. Agric. 2024, 217, 108591. [Google Scholar] [CrossRef]
- Nasiri, A.; Yoder, J.; Zhao, Y.; Hawkins, S.; Prado, M.; Gan, H. , Pose estimation-based lameness recognition in broiler using CNN-LSTM network. Comput. Electron. Agric. 2022, 197, 106931. [Google Scholar] [CrossRef]
- Yao, Y. Z.; Yu, H. Y.; Mu, J.; Li, J.; Pu, H. B. , Estimation of the Gender Ratio of Chickens Based on Computer Vision: Dataset and Exploration. Entropy 2020, 22, 719. [Google Scholar] [CrossRef] [PubMed]
- Adebayo, S.; Aworinde, H. O.; Akinwunmi, A. O.; Alabi, O. M.; Ayandiji, A.; Sakpere, A. B.; Adeyemo, A.; Oyebamiji, A. K.; Olaide, O.; Kizito, E. , Enhancing poultry health management through machine learning-based analysis of vocalization signals dataset. Data Brief 2023, 50, 109528. [Google Scholar] [CrossRef]
- Aworinde, H. O.; Adebayo, S.; Akinwunmi, A. O.; Alabi, O. M.; Ayandiji, A.; Sakpere, A. B.; Oyebamiji, A. K.; Olaide, O.; Kizito, E.; Olawuyi, A. J. , Poultry fecal imagery dataset for health status prediction: A case of South-West Nigeria. Data Brief 2023, 50, 109517. [Google Scholar] [CrossRef]
- Han, H.; Xue, X.; Li, Q.; Gao, H.; Wang, R.; Jiang, R.; Ren, Z.; Meng, R.; Li, M.; Guo, Y.; Liu, Y.; Ma, W. , Pig-ear detection from the thermal infrared image based on improved YOLOv8n. Intell. Rob. 2024, 4, 20–38. [Google Scholar] [CrossRef]
- Dlesk, A.; Vach, K.; Pavelka, K. , Photogrammetric Co-Processing of Thermal Infrared Images and RGB Images. Sens. 2022, 22, 1655. [Google Scholar] [CrossRef]
- Hongwei, L.; Yang, J.; Manlu, L.; Xinbin, Z.; Jianwen, H.; Haoxiang, S. , Path planning with obstacle avoidance for soft robots based on improved particle swarm optimization algorithm. Intell. Rob. 2023, 3, 565–80. [Google Scholar]
- Xinxing, C.; Yuxuan, W.; Chuheng, C.; Yuquan, L.; Chenglong, F. , Towards environment perception for walking-aid robots: an improved staircase shape feature extraction method. Intell. Rob. 2024, 4, 179–95. [Google Scholar]
- Tan, X. J.; Yin, C. C.; Li, X. X.; Cai, M. R.; Chen, W. H.; Liu, Z.; Wang, J. S.; Han, Y. X. , SY-Track: A tracking tool for measuring chicken flock activity level. Comput. Electron. Agric. 2024, 217, 108603. [Google Scholar] [CrossRef]
- Ma, W. H.; Wang, K.; Li, J. W.; Yang, S. X.; Li, J. F.; Song, L. P.; Li, Q. F. , Infrared and Visible Image Fusion Technology and Application: A Review. Sens. 2023, 23, 599. [Google Scholar] [CrossRef] [PubMed]
- Fan, J.; Zheng, E.; He, Y.; Yang, J. , A Cross-View Geo-Localization Algorithm Using UAV Image and Satellite Image. Sens. 2024, 24, 3719. [Google Scholar] [CrossRef]
- Lv, W.; Xu, S.; Zhao, Y.; Wang, G.; Wei, J.; Cui, C.; Du, Y.; Dang, Q.; Liu, Y. DETRs Beat YOLOs on Real-time Object Detection. ArXiv 2023, abs/2304.08069.
- Terven, J. R.; Esparza, D. M. C. A Comprehensive Review of YOLO: From YOLOv1 to YOLOv8 and Beyond. ArXiv 2023, abs/2304.00501.
- Varghese, R.; S, M. In YOLOv8: A Novel Object Detection Algorithm with Enhanced Performance and Robustness, 2024 International Conference on Advances in Data Engineering and Intelligent Computing Systems (ADICS), 18-19 April 2024, 2024; 2024; pp 1-6.
- Wang, C.-Y.; Yeh, I.-H.; Liao, H. YOLOv9: Learning What You Want to Learn Using Programmable Gradient Information. ArXiv 2024, abs/2402.13616.
- Wang, A.; Chen, H.; Liu, L.; Chen, K.; Lin, Z.; Han, J.; Ding, G. YOLOv10: Real-Time End-to-End Object Detection. ArXiv 2024, abs/2405.14458.
- Rezatofighi, H.; Tsoi, N.; Gwak, J.; Sadeghian, A.; Reid, I.; Savarese, S. In Generalized Intersection Over Union: A Metric and a Loss for Bounding Box Regression, 2019 IEEE/CVF Conference on Computer Vision and Pattern Recognition (CVPR), 15-20 June 2019, 2019; 2019; pp 658-666. [CrossRef]






















| Equipment | Category | Specifications |
|---|---|---|
| Smartphone | Camera manufacturer | HONOR |
| Camera model | ANN-AN00 | |
| Resolution | 2592*1944 | |
| Visible light camera on the robot | Camera model | LRCP20680_1080P |
| Resolution | 1920*1080 | |
| Infrared thermal camera on robot | Camera manufacturer | FLIR Systems |
| Camera model | FLIR A300 9Hz | |
| Resolution | 320*240 |
| No. | Time | General state of hens | Capturing tool | Image type |
|---|---|---|---|---|
| 1 | Day 1, 7 a.m | Looking around | Smartphone | RGB |
| 2 | Day 2, 1 p,m | Looking around | Robot | RGB+TIR |
| 3 | Day 3, 7 p,m | Resting | Robot | RGB |
| 4 | Day 4, 9 p,m | Resting | Robot | RGB+TIR |
| 5 | Day 5, 11 a, m | Feeding | Smartphone | RGB |
| 6 | Day 6, 5 p,m | Feeding | Robot | RGB+TIR |
| 7 | Day 7, 2 p,m | Manual handling | Smartphone | RGB |
| 8 | Day 8, 11:30 a.m | Large-scale movement of feed cart | Robot | RGB |
| 9 | Day 9, 11 a.m | Pecking | Smartphone | RGB |
| 10 | Day 10, 04:30 p.m | Egg collection device movement | Smartphone | RGB |
| 11 | Day 11, 9 a.m | Excited | Robot | RGB+TIR |
| 12 | Day 12, 3 p.m | Excited | Robot | RGB |
| Subject | Dataset of Visible Light and Thermal Infrared Images for Caged laying hens, Precision laying hen Farming. |
|---|---|
| Specific Academic Field | Deep learning based image recognition, counting, health monitoring, and behavioral analysis of caged laying hens. |
| Data Formats | Raw Images, XML annotations, TXT annotations, JSON annotations. |
| Data Types | Visible light (RGB) images, Thermal infrared (TIR) Images. |
| Data Acquisition | A chicken inspection robot together with a smartphone, visible light camera, and infrared thermal imager was used to collect images of laying hens with various poses within a large-scale poultry farm. The collected images comprise RGB and TIR images with resolutions of 2592×1944, 1920×1080, and 320×240, totalling 61,133. The dataset, after compression, is 76.1 GB in size and is available for download in ZIP format. |
| Data Source Location | Country: China; City: Shengzhou, Hebei; Institution: Shengzhou Xinghuo Livestock and Poultry Professional Cooperative. |
| Data Accessibility | Repository Name: BClayinghensDirect URL to the Data: https://github.com/maweihong/BClayinghens.git |
Disclaimer/Publisher’s Note: The statements, opinions and data contained in all publications are solely those of the individual author(s) and contributor(s) and not of MDPI and/or the editor(s). MDPI and/or the editor(s) disclaim responsibility for any injury to people or property resulting from any ideas, methods, instructions or products referred to in the content. |
© 2024 by the authors. Licensee MDPI, Basel, Switzerland. This article is an open access article distributed under the terms and conditions of the Creative Commons Attribution (CC BY) license (http://creativecommons.org/licenses/by/4.0/).